最新更新 :
27/04/2026
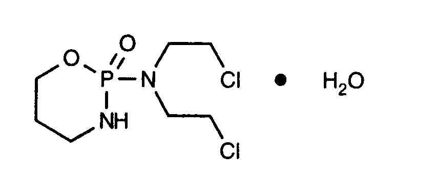
細胞増殖抑制薬   Cyclophosphamide  
注射薬
カプセル 経口液
溶媒内の安定性 混合時の安定性 安定性に影響する因子 互換性 投与経路 引用文献 PDF
   化学構造  

商品名   商品名     

商品名、賦形剤は国、製薬会社ごとに異なることがあります

Alkyloxan エジプト, マレーシア
Celomide インド
Ciclofosfamida アルゼンチン, チリ, ルーマニア
Cicloxal スペイン
Cryofaxol メキシコ
Cycloblastin アーストラリア
Cycloblastine オランダ
Cyclophosphamid デンマーク, ドイツ
Cyclophosphamide アメリカ, イギリス, サウジアラビア, ニュージーランド
Cyclostin ドイツ
Cycloxan マレーシア
Cycram エジプト
Cytoxan アメリカ, カナダ, ハンガリー
Eldamide インド
Endoxan アラブ首長国連邦, アーストラリア, イタリア, イラン, インド, エクアドル, オランダ, オーストリア, ギリシア, クロアチア, コロンビア, サウジアラビア, スイス, スロベニア, タイ, チュニジア, チリ, トルコ, ドイツ, ニュージーランド, ハンガリー, フランス, ベネズエラ, ベルギー, ポルトガル, ポーランド, モロッコ, ルクセンブルグ
Endoxana アイルランド, イギリス
Formitex コロンビア, メキシコ
Genoxal スペイン
Genuxal ブラジル
Hidrofosmin メキシコ
Ledoxan コロンビア
Ledoxina コロンビア, メキシコ
Neophos エジプト
Neosar アメリカ
Procytox カナダ
Sendoxan アイスランド, スウェーデン, デンマーク, ノルウェー, フィンランド
Syklofosfamid トルコ, フィンランド
互換性   注射薬   互換性 : Cyclophosphamide              
This screen indicates the compatibilities or incompatibilities with, in this case, the type of incompatibility (precipitation, color change, modification of an emulsion, etc.). The compatibilities shown here are mostly physical only, with the chemical stability of each molecule rarely being assessed. The evaluation of these mixtures was studied to consider the possibility of Y-site administration to the patient. These data cannot be used for making mixtures in advance in bags or syringes. This type of information is available in the screen "Stability in mixture ».
化合物 溶媒 引用文献
対応
注射薬 Cyclophosphamide 20 mg/ml
NaHCO3 150
対応
注射薬 Cyclophosphamide
NaCl 0,9% 4865
対応
注射薬 Cyclophosphamide
NaCl 0,45% Glucose 5% 4865
対応
注射薬 Cyclophosphamide 10 mg/ml
非経口的栄養(二元混合物) 301
対応
注射薬 Cyclophosphamide 10 mg/ml
非経口的栄養(脂肪含む) 1415
対応
注射薬 Cyclophosphamide
グルコース5% 4989
対応
注射薬 Cyclophosphamide 10 mg/ml
注射薬 Allopurinol sodium 3 mg/ml
NaCl 0,9% 307
対応
注射薬 Cyclophosphamide 10 mg/ml
注射薬 Amifostine 10 mg/ml
グルコース5% 3
すぐに濁り 非互換
注射薬 Cyclophosphamide 10 mg/ml
注射薬 Amphotericin B cholesteryl sulfate complex 0.83 mg/ml
グルコース5% 921
対応
注射薬 Cyclophosphamide
NaCl 0,9% 4989
対応
注射薬 Cyclophosphamide 10 mg/ml
注射薬 Anidulafungin 0.5 mg/ml
グルコース5% 1982
対応
注射薬 Cyclophosphamide 10 mg/ml
注射薬 Aztreonam 40 mg/ml
グルコース5% 99
対応
注射薬 Cyclophosphamide 10 mg/ml
注射薬 Cladribine 0.5 mg/ml
NaCl 0,9% +抗菌 1496
対応
注射薬 Cyclophosphamide 10 mg/ml
注射薬 Cladribine 0.015 mg/ml
NaCl 0,9% 1496
対応
注射薬 Cyclophosphamide 10 mg/ml
注射薬 Doripenem 5 mg/ml
グルコース5% 2262
対応
注射薬 Cyclophosphamide 10 mg/ml
注射薬 Doripenem 5 mg/ml
NaCl 0,9% 2262
対応
注射薬 Cyclophosphamide 10 mg/ml
注射薬 Doxorubicin hydrochloride liposome peg 0.4 mg/ml
グルコース5% 251
対応
注射薬 Cyclophosphamide 10 mg/ml
注射薬 Etoposide phosphate 5 mg/ml
グルコース5% 1410
対応
注射薬 Cyclophosphamide 10 mg/ml
注射薬 Filgrastim 30 µg/ml
グルコース5% 244
対応
注射薬 Cyclophosphamide 10 mg/ml
注射薬 Fludarabine phosphate 1 mg/ml
グルコース5% 492
対応
注射薬 Cyclophosphamide 20 mg/ml
注射薬 Gallium nitrate 1 mg/ml
NaCl 0,9% 91
対応
注射薬 Cyclophosphamide 10 mg/ml
注射薬 Gemcitabine hydrochloride 10 mg/ml
NaCl 0,9% 1423
対応
注射薬 Cyclophosphamide 2 mg/ml
注射薬 Granisetron hydrochloride 1 mg/ml
注射用水 57
対応
注射薬 Cyclophosphamide 1 mg/ml
注射薬 Hydroxyzine dihydrochloride 0.5 mg/ml
グルコース5% 331
対応
注射薬 Cyclophosphamide 4 mg/ml
注射薬 Idarubicin hydrochloride 1 mg/ml
NaCl 0,9% 491
4時間後の降水 非互換
注射薬 Cyclophosphamide 10 mg/ml
注射薬 Lansoprazole 0.55 mg/ml
NaCl 0,9% 1625
対応
注射薬 Cyclophosphamide 10 mg/ml
注射薬 Linezolid 2 mg/ml
なし 1925
対応
注射薬 Cyclophosphamide 10 mg/ml
注射薬 Melphalan 0.1 mg/ml
NaCl 0,9% 169
対応
注射薬 Cyclophosphamide 1.8 mg/ml
注射薬 Mesna 0.54 mg/ml
グルコース5% 1833
対応
注射薬 Cyclophosphamide 10.8 mg/ml
注射薬 Mesna 3.2 mg/ml
グルコース5% 1833
対応
注射薬 Cyclophosphamide 1 >> 10 mg/ml
注射薬 Mesna 0.2 >> 10 mg/ml
NaCl 0,9% 2104
対応
注射薬 Cyclophosphamide 20 mg/ml
注射薬 Methotrexate sodium 30 mg/ml
NaCl 0,9% 150
不特定の非互換性 非互換
注射薬 Cyclophosphamide
注射薬 Mitomycin
4471
化学的不安定性 非互換
注射薬 Cyclophosphamide
注射薬 Mitomycin
3128
対応
注射薬 Cyclophosphamide 2 mg/ml
注射薬 Ondansetron hydrochloride 0,4 mg/ml
NaCl 0,9% 50
対応
注射薬 Cyclophosphamide 0,3 mg/ml
注射薬 Ondansetron hydrochloride 0,05 mg/ml
NaCl 0,9% 50
対応
注射薬 Cyclophosphamide 20 mg/ml
注射薬 Ondansetron hydrochloride 0,016 >> 0,16 mg/ml
注射用水 3574
対応
注射薬 Cyclophosphamide 0,3 mg/ml
注射薬 Ondansetron hydrochloride 0,05 mg/ml
グルコース5% 50
対応
注射薬 Cyclophosphamide 2 mg/ml
注射薬 Ondansetron hydrochloride 0,4 mg/ml
グルコース5% 50
対応
注射薬 Cyclophosphamide 10 mg/ml
注射薬 Ondansetron hydrochloride 1 mg/ml
NaCl 0,9% 334
対応
注射薬 Cyclophosphamide 10 mg/ml
注射薬 Oxaliplatin 0,5 mg/ml
グルコース5% 1662
対応
注射薬 Cyclophosphamide 10 mg/ml
注射薬 Paclitaxel 1.2 mg/ml
グルコース5% 85
対応
注射薬 Cyclophosphamide 10 mg/ml
注射薬 Palonosetron hydrochloride 50 µg/ml
グルコース5% 2016
対応
注射薬 Cyclophosphamide 10 mg/ml
注射薬 Pemetrexed disodium 20 mg/ml
NaCl 0,9% 1953
対応
注射薬 Cyclophosphamide 10 mg/ml
注射薬 Piperacillin sodium / tazobactam 40/5 mg/ml
グルコース5% 81
対応
注射薬 Cyclophosphamide 10 mg/ml
注射薬 Propofol 10 mg/ml
なし 300
24時間後のエマルジョンの不安定性 非互換
注射薬 Cyclophosphamide 4 mg/ml
注射薬 Propofol
660
対応
注射薬 Cyclophosphamide 10 mg/ml
注射薬 Sargramostim 10 µg/ml
NaCl 0,9% 335
対応
注射薬 Cyclophosphamide 20 mg/ml
注射薬 Sodium bicarbonate 14 mg/ml
なし 150
対応
注射薬 Cyclophosphamide 10 mg/ml
注射薬 Teniposide 0.1 mg/ml
グルコース5% 905
対応
注射薬 Cyclophosphamide 10 mg/ml
注射薬 Thiotepa 1 mg/ml
グルコース5% 249
対応
注射薬 Cyclophosphamide 20 mg/ml
注射薬 Topotecan 0.056 mg/ml
グルコース5% 1026
対応
注射薬 Cyclophosphamide 20 mg/ml
注射薬 Topotecan 0.056 mg/ml
NaCl 0,9% 1026
対応
注射薬 Cyclophosphamide 10 mg/ml
注射薬 Vinorelbine tartrate 1 mg/ml
NaCl 0,9% 84

  Mentions Légales