Viimeisin päivitys :
27/04/2026
syöpälääke   Cyclophosphamide  
Injektioneste
Kapseli Oraaliliuos
Stabilius liuoksessa Stabilius seoksissa Tekijät, jotka vaikuttavat stabiliuteen Yhteensopivuus Antotapa Viitteet pdf
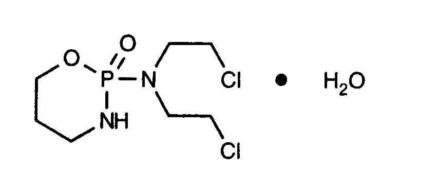
   Kemiallinen rakenne  

Kauppanimi   Kauppanimi     

Trade names are indicative and excipients composition can be different depending on the country and manufacturers

Alkyloxan Egypti, Malesia
Celomide Intia
Ciclofosfamida Argentiina, Chile, Romania
Cicloxal Espanja
Cryofaxol Meksiko
Cycloblastin Australia
Cycloblastine Hollanti
Cyclophosphamid Saksa, Tanska
Cyclophosphamide Iso-Britannia, New Zealand, Saudi-Arabia, Yhdysvallat
Cyclostin Saksa
Cycloxan Malesia
Cycram Egypti
Cytoxan Kanada, Unkari, Yhdysvallat
Eldamide Intia
Endoxan Australia, Belgia, Chile, Ecuador, Hollanti, Intia, Iran, Italia, Itävalta, Kolumbia, Kreikka, Kroatia, Luxemburg, Marokko, New Zealand, Portugali, Puola, Ranska, Saksa, Saudi-Arabia, Slovenia, Sveitsi, Thaimaa, Tunisia, Turkki, Unkari, Venezuela, Yhdistyneet arabiemiirikunnat
Endoxana Irlanti, Iso-Britannia
Formitex Kolumbia, Meksiko
Genoxal Espanja
Genuxal Brasilia
Hidrofosmin Meksiko
Ledoxan Kolumbia
Ledoxina Kolumbia, Meksiko
Neophos Egypti
Neosar Yhdysvallat
Procytox Kanada
Sendoxan Islanti, Norja, Ruotsi, Suomi, Tanska
Syklofosfamid Suomi, Turkki
Yhteensopivuus   Injektioneste   Yhteensopivuus : Cyclophosphamide              
Tämä näyttö osoittaa yhteensopivuuden tai yhteensopimattomuuden yhteensopimattomuuden tyypin kanssa (saostuminen, värinmuutos, emulsiomuutos jne.). Tässä esitetty yhteensopivuus on useimmissa tapauksissa vain fysikaalinen, ja kunkin molekyylin kemiallista stabiilisuutta arvioidaan harvoin. Näiden seosten arviointia tutkittiin mahdollisuuden antaa Y-kohta potilaalle. Näitä tietoja ei voida käyttää seosten valmistamiseen etukäteen pusseissa tai ruiskuissa. Tämäntyyppiset tiedot ovat saatavilla "Stabiilisuus seoksessa" -näytössä.
Yhdiste Liuotin Viitteet
Yhteensopiva
Injektioneste Cyclophosphamide 20 mg/ml
NaHCO3 150
Yhteensopiva
Injektioneste Cyclophosphamide
Natriumkloridi 0,9% 4865
Yhteensopiva
Injektioneste Cyclophosphamide
Natriumkloridi 0,45% Glukoosi 5% 4865
Yhteensopiva
Injektioneste Cyclophosphamide 10 mg/ml
Parenteraalisesti (rasva-free) 301
Yhteensopiva
Injektioneste Cyclophosphamide 10 mg/ml
Parenteraalinen (lipidien) 1415
Yhteensopiva
Injektioneste Cyclophosphamide
Glukoosi 5% 4989
Yhteensopiva
Injektioneste Cyclophosphamide 10 mg/ml
Injektioneste Allopurinol sodium 3 mg/ml
Natriumkloridi 0,9% 307
Yhteensopiva
Injektioneste Cyclophosphamide 10 mg/ml
Injektioneste Amifostine 10 mg/ml
Glukoosi 5% 3
Välitön sameus yhteensopimaton
Injektioneste Cyclophosphamide 10 mg/ml
Injektioneste Amphotericin B cholesteryl sulfate complex 0.83 mg/ml
Glukoosi 5% 921
Yhteensopiva
Injektioneste Cyclophosphamide
Natriumkloridi 0,9% 4989
Yhteensopiva
Injektioneste Cyclophosphamide 10 mg/ml
Injektioneste Anidulafungin 0.5 mg/ml
Glukoosi 5% 1982
Yhteensopiva
Injektioneste Cyclophosphamide 10 mg/ml
Injektioneste Aztreonam 40 mg/ml
Glukoosi 5% 99
Yhteensopiva
Injektioneste Cyclophosphamide 10 mg/ml
Injektioneste Cladribine 0.5 mg/ml
Natriumkloridi 0,9%, sisältää säilytysaineen 1496
Yhteensopiva
Injektioneste Cyclophosphamide 10 mg/ml
Injektioneste Cladribine 0.015 mg/ml
Natriumkloridi 0,9% 1496
Yhteensopiva
Injektioneste Cyclophosphamide 10 mg/ml
Injektioneste Doripenem 5 mg/ml
Glukoosi 5% 2262
Yhteensopiva
Injektioneste Cyclophosphamide 10 mg/ml
Injektioneste Doripenem 5 mg/ml
Natriumkloridi 0,9% 2262
Yhteensopiva
Injektioneste Cyclophosphamide 10 mg/ml
Injektioneste Doxorubicin hydrochloride liposome peg 0.4 mg/ml
Glukoosi 5% 251
Yhteensopiva
Injektioneste Cyclophosphamide 10 mg/ml
Injektioneste Etoposide phosphate 5 mg/ml
Glukoosi 5% 1410
Yhteensopiva
Injektioneste Cyclophosphamide 10 mg/ml
Injektioneste Filgrastim 30 µg/ml
Glukoosi 5% 244
Yhteensopiva
Injektioneste Cyclophosphamide 10 mg/ml
Injektioneste Fludarabine phosphate 1 mg/ml
Glukoosi 5% 492
Yhteensopiva
Injektioneste Cyclophosphamide 20 mg/ml
Injektioneste Gallium nitrate 1 mg/ml
Natriumkloridi 0,9% 91
Yhteensopiva
Injektioneste Cyclophosphamide 10 mg/ml
Injektioneste Gemcitabine hydrochloride 10 mg/ml
Natriumkloridi 0,9% 1423
Yhteensopiva
Injektioneste Cyclophosphamide 2 mg/ml
Injektioneste Granisetron hydrochloride 1 mg/ml
Injektionesteisiin käytettävä vesi 57
Yhteensopiva
Injektioneste Cyclophosphamide 1 mg/ml
Injektioneste Hydroxyzine dihydrochloride 0.5 mg/ml
Glukoosi 5% 331
Yhteensopiva
Injektioneste Cyclophosphamide 4 mg/ml
Injektioneste Idarubicin hydrochloride 1 mg/ml
Natriumkloridi 0,9% 491
Sade 4 tunnin kuluttua yhteensopimaton
Injektioneste Cyclophosphamide 10 mg/ml
Injektioneste Lansoprazole 0.55 mg/ml
Natriumkloridi 0,9% 1625
Yhteensopiva
Injektioneste Cyclophosphamide 10 mg/ml
Injektioneste Linezolid 2 mg/ml
Ei mikään 1925
Yhteensopiva
Injektioneste Cyclophosphamide 10 mg/ml
Injektioneste Melphalan 0.1 mg/ml
Natriumkloridi 0,9% 169
Yhteensopiva
Injektioneste Cyclophosphamide 1.8 mg/ml
Injektioneste Mesna 0.54 mg/ml
Glukoosi 5% 1833
Yhteensopiva
Injektioneste Cyclophosphamide 10.8 mg/ml
Injektioneste Mesna 3.2 mg/ml
Glukoosi 5% 1833
Yhteensopiva
Injektioneste Cyclophosphamide 1 >> 10 mg/ml
Injektioneste Mesna 0.2 >> 10 mg/ml
Natriumkloridi 0,9% 2104
Yhteensopiva
Injektioneste Cyclophosphamide 20 mg/ml
Injektioneste Methotrexate sodium 30 mg/ml
Natriumkloridi 0,9% 150
Määrittelemätön yhteensopimattomuus yhteensopimaton
Injektioneste Cyclophosphamide
Injektioneste Mitomycin
4471
Kemiallinen epävakaus yhteensopimaton
Injektioneste Cyclophosphamide
Injektioneste Mitomycin
3128
Yhteensopiva
Injektioneste Cyclophosphamide 2 mg/ml
Injektioneste Ondansetron hydrochloride 0,4 mg/ml
Natriumkloridi 0,9% 50
Yhteensopiva
Injektioneste Cyclophosphamide 0,3 mg/ml
Injektioneste Ondansetron hydrochloride 0,05 mg/ml
Natriumkloridi 0,9% 50
Yhteensopiva
Injektioneste Cyclophosphamide 20 mg/ml
Injektioneste Ondansetron hydrochloride 0,016 >> 0,16 mg/ml
Injektionesteisiin käytettävä vesi 3574
Yhteensopiva
Injektioneste Cyclophosphamide 0,3 mg/ml
Injektioneste Ondansetron hydrochloride 0,05 mg/ml
Glukoosi 5% 50
Yhteensopiva
Injektioneste Cyclophosphamide 2 mg/ml
Injektioneste Ondansetron hydrochloride 0,4 mg/ml
Glukoosi 5% 50
Yhteensopiva
Injektioneste Cyclophosphamide 10 mg/ml
Injektioneste Ondansetron hydrochloride 1 mg/ml
Natriumkloridi 0,9% 334
Yhteensopiva
Injektioneste Cyclophosphamide 10 mg/ml
Injektioneste Oxaliplatin 0,5 mg/ml
Glukoosi 5% 1662
Yhteensopiva
Injektioneste Cyclophosphamide 10 mg/ml
Injektioneste Paclitaxel 1.2 mg/ml
Glukoosi 5% 85
Yhteensopiva
Injektioneste Cyclophosphamide 10 mg/ml
Injektioneste Palonosetron hydrochloride 50 µg/ml
Glukoosi 5% 2016
Yhteensopiva
Injektioneste Cyclophosphamide 10 mg/ml
Injektioneste Pemetrexed disodium 20 mg/ml
Natriumkloridi 0,9% 1953
Yhteensopiva
Injektioneste Cyclophosphamide 10 mg/ml
Injektioneste Piperacillin sodium / tazobactam 40/5 mg/ml
Glukoosi 5% 81
Yhteensopiva
Injektioneste Cyclophosphamide 10 mg/ml
Injektioneste Propofol 10 mg/ml
Ei mikään 300
Emulsion epästabiilisuus 24 tunnin kuluttua yhteensopimaton
Injektioneste Cyclophosphamide 4 mg/ml
Injektioneste Propofol
660
Yhteensopiva
Injektioneste Cyclophosphamide 10 mg/ml
Injektioneste Sargramostim 10 µg/ml
Natriumkloridi 0,9% 335
Yhteensopiva
Injektioneste Cyclophosphamide 20 mg/ml
Injektioneste Sodium bicarbonate 14 mg/ml
Ei mikään 150
Yhteensopiva
Injektioneste Cyclophosphamide 10 mg/ml
Injektioneste Teniposide 0.1 mg/ml
Glukoosi 5% 905
Yhteensopiva
Injektioneste Cyclophosphamide 10 mg/ml
Injektioneste Thiotepa 1 mg/ml
Glukoosi 5% 249
Yhteensopiva
Injektioneste Cyclophosphamide 20 mg/ml
Injektioneste Topotecan 0.056 mg/ml
Glukoosi 5% 1026
Yhteensopiva
Injektioneste Cyclophosphamide 20 mg/ml
Injektioneste Topotecan 0.056 mg/ml
Natriumkloridi 0,9% 1026
Yhteensopiva
Injektioneste Cyclophosphamide 10 mg/ml
Injektioneste Vinorelbine tartrate 1 mg/ml
Natriumkloridi 0,9% 84

  Mentions Légales