Τελευταία ενημέρωση :
27/04/2026
φάρμακο κατά του καρκίνου   Cyclophosphamide  
Ενέσιμο
Κάψουλα Πόσιμο διάλυμα
Σταθερότητα διαλυμάτων Σταθερότητα σε μίγματα Παράγοντας που επηρεάζει τη σταθερότητα Συμβατότητες Τρόπος χορήγησης Βιβλιογραφία pdf
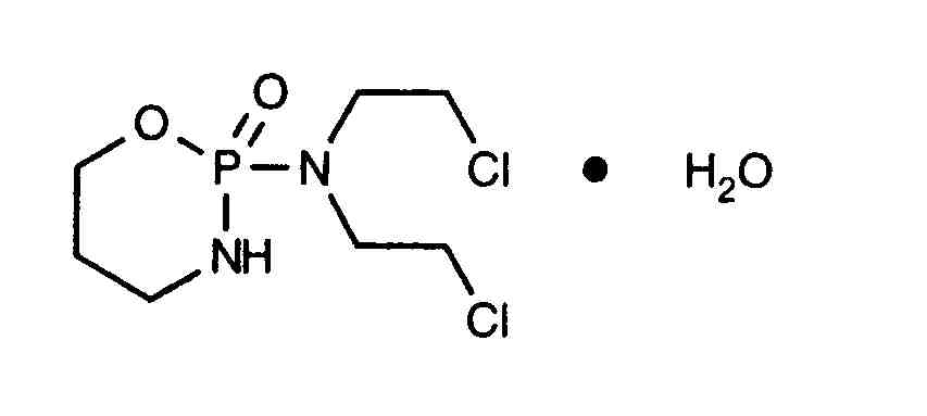
   χημική δομή  

Εμπορική ονομασία   Εμπορική ονομασία     

Οι εμπορικές ονομασίες είναι ενδεικτικές και η σύνθεση των εκδόχων μπορεί να διαφέρει ανάλογα με τη χώρα και τα εργαστήρια

Alkyloxan Αίγυπτος, Μαλαισία
Celomide Ινδία
Ciclofosfamida Αργεντινή, Ρουμανία, Χιλή
Cicloxal Ισπανία
Cryofaxol Μεξικό
Cycloblastin Αυστραλία
Cycloblastine Ολλανδία
Cyclophosphamid Γερμανία, Δανία
Cyclophosphamide Η.Π.Α., Μεγάλη Βρετανία, νέα Ζηλανδία, Σαουδική Αραβία
Cyclostin Γερμανία
Cycloxan Μαλαισία
Cycram Αίγυπτος
Cytoxan Η.Π.Α., Καναδάς, Ουγγαρία
Eldamide Ινδία
Endoxan Yhdistyneet arabiemiirikunnat, Αυστραλία, Αυστρία, Βέλγιο, Βενεζουέλα, Γαλλία, Γερμανία, Εκουαδόρ, Ελβετία, Ελλάδα, Ινδία, Ιράν, Ιταλία, Κολομβία, Κροατία, Λουξεμβούργο, Μαρόκο, νέα Ζηλανδία, Ολλανδία, Ουγγαρία, Πολωνία, Πορτογαλία, Σαουδική Αραβία, Σλοβενία, Ταϊλάνδη, Τουρκία, Τυνησία, Χιλή
Endoxana Ιρλανδία, Μεγάλη Βρετανία
Formitex Κολομβία, Μεξικό
Genoxal Ισπανία
Genuxal Βραζιλία
Hidrofosmin Μεξικό
Ledoxan Κολομβία
Ledoxina Κολομβία, Μεξικό
Neophos Αίγυπτος
Neosar Η.Π.Α.
Procytox Καναδάς
Sendoxan Δανία, Ισλανδία, Νορβηγία, Σουηδία, Φινλανδία
Syklofosfamid Τουρκία, Φινλανδία
Συμβατότητες    Ενέσιμο   Συμβατότητες : Cyclophosphamide              
Σε αυτή την οθόνη εμφανίζονται οι συμβατότητες ή ασυμβατότητες. Σε αυτή την περίπτωση εμφανίζονται το είδος της ασυμβατότητας (ίζημα, αλλαγή χρώματος, μεταβολή γαλακτώματος, κλπ). Οι συμβατότητες που παρουσιάζονται εδώ είναι κυρίως φυσικές, ενώ η χημική σταθερότητα κάθε μορίου σπάνια περιλαμβάνεται. Η αξιολόγηση αυτών των μιγμάτων μελετήθηκε προκειμένου να εκτιμηθεί η πιθανότητα χορήγησης στον ασθενή στο Υ κέντρο. Τα δεδομένα αυτά δεν μπορούν να χρησιμοποιηθούν για την εκ των προτέρων δημιουργία μιγμάτων σε ασκούς ή σύριγγες. Αυτό το είδος πληροφορίας υπάρχει και μπορεί να αναζητηθεί στην οθόνη «Σταθερότητα σε μίγμα».
Συστατικό Διαλυτικό Βιβλιογραφία
Σύμφωνος
Ενέσιμο Cyclophosphamide 20 mg/ml
NaHCO3 150
Σύμφωνος
Ενέσιμο Cyclophosphamide
Χλωριούχο νάτριο 0,9% 4865
Σύμφωνος
Ενέσιμο Cyclophosphamide
NaCl 0,45% Γλυκόζη 5% 4865
Σύμφωνος
Ενέσιμο Cyclophosphamide 10 mg/ml
Παρεντερική  θρέψη (ελεύθερο λιπιδίων) 301
Σύμφωνος
Ενέσιμο Cyclophosphamide 10 mg/ml
Παρεντερική διατροφή (με λιπίδια) 1415
Σύμφωνος
Ενέσιμο Cyclophosphamide
Γλυκόζη 5% 4989
Σύμφωνος
Ενέσιμο Cyclophosphamide 10 mg/ml
Ενέσιμο Allopurinol sodium 3 mg/ml
Χλωριούχο νάτριο 0,9% 307
Σύμφωνος
Ενέσιμο Cyclophosphamide 10 mg/ml
Ενέσιμο Amifostine 10 mg/ml
Γλυκόζη 5% 3
Άμεση θολότητα Ασύμβατες
Ενέσιμο Cyclophosphamide 10 mg/ml
Ενέσιμο Amphotericin B cholesteryl sulfate complex 0.83 mg/ml
Γλυκόζη 5% 921
Σύμφωνος
Ενέσιμο Cyclophosphamide
Χλωριούχο νάτριο 0,9% 4989
Σύμφωνος
Ενέσιμο Cyclophosphamide 10 mg/ml
Ενέσιμο Anidulafungin 0.5 mg/ml
Γλυκόζη 5% 1982
Σύμφωνος
Ενέσιμο Cyclophosphamide 10 mg/ml
Ενέσιμο Aztreonam 40 mg/ml
Γλυκόζη 5% 99
Σύμφωνος
Ενέσιμο Cyclophosphamide 10 mg/ml
Ενέσιμο Cladribine 0.5 mg/ml
NaCl 0,9% + αντιβακτηριακό 1496
Σύμφωνος
Ενέσιμο Cyclophosphamide 10 mg/ml
Ενέσιμο Cladribine 0.015 mg/ml
Χλωριούχο νάτριο 0,9% 1496
Σύμφωνος
Ενέσιμο Cyclophosphamide 10 mg/ml
Ενέσιμο Doripenem 5 mg/ml
Γλυκόζη 5% 2262
Σύμφωνος
Ενέσιμο Cyclophosphamide 10 mg/ml
Ενέσιμο Doripenem 5 mg/ml
Χλωριούχο νάτριο 0,9% 2262
Σύμφωνος
Ενέσιμο Cyclophosphamide 10 mg/ml
Ενέσιμο Doxorubicin hydrochloride liposome peg 0.4 mg/ml
Γλυκόζη 5% 251
Σύμφωνος
Ενέσιμο Cyclophosphamide 10 mg/ml
Ενέσιμο Etoposide phosphate 5 mg/ml
Γλυκόζη 5% 1410
Σύμφωνος
Ενέσιμο Cyclophosphamide 10 mg/ml
Ενέσιμο Filgrastim 30 µg/ml
Γλυκόζη 5% 244
Σύμφωνος
Ενέσιμο Cyclophosphamide 10 mg/ml
Ενέσιμο Fludarabine phosphate 1 mg/ml
Γλυκόζη 5% 492
Σύμφωνος
Ενέσιμο Cyclophosphamide 20 mg/ml
Ενέσιμο Gallium nitrate 1 mg/ml
Χλωριούχο νάτριο 0,9% 91
Σύμφωνος
Ενέσιμο Cyclophosphamide 10 mg/ml
Ενέσιμο Gemcitabine hydrochloride 10 mg/ml
Χλωριούχο νάτριο 0,9% 1423
Σύμφωνος
Ενέσιμο Cyclophosphamide 2 mg/ml
Ενέσιμο Granisetron hydrochloride 1 mg/ml
Ενέσιμο ύδωρ 57
Σύμφωνος
Ενέσιμο Cyclophosphamide 1 mg/ml
Ενέσιμο Hydroxyzine dihydrochloride 0.5 mg/ml
Γλυκόζη 5% 331
Σύμφωνος
Ενέσιμο Cyclophosphamide 4 mg/ml
Ενέσιμο Idarubicin hydrochloride 1 mg/ml
Χλωριούχο νάτριο 0,9% 491
Καταβύθιση μετά από 4 ώρες Ασύμβατες
Ενέσιμο Cyclophosphamide 10 mg/ml
Ενέσιμο Lansoprazole 0.55 mg/ml
Χλωριούχο νάτριο 0,9% 1625
Σύμφωνος
Ενέσιμο Cyclophosphamide 10 mg/ml
Ενέσιμο Linezolid 2 mg/ml
Ουδέν 1925
Σύμφωνος
Ενέσιμο Cyclophosphamide 10 mg/ml
Ενέσιμο Melphalan 0.1 mg/ml
Χλωριούχο νάτριο 0,9% 169
Σύμφωνος
Ενέσιμο Cyclophosphamide 1.8 mg/ml
Ενέσιμο Mesna 0.54 mg/ml
Γλυκόζη 5% 1833
Σύμφωνος
Ενέσιμο Cyclophosphamide 10.8 mg/ml
Ενέσιμο Mesna 3.2 mg/ml
Γλυκόζη 5% 1833
Σύμφωνος
Ενέσιμο Cyclophosphamide 1 >> 10 mg/ml
Ενέσιμο Mesna 0.2 >> 10 mg/ml
Χλωριούχο νάτριο 0,9% 2104
Σύμφωνος
Ενέσιμο Cyclophosphamide 20 mg/ml
Ενέσιμο Methotrexate sodium 30 mg/ml
Χλωριούχο νάτριο 0,9% 150
Απροσδιόριστη ασυμβατότητα Ασύμβατες
Ενέσιμο Cyclophosphamide
Ενέσιμο Mitomycin
4471
Χημική αστάθεια Ασύμβατες
Ενέσιμο Cyclophosphamide
Ενέσιμο Mitomycin
3128
Σύμφωνος
Ενέσιμο Cyclophosphamide 2 mg/ml
Ενέσιμο Ondansetron hydrochloride 0,4 mg/ml
Χλωριούχο νάτριο 0,9% 50
Σύμφωνος
Ενέσιμο Cyclophosphamide 0,3 mg/ml
Ενέσιμο Ondansetron hydrochloride 0,05 mg/ml
Χλωριούχο νάτριο 0,9% 50
Σύμφωνος
Ενέσιμο Cyclophosphamide 20 mg/ml
Ενέσιμο Ondansetron hydrochloride 0,016 >> 0,16 mg/ml
Ενέσιμο ύδωρ 3574
Σύμφωνος
Ενέσιμο Cyclophosphamide 0,3 mg/ml
Ενέσιμο Ondansetron hydrochloride 0,05 mg/ml
Γλυκόζη 5% 50
Σύμφωνος
Ενέσιμο Cyclophosphamide 2 mg/ml
Ενέσιμο Ondansetron hydrochloride 0,4 mg/ml
Γλυκόζη 5% 50
Σύμφωνος
Ενέσιμο Cyclophosphamide 10 mg/ml
Ενέσιμο Ondansetron hydrochloride 1 mg/ml
Χλωριούχο νάτριο 0,9% 334
Σύμφωνος
Ενέσιμο Cyclophosphamide 10 mg/ml
Ενέσιμο Oxaliplatin 0,5 mg/ml
Γλυκόζη 5% 1662
Σύμφωνος
Ενέσιμο Cyclophosphamide 10 mg/ml
Ενέσιμο Paclitaxel 1.2 mg/ml
Γλυκόζη 5% 85
Σύμφωνος
Ενέσιμο Cyclophosphamide 10 mg/ml
Ενέσιμο Palonosetron hydrochloride 50 µg/ml
Γλυκόζη 5% 2016
Σύμφωνος
Ενέσιμο Cyclophosphamide 10 mg/ml
Ενέσιμο Pemetrexed disodium 20 mg/ml
Χλωριούχο νάτριο 0,9% 1953
Σύμφωνος
Ενέσιμο Cyclophosphamide 10 mg/ml
Ενέσιμο Piperacillin sodium / tazobactam 40/5 mg/ml
Γλυκόζη 5% 81
Σύμφωνος
Ενέσιμο Cyclophosphamide 10 mg/ml
Ενέσιμο Propofol 10 mg/ml
Ουδέν 300
Αστάθεια του γαλακτώματος μετά από 24 ώρες Ασύμβατες
Ενέσιμο Cyclophosphamide 4 mg/ml
Ενέσιμο Propofol
660
Σύμφωνος
Ενέσιμο Cyclophosphamide 10 mg/ml
Ενέσιμο Sargramostim 10 µg/ml
Χλωριούχο νάτριο 0,9% 335
Σύμφωνος
Ενέσιμο Cyclophosphamide 20 mg/ml
Ενέσιμο Sodium bicarbonate 14 mg/ml
Ουδέν 150
Σύμφωνος
Ενέσιμο Cyclophosphamide 10 mg/ml
Ενέσιμο Teniposide 0.1 mg/ml
Γλυκόζη 5% 905
Σύμφωνος
Ενέσιμο Cyclophosphamide 10 mg/ml
Ενέσιμο Thiotepa 1 mg/ml
Γλυκόζη 5% 249
Σύμφωνος
Ενέσιμο Cyclophosphamide 20 mg/ml
Ενέσιμο Topotecan 0.056 mg/ml
Γλυκόζη 5% 1026
Σύμφωνος
Ενέσιμο Cyclophosphamide 20 mg/ml
Ενέσιμο Topotecan 0.056 mg/ml
Χλωριούχο νάτριο 0,9% 1026
Σύμφωνος
Ενέσιμο Cyclophosphamide 10 mg/ml
Ενέσιμο Vinorelbine tartrate 1 mg/ml
Χλωριούχο νάτριο 0,9% 84

  Mentions Légales