Poslední aktualizace :
27/04/2026
vėžio narkotikų   Cyclophosphamide  
Įpurškimas
Geriamas tirpalas Kapsulė
Tirpalų stabilumas Mišinių stabilumas Stabilumą lemiantys veiksniai Suderinamumas Leidimo būdai Bibliografija pdf
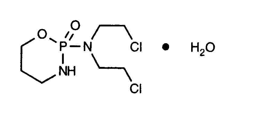
   Cheminė sandara  

Prekinis pavadinimas   Prekinis pavadinimas     

Trade names are indicative and excipients composition can be different depending on the country and manufacturers

Alkyloxan Egiptas, Malaizija
Celomide Indija
Ciclofosfamida Argentina, Čilė, Rumunija
Cicloxal Ispanija
Cryofaxol Meksikas
Cycloblastin Australija
Cycloblastine Olandija
Cyclophosphamid Danija, Vokietija
Cyclophosphamide Didžioji Britanija, Jungtinės Amerikos Valstijos, Naujojoje Zelandijoje, Saudo Arabija
Cyclostin Vokietija
Cycloxan Malaizija
Cycram Egiptas
Cytoxan Jungtinės Amerikos Valstijos, Kanada, Vengrija
Eldamide Indija
Endoxan Australija, Austrija, Belgija, Čilė, Ekvadoras, Graikija, Indija, Iranas, Italija, Jungtiniai Arabų Emyratai, Kolumbija, Kroatija, Lenkija, Liuksemburgas, Marokas, Naujojoje Zelandijoje, Olandija, Portugalija, Prancūzija, Saudo Arabija, Slovėnija, Šveicarija, Tailandas, Tunisas, Turkija, Venesuela, Vengrija, Vokietija
Endoxana Airija, Didžioji Britanija
Formitex Kolumbija, Meksikas
Genoxal Ispanija
Genuxal Brazilija
Hidrofosmin Meksikas
Ledoxan Kolumbija
Ledoxina Kolumbija, Meksikas
Neophos Egiptas
Neosar Jungtinės Amerikos Valstijos
Procytox Kanada
Sendoxan Danija, Islandija, Norvegija, Suomija, Švedija
Syklofosfamid Suomija, Turkija
Suderinamumas   Įpurškimas   Suderinamumas : Cyclophosphamide              
explication_incompatibilite_molecules
Molekulė Tirpiklis Nuorodos
Suderinamas
Įpurškimas Cyclophosphamide 20 mg/ml
NaHCO3 150
Suderinamas
Įpurškimas Cyclophosphamide
Natrio chloridas 0,9% 4865
Suderinamas
Įpurškimas Cyclophosphamide
NaCl 0,45% Gliukozė 5% 4865
Suderinamas
Įpurškimas Cyclophosphamide 10 mg/ml
Parenterinis maitinimas (lipidų nemokamai) 301
Suderinamas
Įpurškimas Cyclophosphamide 10 mg/ml
Parenteriniu būdu (su lipidų) 1415
Suderinamas
Įpurškimas Cyclophosphamide
Gliukozė 5% 4989
Suderinamas
Įpurškimas Cyclophosphamide 10 mg/ml
Įpurškimas Allopurinol sodium 3 mg/ml
Natrio chloridas 0,9% 307
Suderinamas
Įpurškimas Cyclophosphamide 10 mg/ml
Įpurškimas Amifostine 10 mg/ml
Gliukozė 5% 3
Tiesioginis drumstumas Nesuderinamas
Įpurškimas Cyclophosphamide 10 mg/ml
Įpurškimas Amphotericin B cholesteryl sulfate complex 0.83 mg/ml
Gliukozė 5% 921
Suderinamas
Įpurškimas Cyclophosphamide
Natrio chloridas 0,9% 4989
Suderinamas
Įpurškimas Cyclophosphamide 10 mg/ml
Įpurškimas Anidulafungin 0.5 mg/ml
Gliukozė 5% 1982
Suderinamas
Įpurškimas Cyclophosphamide 10 mg/ml
Įpurškimas Aztreonam 40 mg/ml
Gliukozė 5% 99
Suderinamas
Įpurškimas Cyclophosphamide 10 mg/ml
Įpurškimas Cladribine 0.5 mg/ml
NaCl 0,9% + antibakterinis 1496
Suderinamas
Įpurškimas Cyclophosphamide 10 mg/ml
Įpurškimas Cladribine 0.015 mg/ml
Natrio chloridas 0,9% 1496
Suderinamas
Įpurškimas Cyclophosphamide 10 mg/ml
Įpurškimas Doripenem 5 mg/ml
Gliukozė 5% 2262
Suderinamas
Įpurškimas Cyclophosphamide 10 mg/ml
Įpurškimas Doripenem 5 mg/ml
Natrio chloridas 0,9% 2262
Suderinamas
Įpurškimas Cyclophosphamide 10 mg/ml
Įpurškimas Doxorubicin hydrochloride liposome peg 0.4 mg/ml
Gliukozė 5% 251
Suderinamas
Įpurškimas Cyclophosphamide 10 mg/ml
Įpurškimas Etoposide phosphate 5 mg/ml
Gliukozė 5% 1410
Suderinamas
Įpurškimas Cyclophosphamide 10 mg/ml
Įpurškimas Filgrastim 30 µg/ml
Gliukozė 5% 244
Suderinamas
Įpurškimas Cyclophosphamide 10 mg/ml
Įpurškimas Fludarabine phosphate 1 mg/ml
Gliukozė 5% 492
Suderinamas
Įpurškimas Cyclophosphamide 20 mg/ml
Įpurškimas Gallium nitrate 1 mg/ml
Natrio chloridas 0,9% 91
Suderinamas
Įpurškimas Cyclophosphamide 10 mg/ml
Įpurškimas Gemcitabine hydrochloride 10 mg/ml
Natrio chloridas 0,9% 1423
Suderinamas
Įpurškimas Cyclophosphamide 2 mg/ml
Įpurškimas Granisetron hydrochloride 1 mg/ml
Vanduo injekcijoms 57
Suderinamas
Įpurškimas Cyclophosphamide 1 mg/ml
Įpurškimas Hydroxyzine dihydrochloride 0.5 mg/ml
Gliukozė 5% 331
Suderinamas
Įpurškimas Cyclophosphamide 4 mg/ml
Įpurškimas Idarubicin hydrochloride 1 mg/ml
Natrio chloridas 0,9% 491
Krituliai po 4 valandų Nesuderinamas
Įpurškimas Cyclophosphamide 10 mg/ml
Įpurškimas Lansoprazole 0.55 mg/ml
Natrio chloridas 0,9% 1625
Suderinamas
Įpurškimas Cyclophosphamide 10 mg/ml
Įpurškimas Linezolid 2 mg/ml
Nėra 1925
Suderinamas
Įpurškimas Cyclophosphamide 10 mg/ml
Įpurškimas Melphalan 0.1 mg/ml
Natrio chloridas 0,9% 169
Suderinamas
Įpurškimas Cyclophosphamide 1.8 mg/ml
Įpurškimas Mesna 0.54 mg/ml
Gliukozė 5% 1833
Suderinamas
Įpurškimas Cyclophosphamide 10.8 mg/ml
Įpurškimas Mesna 3.2 mg/ml
Gliukozė 5% 1833
Suderinamas
Įpurškimas Cyclophosphamide 1 >> 10 mg/ml
Įpurškimas Mesna 0.2 >> 10 mg/ml
Natrio chloridas 0,9% 2104
Suderinamas
Įpurškimas Cyclophosphamide 20 mg/ml
Įpurškimas Methotrexate sodium 30 mg/ml
Natrio chloridas 0,9% 150
Nepatikslintas nesuderinamumas Nesuderinamas
Įpurškimas Cyclophosphamide
Įpurškimas Mitomycin
4471
Cheminis nestabilumas Nesuderinamas
Įpurškimas Cyclophosphamide
Įpurškimas Mitomycin
3128
Suderinamas
Įpurškimas Cyclophosphamide 2 mg/ml
Įpurškimas Ondansetron hydrochloride 0,4 mg/ml
Natrio chloridas 0,9% 50
Suderinamas
Įpurškimas Cyclophosphamide 0,3 mg/ml
Įpurškimas Ondansetron hydrochloride 0,05 mg/ml
Natrio chloridas 0,9% 50
Suderinamas
Įpurškimas Cyclophosphamide 20 mg/ml
Įpurškimas Ondansetron hydrochloride 0,016 >> 0,16 mg/ml
Vanduo injekcijoms 3574
Suderinamas
Įpurškimas Cyclophosphamide 0,3 mg/ml
Įpurškimas Ondansetron hydrochloride 0,05 mg/ml
Gliukozė 5% 50
Suderinamas
Įpurškimas Cyclophosphamide 2 mg/ml
Įpurškimas Ondansetron hydrochloride 0,4 mg/ml
Gliukozė 5% 50
Suderinamas
Įpurškimas Cyclophosphamide 10 mg/ml
Įpurškimas Ondansetron hydrochloride 1 mg/ml
Natrio chloridas 0,9% 334
Suderinamas
Įpurškimas Cyclophosphamide 10 mg/ml
Įpurškimas Oxaliplatin 0,5 mg/ml
Gliukozė 5% 1662
Suderinamas
Įpurškimas Cyclophosphamide 10 mg/ml
Įpurškimas Paclitaxel 1.2 mg/ml
Gliukozė 5% 85
Suderinamas
Įpurškimas Cyclophosphamide 10 mg/ml
Įpurškimas Palonosetron hydrochloride 50 µg/ml
Gliukozė 5% 2016
Suderinamas
Įpurškimas Cyclophosphamide 10 mg/ml
Įpurškimas Pemetrexed disodium 20 mg/ml
Natrio chloridas 0,9% 1953
Suderinamas
Įpurškimas Cyclophosphamide 10 mg/ml
Įpurškimas Piperacillin sodium / tazobactam 40/5 mg/ml
Gliukozė 5% 81
Suderinamas
Įpurškimas Cyclophosphamide 10 mg/ml
Įpurškimas Propofol 10 mg/ml
Nėra 300
Emulsijos nestabilumas po 24 valandų Nesuderinamas
Įpurškimas Cyclophosphamide 4 mg/ml
Įpurškimas Propofol
660
Suderinamas
Įpurškimas Cyclophosphamide 10 mg/ml
Įpurškimas Sargramostim 10 µg/ml
Natrio chloridas 0,9% 335
Suderinamas
Įpurškimas Cyclophosphamide 20 mg/ml
Įpurškimas Sodium bicarbonate 14 mg/ml
Nėra 150
Suderinamas
Įpurškimas Cyclophosphamide 10 mg/ml
Įpurškimas Teniposide 0.1 mg/ml
Gliukozė 5% 905
Suderinamas
Įpurškimas Cyclophosphamide 10 mg/ml
Įpurškimas Thiotepa 1 mg/ml
Gliukozė 5% 249
Suderinamas
Įpurškimas Cyclophosphamide 20 mg/ml
Įpurškimas Topotecan 0.056 mg/ml
Gliukozė 5% 1026
Suderinamas
Įpurškimas Cyclophosphamide 20 mg/ml
Įpurškimas Topotecan 0.056 mg/ml
Natrio chloridas 0,9% 1026
Suderinamas
Įpurškimas Cyclophosphamide 10 mg/ml
Įpurškimas Vinorelbine tartrate 1 mg/ml
Natrio chloridas 0,9% 84

  Mentions Légales