Son güncelleme :
27/04/2026
kanser ilaç   Cyclophosphamide  
Enjeksiyon
Kapsül Oral solüsyon / oral çözelti
Çözeltilerin stabilitesi Karışımlardaki stabilitesi Stabiliteyi etkileyen faktörler Uyumluluk Uygulama yöntemi Kaynaklar pdf
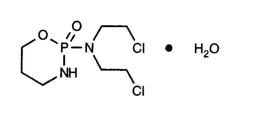
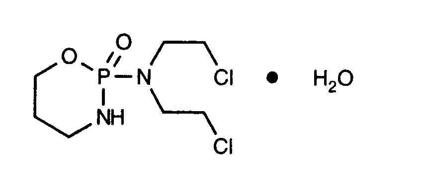
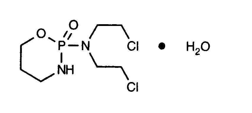
   Kimyasal yapı   

Ticari isim   Ticari isim     

Trade names are indicative and excipients composition can be different depending on the country and manufacturers

Alkyloxan Malezya, Mısır
Celomide Hindistan
Ciclofosfamida Arjantin, Romanya, Şili
Cicloxal İspanya
Cryofaxol Meksika
Cycloblastin Avustralya
Cycloblastine Hollanda
Cyclophosphamid Almanya, Danimarka
Cyclophosphamide Amerika Birleşik Devletleri, Büyük Britanya, Suudi Arabistan, yeni Zelanda
Cyclostin Almanya
Cycloxan Malezya
Cycram Mısır
Cytoxan Amerika Birleşik Devletleri, Kanada, Macaristan
Eldamide Hindistan
Endoxan Almanya, Avustralya, Avusturya, Belçika, Birleşik Arap Emirlikleri, Ekvador, Fas, Fransa, Hindistan, Hırvatistan, Hollanda, İran, İsviçre, İtalya, Kolombiya, Lüksemburg, Macaristan, Polonya, Portekiz, Şili, Slovenya, Suudi Arabistan, Tayland, Tunus, Türkiye, Venezuela, yeni Zelanda, Yunanistan
Endoxana Büyük Britanya, İrlanda
Formitex Kolombiya, Meksika
Genoxal İspanya
Genuxal Brezilya
Hidrofosmin Meksika
Ledoxan Kolombiya
Ledoxina Kolombiya, Meksika
Neophos Mısır
Neosar Amerika Birleşik Devletleri
Procytox Kanada
Sendoxan Danimarka, Finlandiya, İsveç, İzlanda, Norveç
Syklofosfamid Finlandiya, Türkiye
Uyumluluk   Enjeksiyon    Uyumluluk : Cyclophosphamide              
Bu ekran, bu durumda uyumsuzluk tipiyle (çökelme, renk değişimi, bir emülsiyonun modifikasyonu, vb.) Uyumlulukları veya uyumsuzlukları gösterir. Burada gösterilen uyumluluklar çoğunlukla yalnızca fizikseldir ve her molekülün kimyasal stabilitesi nadiren değerlendirilir. Bu karışımların değerlendirilmesi, hastaya Y bölgesi uygulama olasılığını göz önünde bulundurmak için çalışıldı. Bu veriler önceden torba veya şırıngalarda karışım yapmak için kullanılamaz. Bu tür bilgiler "Karışımda stabilite" ekranında mevcuttur.
Bileşik Çözücü Kaynaklar
Uyumlu
Enjeksiyon Cyclophosphamide 20 mg/ml
NaHCO3 150
Uyumlu
Enjeksiyon Cyclophosphamide
Sodyum klorür % 0,9 4865
Uyumlu
Enjeksiyon Cyclophosphamide
NaCl %0,45 Glukoz %5 4865
Uyumlu
Enjeksiyon Cyclophosphamide 10 mg/ml
Parenteral beslenme (ikili karışım) 301
Uyumlu
Enjeksiyon Cyclophosphamide 10 mg/ml
Parenteral beslenme (Lipidler) 1415
Uyumlu
Enjeksiyon Cyclophosphamide
Glukoz %5 4989
Uyumlu
Enjeksiyon Cyclophosphamide 10 mg/ml
Enjeksiyon Allopurinol sodium 3 mg/ml
Sodyum klorür % 0,9 307
Uyumlu
Enjeksiyon Cyclophosphamide 10 mg/ml
Enjeksiyon Amifostine 10 mg/ml
Glukoz %5 3
Anında bulanıklık uyumsuz
Enjeksiyon Cyclophosphamide 10 mg/ml
Enjeksiyon Amphotericin B cholesteryl sulfate complex 0.83 mg/ml
Glukoz %5 921
Uyumlu
Enjeksiyon Cyclophosphamide
Sodyum klorür % 0,9 4989
Uyumlu
Enjeksiyon Cyclophosphamide 10 mg/ml
Enjeksiyon Anidulafungin 0.5 mg/ml
Glukoz %5 1982
Uyumlu
Enjeksiyon Cyclophosphamide 10 mg/ml
Enjeksiyon Aztreonam 40 mg/ml
Glukoz %5 99
Uyumlu
Enjeksiyon Cyclophosphamide 10 mg/ml
Enjeksiyon Cladribine 0.5 mg/ml
NaCl %0,9 + antibakteriyel 1496
Uyumlu
Enjeksiyon Cyclophosphamide 10 mg/ml
Enjeksiyon Cladribine 0.015 mg/ml
Sodyum klorür % 0,9 1496
Uyumlu
Enjeksiyon Cyclophosphamide 10 mg/ml
Enjeksiyon Doripenem 5 mg/ml
Glukoz %5 2262
Uyumlu
Enjeksiyon Cyclophosphamide 10 mg/ml
Enjeksiyon Doripenem 5 mg/ml
Sodyum klorür % 0,9 2262
Uyumlu
Enjeksiyon Cyclophosphamide 10 mg/ml
Enjeksiyon Doxorubicin hydrochloride liposome peg 0.4 mg/ml
Glukoz %5 251
Uyumlu
Enjeksiyon Cyclophosphamide 10 mg/ml
Enjeksiyon Etoposide phosphate 5 mg/ml
Glukoz %5 1410
Uyumlu
Enjeksiyon Cyclophosphamide 10 mg/ml
Enjeksiyon Filgrastim 30 µg/ml
Glukoz %5 244
Uyumlu
Enjeksiyon Cyclophosphamide 10 mg/ml
Enjeksiyon Fludarabine phosphate 1 mg/ml
Glukoz %5 492
Uyumlu
Enjeksiyon Cyclophosphamide 20 mg/ml
Enjeksiyon Gallium nitrate 1 mg/ml
Sodyum klorür % 0,9 91
Uyumlu
Enjeksiyon Cyclophosphamide 10 mg/ml
Enjeksiyon Gemcitabine hydrochloride 10 mg/ml
Sodyum klorür % 0,9 1423
Uyumlu
Enjeksiyon Cyclophosphamide 2 mg/ml
Enjeksiyon Granisetron hydrochloride 1 mg/ml
Enjeksiyonluk su 57
Uyumlu
Enjeksiyon Cyclophosphamide 1 mg/ml
Enjeksiyon Hydroxyzine dihydrochloride 0.5 mg/ml
Glukoz %5 331
Uyumlu
Enjeksiyon Cyclophosphamide 4 mg/ml
Enjeksiyon Idarubicin hydrochloride 1 mg/ml
Sodyum klorür % 0,9 491
4 saat sonra yağış uyumsuz
Enjeksiyon Cyclophosphamide 10 mg/ml
Enjeksiyon Lansoprazole 0.55 mg/ml
Sodyum klorür % 0,9 1625
Uyumlu
Enjeksiyon Cyclophosphamide 10 mg/ml
Enjeksiyon Linezolid 2 mg/ml
Yok 1925
Uyumlu
Enjeksiyon Cyclophosphamide 10 mg/ml
Enjeksiyon Melphalan 0.1 mg/ml
Sodyum klorür % 0,9 169
Uyumlu
Enjeksiyon Cyclophosphamide 1.8 mg/ml
Enjeksiyon Mesna 0.54 mg/ml
Glukoz %5 1833
Uyumlu
Enjeksiyon Cyclophosphamide 10.8 mg/ml
Enjeksiyon Mesna 3.2 mg/ml
Glukoz %5 1833
Uyumlu
Enjeksiyon Cyclophosphamide 1 >> 10 mg/ml
Enjeksiyon Mesna 0.2 >> 10 mg/ml
Sodyum klorür % 0,9 2104
Uyumlu
Enjeksiyon Cyclophosphamide 20 mg/ml
Enjeksiyon Methotrexate sodium 30 mg/ml
Sodyum klorür % 0,9 150
Belirtilmemiş uyumsuzluk uyumsuz
Enjeksiyon Cyclophosphamide
Enjeksiyon Mitomycin
4471
Kimyasal kararsızlık uyumsuz
Enjeksiyon Cyclophosphamide
Enjeksiyon Mitomycin
3128
Uyumlu
Enjeksiyon Cyclophosphamide 2 mg/ml
Enjeksiyon Ondansetron hydrochloride 0,4 mg/ml
Sodyum klorür % 0,9 50
Uyumlu
Enjeksiyon Cyclophosphamide 0,3 mg/ml
Enjeksiyon Ondansetron hydrochloride 0,05 mg/ml
Sodyum klorür % 0,9 50
Uyumlu
Enjeksiyon Cyclophosphamide 20 mg/ml
Enjeksiyon Ondansetron hydrochloride 0,016 >> 0,16 mg/ml
Enjeksiyonluk su 3574
Uyumlu
Enjeksiyon Cyclophosphamide 0,3 mg/ml
Enjeksiyon Ondansetron hydrochloride 0,05 mg/ml
Glukoz %5 50
Uyumlu
Enjeksiyon Cyclophosphamide 2 mg/ml
Enjeksiyon Ondansetron hydrochloride 0,4 mg/ml
Glukoz %5 50
Uyumlu
Enjeksiyon Cyclophosphamide 10 mg/ml
Enjeksiyon Ondansetron hydrochloride 1 mg/ml
Sodyum klorür % 0,9 334
Uyumlu
Enjeksiyon Cyclophosphamide 10 mg/ml
Enjeksiyon Oxaliplatin 0,5 mg/ml
Glukoz %5 1662
Uyumlu
Enjeksiyon Cyclophosphamide 10 mg/ml
Enjeksiyon Paclitaxel 1.2 mg/ml
Glukoz %5 85
Uyumlu
Enjeksiyon Cyclophosphamide 10 mg/ml
Enjeksiyon Palonosetron hydrochloride 50 µg/ml
Glukoz %5 2016
Uyumlu
Enjeksiyon Cyclophosphamide 10 mg/ml
Enjeksiyon Pemetrexed disodium 20 mg/ml
Sodyum klorür % 0,9 1953
Uyumlu
Enjeksiyon Cyclophosphamide 10 mg/ml
Enjeksiyon Piperacillin sodium / tazobactam 40/5 mg/ml
Glukoz %5 81
Uyumlu
Enjeksiyon Cyclophosphamide 10 mg/ml
Enjeksiyon Propofol 10 mg/ml
Yok 300
24 saat sonra emülsiyonun kararsızlığı uyumsuz
Enjeksiyon Cyclophosphamide 4 mg/ml
Enjeksiyon Propofol
660
Uyumlu
Enjeksiyon Cyclophosphamide 10 mg/ml
Enjeksiyon Sargramostim 10 µg/ml
Sodyum klorür % 0,9 335
Uyumlu
Enjeksiyon Cyclophosphamide 20 mg/ml
Enjeksiyon Sodium bicarbonate 14 mg/ml
Yok 150
Uyumlu
Enjeksiyon Cyclophosphamide 10 mg/ml
Enjeksiyon Teniposide 0.1 mg/ml
Glukoz %5 905
Uyumlu
Enjeksiyon Cyclophosphamide 10 mg/ml
Enjeksiyon Thiotepa 1 mg/ml
Glukoz %5 249
Uyumlu
Enjeksiyon Cyclophosphamide 20 mg/ml
Enjeksiyon Topotecan 0.056 mg/ml
Glukoz %5 1026
Uyumlu
Enjeksiyon Cyclophosphamide 20 mg/ml
Enjeksiyon Topotecan 0.056 mg/ml
Sodyum klorür % 0,9 1026
Uyumlu
Enjeksiyon Cyclophosphamide 10 mg/ml
Enjeksiyon Vinorelbine tartrate 1 mg/ml
Sodyum klorür % 0,9 84

  Mentions Légales