Останнє оновлення :
27/04/2026
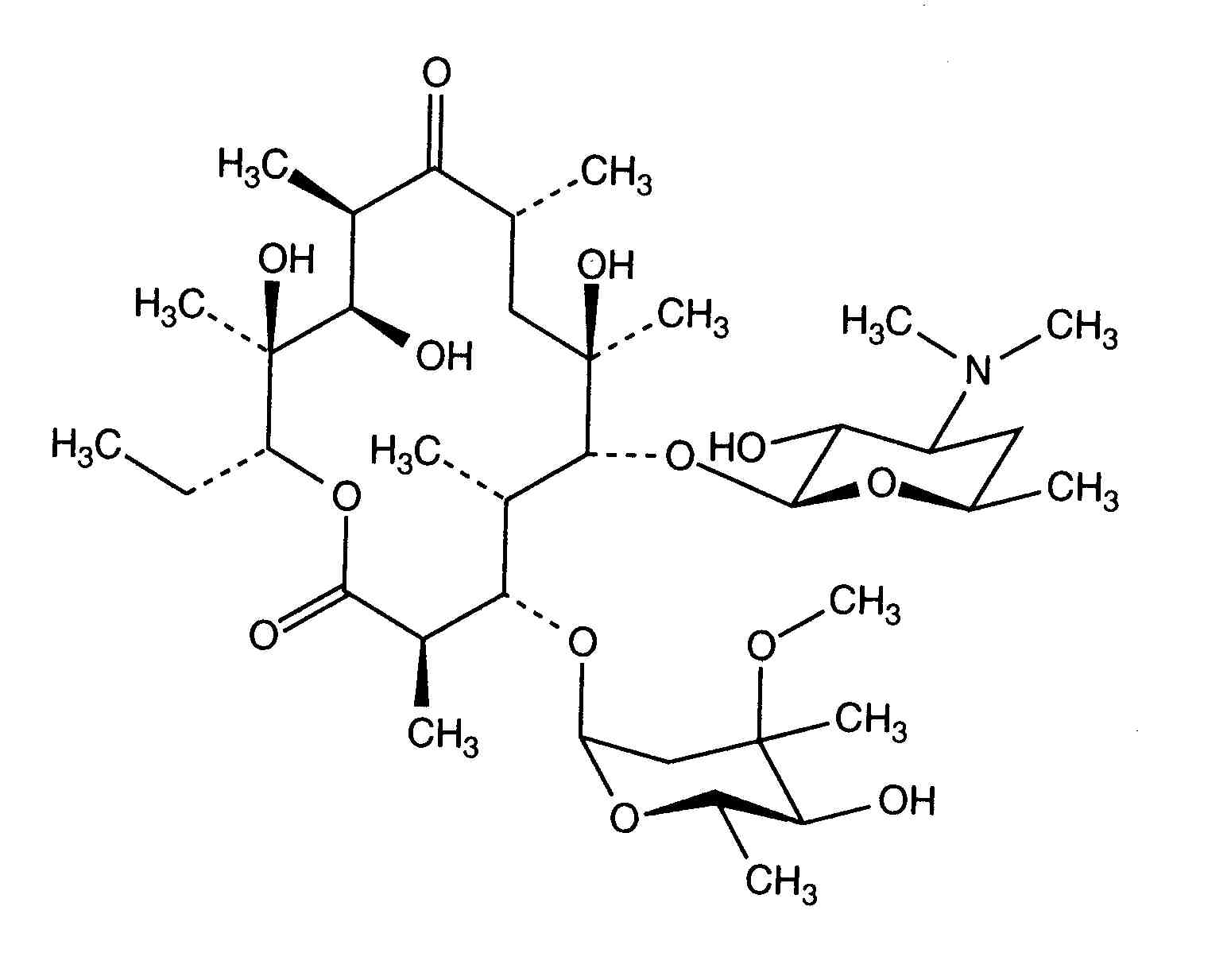
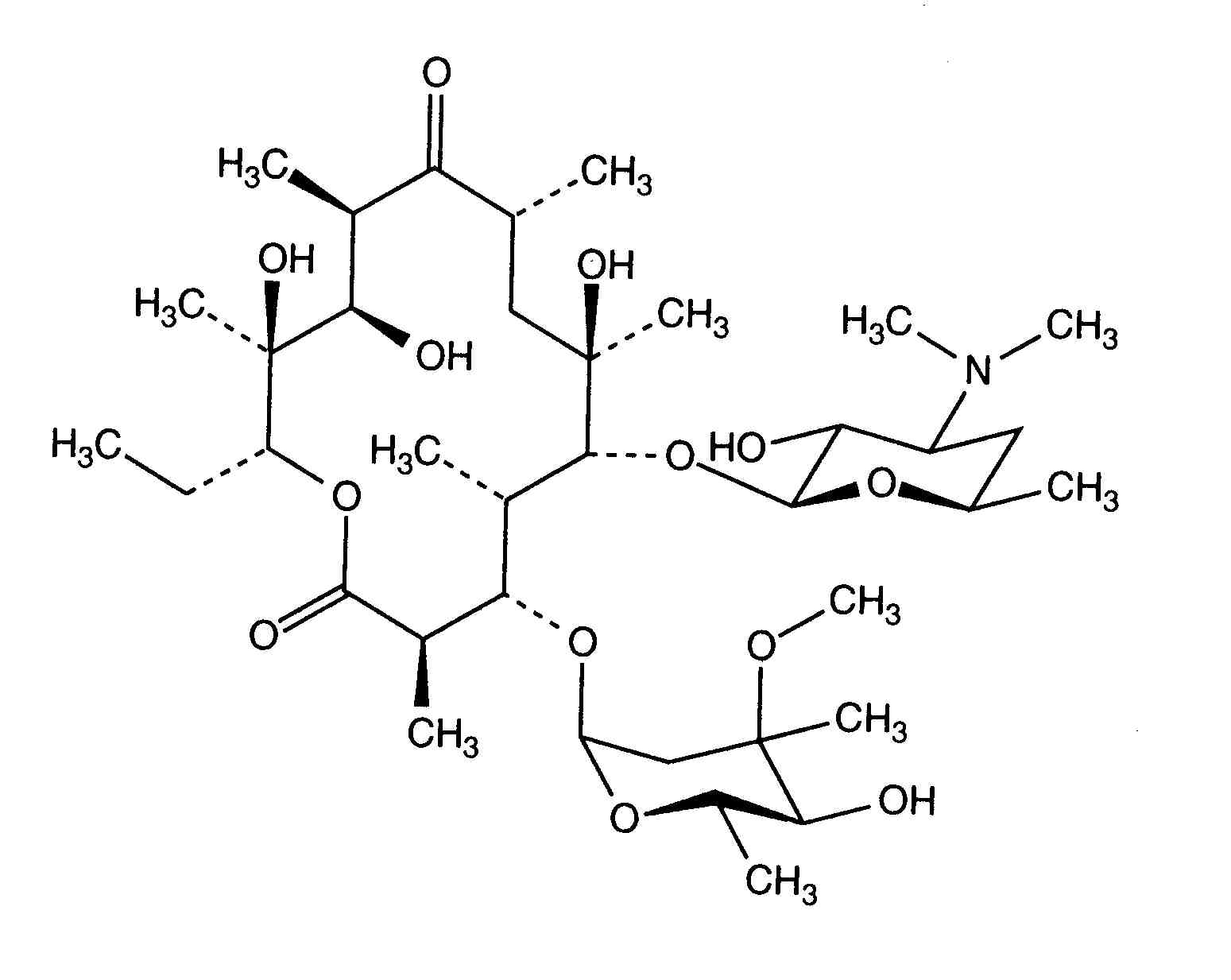
Антибіотик   Erythromycin lactobionate  
ін'єкція
Стійкість в розчинах Стійкість сумішей Фактори, що впливають на стабільність Сумісність Шлях введення Список літератури pdf
   Хімічна структура  

Торгова назва   Торгова назва     

Торгові назви є орієнтовними, а склад допоміжних речовин може бути різним залежно від країни та виробника

Abboticin Данія, Норвегія, Фінляндія, Швеція
Eristin Аргентина
Erithromicina Чилі
Erycinum Німеччина
Erythrocin Ірландія, Австрія, Австралія, Великобританія, Канада, Німеччина, Нова Зеландія, Саудівська Аравія, Сполучені Штати Америки
Erythrocin lactobionat ADD Vantage Австрія, Австралія
Erythrocine Бельгія, Люксембург, Нідерланди, Туніс, Франція
Erythromycin Великобританія, Німеччина, Саудівська Аравія, Сполучені Штати Америки, Угорщина
Erythromycine Люксембург
Erythromycinum Польща
Pantomicina Іспанія, Чилі
Сумісність   ін'єкція   Сумісність : Erythromycin lactobionate              
explication_incompatibilite_molecules
З'єднання Розчинник Список літератури
сумісний
ін'єкція Erythromycin lactobionate 4 mg/ml
ін'єкція Aciclovir sodium 5 mg/ml
Глюкоза 5% 336
Неуточнена несумісність Несумісні
ін'єкція Erythromycin lactobionate
ін'єкція Amikacin sulfate
3674
Неуточнена несумісність Несумісні
ін'єкція Erythromycin lactobionate
ін'єкція Amikacin sulfate
3549
Неуточнена несумісність Несумісні
ін'єкція Erythromycin lactobionate
ін'єкція Aminophylline
3674
сумісний
ін'єкція Erythromycin lactobionate 2 mg/ml
ін'єкція Amiodarone hydrochloride 4 mg/ml
Натрію хлорид 0,9% 385
сумісний
ін'єкція Erythromycin lactobionate 2 mg/ml
ін'єкція Amiodarone hydrochloride 4 mg/ml
Глюкоза 5% 385
Неуточнена несумісність Несумісні
ін'єкція Erythromycin lactobionate
ін'єкція Amobarbital sodium
3674
Неуточнена несумісність Несумісні
ін'єкція Erythromycin lactobionate
ін'єкція Amoxicillin sodium
3674
Миттєві опади Несумісні
ін'єкція Erythromycin lactobionate 50 mg/ml
ін'єкція Amoxicillin sodium / clavulanic acid 100/10 mg/ml
3824
Неуточнена несумісність Несумісні
ін'єкція Erythromycin lactobionate
ін'єкція Amoxicillin sodium / clavulanic acid
3674
Неуточнена несумісність Несумісні
ін'єкція Erythromycin lactobionate
ін'єкція Ampicillin sodium
3674
Неуточнена несумісність Несумісні
ін'єкція Erythromycin lactobionate
ін'єкція Ampicillin sodium - sulbactam sodium
3674
сумісний
ін'єкція Erythromycin lactobionate 5 mg/ml
ін'єкція Anidulafungin 0.5 mg/ml
Глюкоза 5% 1982
Неуточнена несумісність Несумісні
ін'єкція Erythromycin lactobionate
ін'єкція Ascorbic acid
5089
Неуточнена несумісність Несумісні
ін'єкція Erythromycin lactobionate
ін'єкція Ascorbic acid
3674
Неуточнена несумісність Несумісні
ін'єкція Erythromycin lactobionate
ін'єкція Aztreonam
3674
сумісний
ін'єкція Erythromycin lactobionate 5 mg/ml
ін'єкція Bivalirudin 5 mg/ml
Глюкоза 5% 1713
сумісний
ін'єкція Erythromycin lactobionate
Натрію хлорид 0,9% 3674
Миттєві опади Несумісні
ін'єкція Erythromycin lactobionate 50 mg/ml
ін'єкція Caffeine 10 mg/ml
Жодного 3964
Неуточнена несумісність Несумісні
ін'єкція Erythromycin lactobionate
ін'єкція Cefalotin sodium
3674
Неуточнена несумісність Несумісні
ін'єкція Erythromycin lactobionate
ін'єкція Cefamandole nafate
3674
Неуточнена несумісність Несумісні
ін'єкція Erythromycin lactobionate
ін'єкція Cefazolin sodium
3674
Помутніння через годину Несумісні
ін'єкція Erythromycin lactobionate 20 mg/ml
ін'єкція Cefazolin sodium 220 mg/ml
805
Неуточнена несумісність Несумісні
ін'єкція Erythromycin lactobionate
ін'єкція Cefepime dihydrochloride
3674
Хімічна нестійкість Несумісні
ін'єкція Erythromycin lactobionate 5 mg/ml
ін'єкція Cefepime dihydrochloride 125 mg/ml
Вода для ін'єкцій 2141
Неуточнена несумісність Несумісні
ін'єкція Erythromycin lactobionate
ін'єкція Cefmenoxime
3674
Неуточнена несумісність Несумісні
ін'єкція Erythromycin lactobionate
ін'єкція Cefmetazole sodium
3674
Миттєві опади Несумісні
ін'єкція Erythromycin lactobionate 10 & 50 mg/ml
ін'єкція Cefmetazole sodium 100 mg/ml
Вода для ін'єкцій 93
Неуточнена несумісність Несумісні
ін'єкція Erythromycin lactobionate
ін'єкція Cefonicid sodium
3674
Неуточнена несумісність Несумісні
ін'єкція Erythromycin lactobionate
ін'єкція Cefoperazone sodium
3674
Неуточнена несумісність Несумісні
ін'єкція Erythromycin lactobionate
ін'єкція Ceforanide
3674
Неуточнена несумісність Несумісні
ін'єкція Erythromycin lactobionate
ін'єкція Cefotaxime sodium
3674
Неуточнена несумісність Несумісні
ін'єкція Erythromycin lactobionate
ін'єкція Cefoxitin sodium
3674
Неуточнена несумісність Несумісні
ін'єкція Erythromycin lactobionate
ін'єкція Cefpirome sulfate
3674
Неуточнена несумісність Несумісні
ін'єкція Erythromycin lactobionate
ін'єкція Ceftaroline fosamil
3674
Миттєві опади Несумісні
ін'єкція Erythromycin lactobionate 5 mg/ml
ін'єкція Ceftazidime 125 mg/ml
Вода для ін'єкцій 2141
Неуточнена несумісність Несумісні
ін'єкція Erythromycin lactobionate
ін'єкція Ceftazidime
3674
Миттєві опади Несумісні
ін'єкція Erythromycin lactobionate 10 & 50 mg/ml
ін'єкція Ceftazidime 83.3 mg/ml
1759
Неуточнена несумісність Несумісні
ін'єкція Erythromycin lactobionate
ін'єкція Ceftazidime Avibactam
3674
Неуточнена несумісність Несумісні
ін'єкція Erythromycin lactobionate
ін'єкція Ceftizoxime sodium
3674
Неуточнена несумісність Несумісні
ін'єкція Erythromycin lactobionate
ін'єкція Ceftobiprole medocaril sodium
3674
Неуточнена несумісність Несумісні
ін'єкція Erythromycin lactobionate
ін'єкція Ceftolozane / tazobactam
3674
Неуточнена несумісність Несумісні
ін'єкція Erythromycin lactobionate
ін'єкція Ceftriaxone disodium
3674
Неуточнена несумісність Несумісні
ін'єкція Erythromycin lactobionate
ін'єкція Cefuroxime sodium
3674
Неуточнена несумісність Несумісні
ін'єкція Erythromycin lactobionate
ін'єкція Cefuzonam
3674
Неуточнена несумісність Несумісні
ін'єкція Erythromycin lactobionate
ін'єкція Chloramphenicol sodium succinate
3674
Неуточнена несумісність Несумісні
ін'єкція Erythromycin lactobionate
ін'єкція Chlorpromazine hydrochloride
3674
сумісний
ін'єкція Erythromycin lactobionate 5 & 50 mg/ml
ін'єкція Diltiazem hydrochloride 5 mg/ml
Натрію хлорид 0,9% 198
Неуточнена несумісність Несумісні
ін'єкція Erythromycin lactobionate
ін'єкція Doripenem
3674
сумісний
ін'єкція Erythromycin lactobionate 10 mg/ml
Парентеральне харчування (бінарна суміш) 939
сумісний
ін'єкція Erythromycin lactobionate 5 mg/ml
ін'єкція Cimetidine hydrochloride 3 mg/ml
Натрію хлорид 0,9% 1201
Миттєві опади Несумісні
ін'єкція Erythromycin lactobionate 50 mg/ml
ін'єкція Cloxacillin sodium 100 mg/ml
Вода для ін'єкцій 3012
Неуточнена несумісність Несумісні
ін'єкція Erythromycin lactobionate
ін'єкція Cloxacillin sodium
3674
Неуточнена несумісність Несумісні
ін'єкція Erythromycin lactobionate
ін'єкція Colistin mesilate sodium
3674
сумісний
ін'єкція Erythromycin lactobionate 5 mg/ml
ін'єкція Dexmedetomidine 4 µg/ml
Натрію хлорид 0,9% 1712
сумісний
ін'єкція Erythromycin lactobionate 5 mg/ml
ін'єкція Doxapram hydrochloride 2 mg/ml
Глюкоза 5% 1802
Неуточнена несумісність Несумісні
ін'єкція Erythromycin lactobionate
ін'єкція Doxycycline hyclate
3674
сумісний
ін'єкція Erythromycin lactobionate 5 mg/ml
ін'єкція Enalaprilate 0.05 mg/ml
Натрію хлорид 0,9% 1315
Неуточнена несумісність Несумісні
ін'єкція Erythromycin lactobionate
ін'єкція Ertapenem
3674
сумісний
ін'єкція Erythromycin lactobionate 5 mg/ml
ін'єкція Esmolol hydrochloride 10 mg/ml
Глюкоза 5% 384
сумісний
ін'єкція Erythromycin lactobionate 2 mg/ml
ін'єкція Famotidine
Глюкоза 5% 397
сумісний
ін'єкція Erythromycin lactobionate
Глюкоза 5% 3674
сумісний
ін'єкція Erythromycin lactobionate 5 mg/ml
ін'єкція Fenoldopam mesylate 80 µg/ml
Натрію хлорид 0,9% 1803
Неуточнена несумісність Несумісні
ін'єкція Erythromycin lactobionate
ін'єкція Flucloxacillin sodium
3674
Миттєві опади Несумісні
ін'єкція Erythromycin lactobionate 5 mg/ml
ін'єкція Flucloxacillin sodium 20 mg/ml
Натрію хлорид 0,9% 1232
Миттєві опади Несумісні
ін'єкція Erythromycin lactobionate 20 mg/ml
ін'єкція Fluconazole 2 mg/ml
Натрію хлорид 0,9% 496
сумісний
ін'єкція Erythromycin lactobionate 20 mg/ml
ін'єкція Foscarnet sodium 24 mg/ml
Натрію хлорид 0,9% 1135
сумісний
ін'єкція Erythromycin lactobionate 20 mg/ml
ін'єкція Foscarnet sodium 24 mg/ml
Жодного 73
Миттєві опади Несумісні
ін'єкція Erythromycin lactobionate 5 mg/ml
ін'єкція Furosemide 1 mg/ml
Натрію хлорид 0,9% 1232
Неуточнена несумісність Несумісні
ін'єкція Erythromycin lactobionate
ін'єкція Gentamicin sulfate
3643
Неуточнена несумісність Несумісні
ін'єкція Erythromycin lactobionate
ін'єкція Gentamicin sulfate
3520
Неуточнена несумісність Несумісні
ін'єкція Erythromycin lactobionate
ін'єкція Gentamicin sulfate
3674
Неуточнена несумісність Несумісні
ін'єкція Erythromycin lactobionate
ін'єкція Heparin sodium
3674
сумісний
ін'єкція Erythromycin lactobionate 50 mg/ml
Розчин лактату Рінгера 4603
сумісний
ін'єкція Erythromycin lactobionate 3.3 mg/ml
ін'єкція Heparin sodium 50 UI/ml
Жодного 317
сумісний
ін'єкція Erythromycin lactobionate 50 mg/ml
Парентеральне харчування (бінарна суміш) 999
Неуточнена несумісність Несумісні
ін'єкція Erythromycin lactobionate
ін'єкція Heparin sodium
3540
сумісний
ін'єкція Erythromycin lactobionate 5 mg/ml
ін'єкція Hetastarch 60 mg/ml
специфічний розчинник 1721
сумісний
ін'єкція Erythromycin lactobionate 5 mg/ml
ін'єкція Hydromorphone hydrochloride 0.2 mg/ml
Глюкоза 5% 405
сумісний
ін'єкція Erythromycin lactobionate 2 mg/ml
ін'єкція Idarubicin hydrochloride 1 mg/ml
Натрію хлорид 0,9% 491
Неуточнена несумісність Несумісні
ін'єкція Erythromycin lactobionate
ін'єкція Imipenem - cilastatin sodium
3674
Неуточнена несумісність Несумісні
ін'єкція Erythromycin lactobionate
ін'єкція Kanamycin sulfate
3674
сумісний
ін'єкція Erythromycin lactobionate 5 mg/ml
ін'єкція Labetalol hydrochloride 1 mg/ml
Глюкоза 5% 386
Неуточнена несумісність Несумісні
ін'єкція Erythromycin lactobionate
ін'єкція Levomepromazine
3674
Хімічна нестійкість Несумісні
ін'єкція Erythromycin lactobionate 5 mg/ml
ін'єкція Linezolid 2 mg/ml
Жодного 1607
Неуточнена несумісність Несумісні
ін'єкція Erythromycin lactobionate
ін'єкція Linezolid
3560
сумісний
ін'єкція Erythromycin lactobionate 5 mg/ml
ін'єкція Linezolid 2 mg/ml
Жодного 1925
сумісний
ін'єкція Erythromycin lactobionate 5 mg/ml
ін'єкція Lorazepam 0.33 mg/ml
Натрію хлорид 0,9% 186
сумісний
ін'єкція Erythromycin lactobionate 5 mg/ml
ін'єкція Magnesium sulfate 16.67 >> 100 mg/ml
Глюкоза 5% 1047
сумісний
ін'єкція Erythromycin lactobionate 50 mg/ml
ін'єкція Meropenem 50 mg/ml
Вода для ін'єкцій 4319
Неуточнена несумісність Несумісні
ін'єкція Erythromycin lactobionate
ін'єкція Meropenem
3674
Неуточнена несумісність Несумісні
ін'єкція Erythromycin lactobionate
ін'єкція Mesna
3602
Неуточнена несумісність Несумісні
ін'єкція Erythromycin lactobionate
ін'єкція Metaraminol
5046
Неуточнена несумісність Несумісні
ін'єкція Erythromycin lactobionate
ін'єкція Methohexital sodium
3674
сумісний
ін'єкція Erythromycin lactobionate 5 mg/ml
ін'єкція Midazolam hydrochloride 5 mg/ml
Жодного 186
Неуточнена несумісність Несумісні
ін'єкція Erythromycin lactobionate
ін'єкція Minocycline hydrochloride
3674
сумісний
ін'єкція Erythromycin lactobionate 5 mg/ml
ін'єкція Morphine sulfate 1 mg/ml
Глюкоза 5% 405
Неуточнена несумісність Несумісні
ін'єкція Erythromycin lactobionate
ін'єкція Moxalactam
3674
Неуточнена несумісність Несумісні
ін'єкція Erythromycin lactobionate
ін'єкція N-acetylcysteine 200 mg/ml
Жодного 3766
Неуточнена несумісність Несумісні
ін'єкція Erythromycin lactobionate
ін'єкція Nafcillin sodium
3674
сумісний
ін'єкція Erythromycin lactobionate 50 mg/ml
ін'єкція Naloxone hydrochloride 0.4 mg/ml
Жодного 3408
Неуточнена несумісність Несумісні
ін'єкція Erythromycin lactobionate
ін'єкція Netilmicin sulfate
3674
сумісний
ін'єкція Erythromycin lactobionate 5 mg/ml
ін'єкція Nicardipine hydrochloride 0.1 mg/ml
Натрію хлорид 0,9% 1490
сумісний
ін'єкція Erythromycin lactobionate 5 mg/ml
ін'єкція Nicardipine hydrochloride 0.1 mg/ml
Глюкоза 5% 1490
Неуточнена несумісність Несумісні
ін'єкція Erythromycin lactobionate
ін'єкція Oxacillin sodium
3674
Неуточнена несумісність Несумісні
ін'єкція Erythromycin lactobionate
ін'єкція Oxytetracycline hydrochloride
3674
сумісний
ін'єкція Erythromycin lactobionate 50 mg/ml
ін'єкція Paracetamol 10 mg/ml
4742
Неуточнена несумісність Несумісні
ін'єкція Erythromycin lactobionate
ін'єкція Penicillin G potassium
3674
Неуточнена несумісність Несумісні
ін'єкція Erythromycin lactobionate
ін'єкція Penicillin G sodium
3674
Неуточнена несумісність Несумісні
ін'єкція Erythromycin lactobionate
ін'єкція Pentobarbital sodium
3674
сумісний
ін'єкція Erythromycin lactobionate 5 mg/ml
ін'єкція Pethidine hydrochloride 10 mg/ml
Глюкоза 5% 405
Неуточнена несумісність Несумісні
ін'єкція Erythromycin lactobionate
ін'єкція Phenobarbital sodium
3674
Неуточнена несумісність Несумісні
ін'єкція Erythromycin lactobionate
ін'єкція Phenytoin sodium
3674
Неуточнена несумісність Несумісні
ін'єкція Erythromycin lactobionate
ін'єкція Piperacillin sodium
3674
Неуточнена несумісність Несумісні
ін'єкція Erythromycin lactobionate
ін'єкція Piperacillin sodium / tazobactam
3674
Неуточнена несумісність Несумісні
ін'єкція Erythromycin lactobionate
ін'єкція Plazomicin sulfate
3674
Неуточнена несумісність Несумісні
ін'єкція Erythromycin lactobionate
ін'єкція Prochlorperazine edysilate
3674
Неуточнена несумісність Несумісні
ін'єкція Erythromycin lactobionate
ін'єкція Promethazine hydrochloride
3674
Неуточнена несумісність Несумісні
ін'єкція Erythromycin lactobionate
ін'єкція Pyridoxine hydrochloride
3674
Неуточнена несумісність Несумісні
ін'єкція Erythromycin lactobionate
ін'єкція Rocuronium bromide
3564
сумісний
ін'єкція Erythromycin lactobionate 50 mg/ml
ін'єкція Salbutamol sulfate 1 mg/ml
Жодного 3216
Неуточнена несумісність Несумісні
ін'єкція Erythromycin lactobionate
ін'єкція Streptomycin sulfate
3674
сумісний
ін'єкція Erythromycin lactobionate 20 mg/ml
ін'єкція Tacrolimus 1000 µg/ml
Натрію хлорид 0,9% 479
Неуточнена несумісність Несумісні
ін'єкція Erythromycin lactobionate
ін'єкція Temocilline
3674
сумісний
ін'єкція Erythromycin lactobionate 5 mg/ml
ін'єкція Temocilline 83.33 mg/ml
Вода для ін'єкцій 2231
сумісний
ін'єкція Erythromycin lactobionate 3.3 mg/ml
ін'єкція Theophylline 4 mg/ml
Жодного 317
Миттєві опади Несумісні
ін'єкція Erythromycin lactobionate 50 mg/ml
ін'єкція Thiopental sodium 25 mg/ml
Натрію хлорид 0,9% 3767
Неуточнена несумісність Несумісні
ін'єкція Erythromycin lactobionate
ін'єкція Thiopental sodium
3674
Неуточнена несумісність Несумісні
ін'єкція Erythromycin lactobionate
ін'єкція Ticarcillin / clavulanic acid
3674
Неуточнена несумісність Несумісні
ін'єкція Erythromycin lactobionate
ін'єкція Tigecycline
3674
Неуточнена несумісність Несумісні
ін'єкція Erythromycin lactobionate
ін'єкція Tobramycin sulfate
3674
Неуточнена несумісність Несумісні
ін'єкція Erythromycin lactobionate
ін'єкція Triflupromazine hydrochloride
3674
сумісний
ін'єкція Erythromycin lactobionate 5 mg/ml
ін'єкція Vancomycin hydrochloride 10 mg/ml
Глюкоза 5% 3385
сумісний
ін'єкція Erythromycin lactobionate 2 mg/ml
ін'єкція Verapamil hydrochloride 0.08 mg/ml
Натрію хлорид 0,9% 1057
сумісний
ін'єкція Erythromycin lactobionate 2 mg/ml
ін'єкція Verapamil hydrochloride 0.08 mg/ml
Глюкоза 5% 1057
сумісний
ін'єкція Erythromycin lactobionate 20 mg/ml
ін'єкція Zidovudine 4 mg/ml
Глюкоза 5% 337

  Mentions Légales