Seneste opdatering :
17/12/2025
anticancer medicin   Cyclophosphamide  
Injektion
Kapsel Oral opløsning
Stabilitet i (vandige) opløsninger Stabilitet i blandinger Faktorer der påvirker stabiliteten Kompatibilitet Administrationsvej Bibliografi pdf
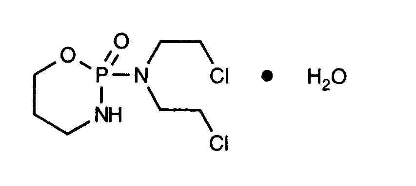
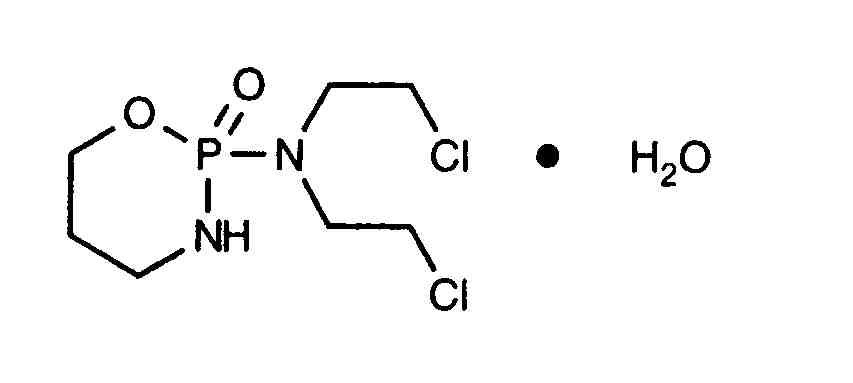
   Kemisk struktur  

Handelsnavn   Handelsnavn     

Handel navne er vejledende og hjælpestoffer sammensætning kan være forskellig afhængigt af landet og laboratorier

Alkyloxan Malaysia, Ægypten
Celomide Indien
Ciclofosfamida Argentina, Chile, Rumænien
Cicloxal Spanien
Cryofaxol Mexico
Cycloblastin Australien
Cycloblastine Holland
Cyclophosphamid Danmark, Tyskland
Cyclophosphamide New Zealand, Saudi-Arabien, Storbritanien, USA
Cyclostin Tyskland
Cycloxan Malaysia
Cycram Ægypten
Cytoxan Canada, Ungarn, USA
Eldamide Indien
Endoxan Australien, Belgien, Chile, Colombia, Ecuador, Forenede Arabiske Emirater, Frankrig, Grækenland, Holland, Indien, Iran, Italien, Kroatien, Luxemborg, Marokko, New Zealand, Polen, Portugal, Saudi-Arabien, Schweiz, Slovenien, Thailand, Tunesien, Tyrkiet, Tyskland, Ungarn, Venezuela, Østrig
Endoxana Irland, Storbritanien
Formitex Colombia, Mexico
Genoxal Spanien
Genuxal Brasilien
Hidrofosmin Mexico
Ledoxan Colombia
Ledoxina Colombia, Mexico
Neophos Ægypten
Neosar USA
Procytox Canada
Sendoxan Danmark, Finland, Island, Norge, Sverige
Syklofosfamid Finland, Tyrkiet
Stabilitet i (vandige) opløsninger   Injektion   Stabilitet i (vandige) opløsninger : Cyclophosphamide     
Beholder Opløsningsmiddel Koncentration Temperatur Konservering Varighed af stabilitet Bibliografi
Glas Vand til injektion 20 mg/ml 24-27°C Ikke nærmere angivet
4 Dag
1728
Level af bevismateriale B

Glas Vand til injektion 20 mg/ml 4°C Beskyt mod lys
7 Dag
172
Level af bevismateriale A

Glas Vand til injektion 20 mg/ml 5°C Beskyt mod lys
14 Dag
1728
Level af bevismateriale B

Glas 0,9 % Natriumklorid 0,4 mg/ml 2-8°C Beskyt mod lys
14 Dag
1728
Level af bevismateriale B

Glas 0,9 % Natriumklorid 0,4 mg/ml 21-25°C Ikke nærmere angivet
6 Dag
1728
Level af bevismateriale B

Glas 0,9 % Natriumklorid 1 mg/ml 25°C Beskyt mod lys
7 Dag
172
Level af bevismateriale A

Glas 0,9 % Natriumklorid 1 mg/ml 4°C Beskyt mod lys
7 Dag
172
Level af bevismateriale A

Glas 5 % Glukose 1 mg/ml 25°C Beskyt mod lys
7 Dag
172
Level af bevismateriale A

Glas 5 % Glukose 1 mg/ml 4°C Beskyt mod lys
7 Dag
172
Level af bevismateriale A

Polyvinylklorid Vand til injektion 20 mg/ml 4°C Beskyt mod lys
7 Dag
172
Level af bevismateriale A

Polyvinylklorid 0,9 % Natriumklorid 1 mg/ml 25°C Beskyt mod lys
7 Dag
172
Level af bevismateriale A

Polyvinylklorid 0,9 % Natriumklorid 1 mg/ml 4°C Beskyt mod lys
7 Dag
172
Level af bevismateriale A

Polyvinylklorid 0,9 % Natriumklorid 10 mg/ml 4°C Beskyt mod lys
30 Dag
40
Level af bevismateriale D

Polyvinylklorid 5 % Glukose 1 mg/ml 25°C Beskyt mod lys
2 Dag
172
Level af bevismateriale A

Polyvinylklorid 5 % Glukose 1 mg/ml 4°C Beskyt mod lys
7 Dag
172
Level af bevismateriale A

Polyvinylklorid 5 % Glukose 10 mg/ml 4°C Beskyt mod lys
30 Dag
40
Level af bevismateriale D

Polyethylen 0,9 % Natriumklorid 0,24 & 6,4 mg/ml 25°C Beskyt mod lys
7 Dag
1520
Producentens stabilitet data

Polyethylen 5 % Glukose 0,24 & 6,4 mg/ml 25°C Beskyt mod lys
7 Dag
1520
Producentens stabilitet data

Polyolefin 0,9 % Natriumklorid 2 mg/ml 2-8°C Beskyt mod lys
5 Dag
4989
Producentens stabilitet data

Polyolefin 0,9 % Natriumklorid 2 mg/ml 25°C Lys
60 Time
4989
Producentens stabilitet data

Polyolefin 0,9 % Natriumklorid 20 mg/ml 2-8°C Beskyt mod lys
6 Dag
4989
Producentens stabilitet data

Polyolefin 0,9 % Natriumklorid 20 mg/ml 25°C Lys
24 Time
4989
Producentens stabilitet data

Polyolefin 5 % Glukose 2 mg/ml 2-8°C Beskyt mod lys
6 Dag
4989
Producentens stabilitet data

Polyolefin 5 % Glukose 2 mg/ml 25°C Lys
60 Time
4989
Producentens stabilitet data

Polyolefin 5 % Glukose 20 mg/ml 2-8°C Beskyt mod lys
3 Dag
4989
Producentens stabilitet data

Polyolefin 5 % Glukose 20 mg/ml 25°C Lys
24 Time
4989
Producentens stabilitet data

Ikke angivet nærmere 0,9 % Natriumklorid 20 mg/ml 2-8°C Ikke nærmere angivet
6 Dag
4865
Producentens stabilitet data

Ikke angivet nærmere 0,9 % Natriumklorid 20 mg/ml 25°C Ikke nærmere angivet
24 Time
4865
Producentens stabilitet data

Ikke angivet nærmere 5 % Glukose 2 mg/ml 2-8°C Ikke nærmere angivet
36 Time
4865
Producentens stabilitet data

Ikke angivet nærmere 5 % Glukose 2 mg/ml 25°C Ikke nærmere angivet
24 Time
4865
Producentens stabilitet data

Ikke angivet nærmere 0,45 % Natriumklorid 2 mg/ml 2-8°C Ikke nærmere angivet
6 Dag
4865
Producentens stabilitet data

Ikke angivet nærmere 0,45 % Natriumklorid 2 mg/ml 25°C Ikke nærmere angivet
24 Time
4865
Producentens stabilitet data


  Mentions Légales