Τελευταία ενημέρωση :
27/04/2026
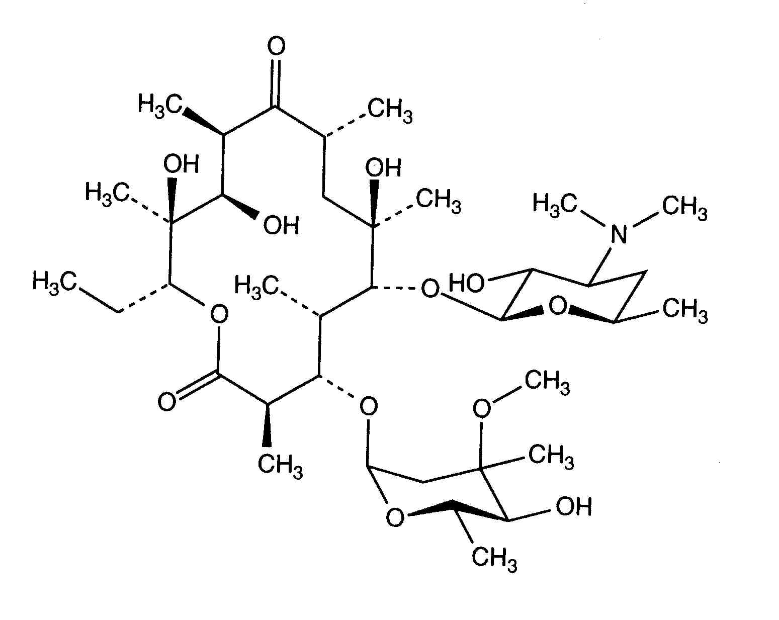
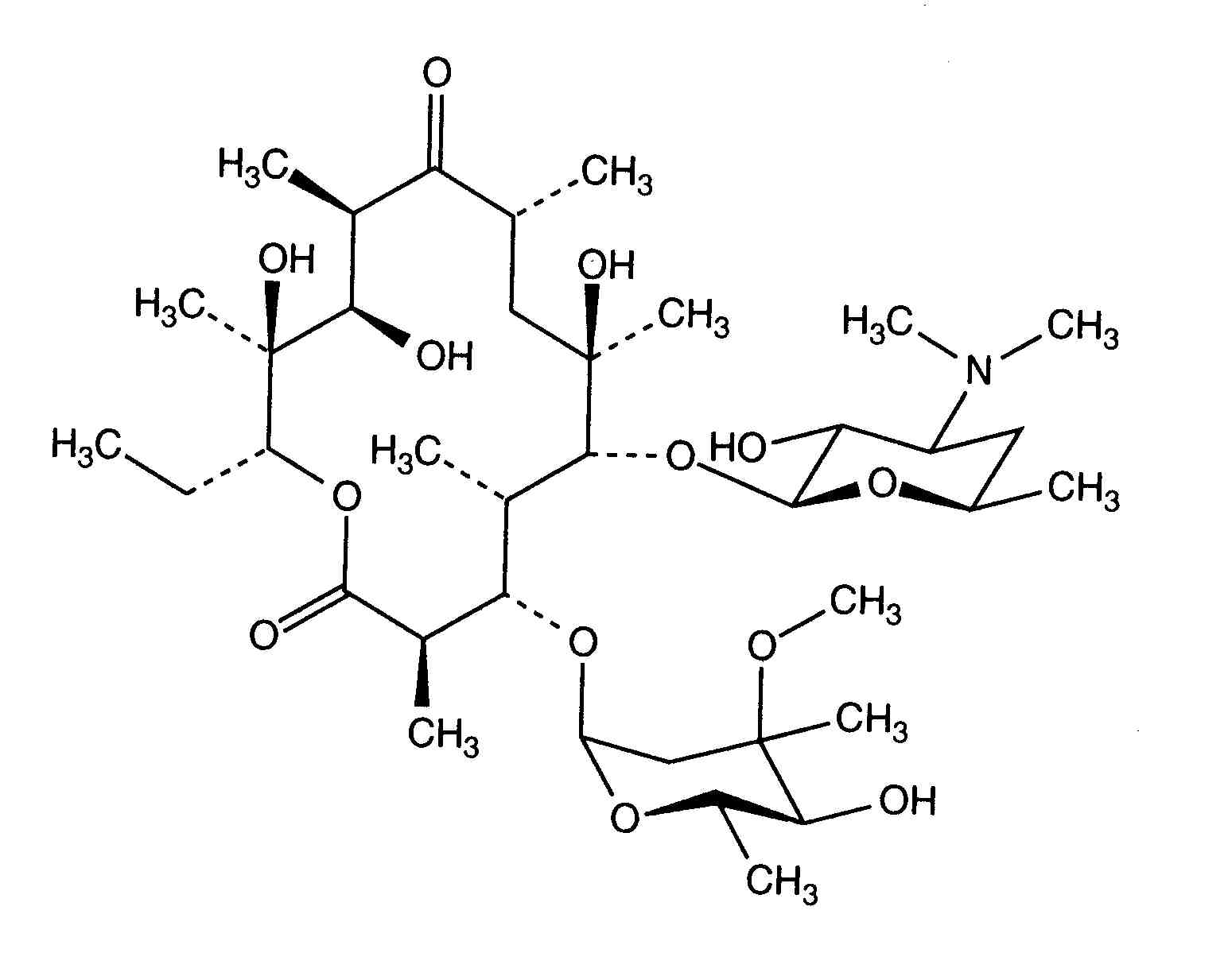
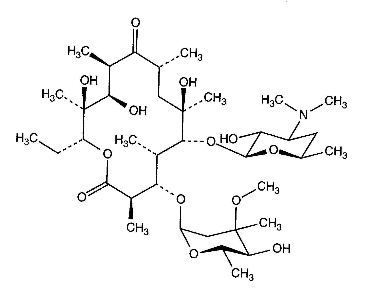
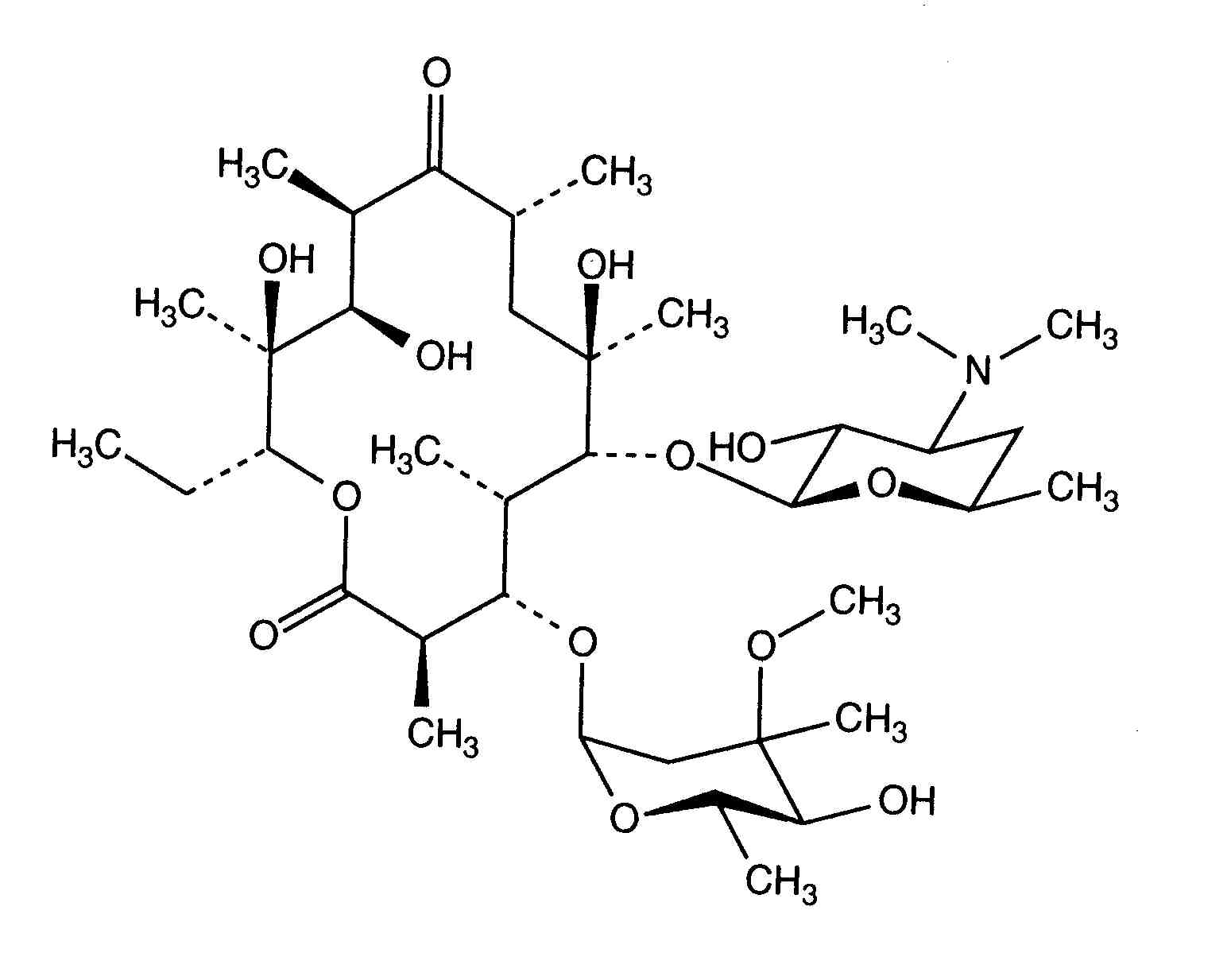
Αντιβιοτικό   Erythromycin lactobionate  
Ενέσιμο
Σταθερότητα διαλυμάτων Σταθερότητα σε μίγματα Παράγοντας που επηρεάζει τη σταθερότητα Συμβατότητες Τρόπος χορήγησης Βιβλιογραφία pdf
   χημική δομή  

Εμπορική ονομασία   Εμπορική ονομασία     

Οι εμπορικές ονομασίες είναι ενδεικτικές και η σύνθεση των εκδόχων μπορεί να διαφέρει ανάλογα με τη χώρα και τα εργαστήρια

Abboticin Δανία, Νορβηγία, Σουηδία, Φινλανδία
Eristin Αργεντινή
Erithromicina Χιλή
Erycinum Γερμανία
Erythrocin Αυστραλία, Αυστρία, Γερμανία, Η.Π.Α., Ιρλανδία, Καναδάς, Μεγάλη Βρετανία, νέα Ζηλανδία, Σαουδική Αραβία
Erythrocin lactobionat ADD Vantage Αυστραλία, Αυστρία
Erythrocine Βέλγιο, Γαλλία, Λουξεμβούργο, Ολλανδία, Τυνησία
Erythromycin Γερμανία, Η.Π.Α., Μεγάλη Βρετανία, Ουγγαρία, Σαουδική Αραβία
Erythromycine Λουξεμβούργο
Erythromycinum Πολωνία
Pantomicina Ισπανία, Χιλή
Συμβατότητες    Ενέσιμο   Συμβατότητες : Erythromycin lactobionate              
Σε αυτή την οθόνη εμφανίζονται οι συμβατότητες ή ασυμβατότητες. Σε αυτή την περίπτωση εμφανίζονται το είδος της ασυμβατότητας (ίζημα, αλλαγή χρώματος, μεταβολή γαλακτώματος, κλπ). Οι συμβατότητες που παρουσιάζονται εδώ είναι κυρίως φυσικές, ενώ η χημική σταθερότητα κάθε μορίου σπάνια περιλαμβάνεται. Η αξιολόγηση αυτών των μιγμάτων μελετήθηκε προκειμένου να εκτιμηθεί η πιθανότητα χορήγησης στον ασθενή στο Υ κέντρο. Τα δεδομένα αυτά δεν μπορούν να χρησιμοποιηθούν για την εκ των προτέρων δημιουργία μιγμάτων σε ασκούς ή σύριγγες. Αυτό το είδος πληροφορίας υπάρχει και μπορεί να αναζητηθεί στην οθόνη «Σταθερότητα σε μίγμα».
Συστατικό Διαλυτικό Βιβλιογραφία
Σύμφωνος
Ενέσιμο Erythromycin lactobionate 4 mg/ml
Ενέσιμο Aciclovir sodium 5 mg/ml
Γλυκόζη 5% 336
Απροσδιόριστη ασυμβατότητα Ασύμβατες
Ενέσιμο Erythromycin lactobionate
Ενέσιμο Amikacin sulfate
3674
Απροσδιόριστη ασυμβατότητα Ασύμβατες
Ενέσιμο Erythromycin lactobionate
Ενέσιμο Amikacin sulfate
3549
Απροσδιόριστη ασυμβατότητα Ασύμβατες
Ενέσιμο Erythromycin lactobionate
Ενέσιμο Aminophylline
3674
Σύμφωνος
Ενέσιμο Erythromycin lactobionate 2 mg/ml
Ενέσιμο Amiodarone hydrochloride 4 mg/ml
Χλωριούχο νάτριο 0,9% 385
Σύμφωνος
Ενέσιμο Erythromycin lactobionate 2 mg/ml
Ενέσιμο Amiodarone hydrochloride 4 mg/ml
Γλυκόζη 5% 385
Απροσδιόριστη ασυμβατότητα Ασύμβατες
Ενέσιμο Erythromycin lactobionate
Ενέσιμο Amobarbital sodium
3674
Απροσδιόριστη ασυμβατότητα Ασύμβατες
Ενέσιμο Erythromycin lactobionate
Ενέσιμο Amoxicillin sodium
3674
Άμεση βροχόπτωση Ασύμβατες
Ενέσιμο Erythromycin lactobionate 50 mg/ml
Ενέσιμο Amoxicillin sodium / clavulanic acid 100/10 mg/ml
3824
Απροσδιόριστη ασυμβατότητα Ασύμβατες
Ενέσιμο Erythromycin lactobionate
Ενέσιμο Amoxicillin sodium / clavulanic acid
3674
Απροσδιόριστη ασυμβατότητα Ασύμβατες
Ενέσιμο Erythromycin lactobionate
Ενέσιμο Ampicillin sodium
3674
Απροσδιόριστη ασυμβατότητα Ασύμβατες
Ενέσιμο Erythromycin lactobionate
Ενέσιμο Ampicillin sodium - sulbactam sodium
3674
Σύμφωνος
Ενέσιμο Erythromycin lactobionate 5 mg/ml
Ενέσιμο Anidulafungin 0.5 mg/ml
Γλυκόζη 5% 1982
Απροσδιόριστη ασυμβατότητα Ασύμβατες
Ενέσιμο Erythromycin lactobionate
Ενέσιμο Ascorbic acid
5089
Απροσδιόριστη ασυμβατότητα Ασύμβατες
Ενέσιμο Erythromycin lactobionate
Ενέσιμο Ascorbic acid
3674
Απροσδιόριστη ασυμβατότητα Ασύμβατες
Ενέσιμο Erythromycin lactobionate
Ενέσιμο Aztreonam
3674
Σύμφωνος
Ενέσιμο Erythromycin lactobionate 5 mg/ml
Ενέσιμο Bivalirudin 5 mg/ml
Γλυκόζη 5% 1713
Σύμφωνος
Ενέσιμο Erythromycin lactobionate
Χλωριούχο νάτριο 0,9% 3674
Άμεση βροχόπτωση Ασύμβατες
Ενέσιμο Erythromycin lactobionate 50 mg/ml
Ενέσιμο Caffeine 10 mg/ml
Ουδέν 3964
Απροσδιόριστη ασυμβατότητα Ασύμβατες
Ενέσιμο Erythromycin lactobionate
Ενέσιμο Cefalotin sodium
3674
Απροσδιόριστη ασυμβατότητα Ασύμβατες
Ενέσιμο Erythromycin lactobionate
Ενέσιμο Cefamandole nafate
3674
Απροσδιόριστη ασυμβατότητα Ασύμβατες
Ενέσιμο Erythromycin lactobionate
Ενέσιμο Cefazolin sodium
3674
Мътност за един час Ασύμβατες
Ενέσιμο Erythromycin lactobionate 20 mg/ml
Ενέσιμο Cefazolin sodium 220 mg/ml
805
Απροσδιόριστη ασυμβατότητα Ασύμβατες
Ενέσιμο Erythromycin lactobionate
Ενέσιμο Cefepime dihydrochloride
3674
Χημική αστάθεια Ασύμβατες
Ενέσιμο Erythromycin lactobionate 5 mg/ml
Ενέσιμο Cefepime dihydrochloride 125 mg/ml
Ενέσιμο ύδωρ 2141
Απροσδιόριστη ασυμβατότητα Ασύμβατες
Ενέσιμο Erythromycin lactobionate
Ενέσιμο Cefmenoxime
3674
Απροσδιόριστη ασυμβατότητα Ασύμβατες
Ενέσιμο Erythromycin lactobionate
Ενέσιμο Cefmetazole sodium
3674
Άμεση βροχόπτωση Ασύμβατες
Ενέσιμο Erythromycin lactobionate 10 & 50 mg/ml
Ενέσιμο Cefmetazole sodium 100 mg/ml
Ενέσιμο ύδωρ 93
Απροσδιόριστη ασυμβατότητα Ασύμβατες
Ενέσιμο Erythromycin lactobionate
Ενέσιμο Cefonicid sodium
3674
Απροσδιόριστη ασυμβατότητα Ασύμβατες
Ενέσιμο Erythromycin lactobionate
Ενέσιμο Cefoperazone sodium
3674
Απροσδιόριστη ασυμβατότητα Ασύμβατες
Ενέσιμο Erythromycin lactobionate
Ενέσιμο Ceforanide
3674
Απροσδιόριστη ασυμβατότητα Ασύμβατες
Ενέσιμο Erythromycin lactobionate
Ενέσιμο Cefotaxime sodium
3674
Απροσδιόριστη ασυμβατότητα Ασύμβατες
Ενέσιμο Erythromycin lactobionate
Ενέσιμο Cefoxitin sodium
3674
Απροσδιόριστη ασυμβατότητα Ασύμβατες
Ενέσιμο Erythromycin lactobionate
Ενέσιμο Cefpirome sulfate
3674
Απροσδιόριστη ασυμβατότητα Ασύμβατες
Ενέσιμο Erythromycin lactobionate
Ενέσιμο Ceftaroline fosamil
3674
Άμεση βροχόπτωση Ασύμβατες
Ενέσιμο Erythromycin lactobionate 5 mg/ml
Ενέσιμο Ceftazidime 125 mg/ml
Ενέσιμο ύδωρ 2141
Απροσδιόριστη ασυμβατότητα Ασύμβατες
Ενέσιμο Erythromycin lactobionate
Ενέσιμο Ceftazidime
3674
Άμεση βροχόπτωση Ασύμβατες
Ενέσιμο Erythromycin lactobionate 10 & 50 mg/ml
Ενέσιμο Ceftazidime 83.3 mg/ml
1759
Απροσδιόριστη ασυμβατότητα Ασύμβατες
Ενέσιμο Erythromycin lactobionate
Ενέσιμο Ceftazidime Avibactam
3674
Απροσδιόριστη ασυμβατότητα Ασύμβατες
Ενέσιμο Erythromycin lactobionate
Ενέσιμο Ceftizoxime sodium
3674
Απροσδιόριστη ασυμβατότητα Ασύμβατες
Ενέσιμο Erythromycin lactobionate
Ενέσιμο Ceftobiprole medocaril sodium
3674
Απροσδιόριστη ασυμβατότητα Ασύμβατες
Ενέσιμο Erythromycin lactobionate
Ενέσιμο Ceftolozane / tazobactam
3674
Απροσδιόριστη ασυμβατότητα Ασύμβατες
Ενέσιμο Erythromycin lactobionate
Ενέσιμο Ceftriaxone disodium
3674
Απροσδιόριστη ασυμβατότητα Ασύμβατες
Ενέσιμο Erythromycin lactobionate
Ενέσιμο Cefuroxime sodium
3674
Απροσδιόριστη ασυμβατότητα Ασύμβατες
Ενέσιμο Erythromycin lactobionate
Ενέσιμο Cefuzonam
3674
Απροσδιόριστη ασυμβατότητα Ασύμβατες
Ενέσιμο Erythromycin lactobionate
Ενέσιμο Chloramphenicol sodium succinate
3674
Απροσδιόριστη ασυμβατότητα Ασύμβατες
Ενέσιμο Erythromycin lactobionate
Ενέσιμο Chlorpromazine hydrochloride
3674
Σύμφωνος
Ενέσιμο Erythromycin lactobionate 5 & 50 mg/ml
Ενέσιμο Diltiazem hydrochloride 5 mg/ml
Χλωριούχο νάτριο 0,9% 198
Απροσδιόριστη ασυμβατότητα Ασύμβατες
Ενέσιμο Erythromycin lactobionate
Ενέσιμο Doripenem
3674
Σύμφωνος
Ενέσιμο Erythromycin lactobionate 10 mg/ml
Παρεντερική  θρέψη (ελεύθερο λιπιδίων) 939
Σύμφωνος
Ενέσιμο Erythromycin lactobionate 5 mg/ml
Ενέσιμο Cimetidine hydrochloride 3 mg/ml
Χλωριούχο νάτριο 0,9% 1201
Άμεση βροχόπτωση Ασύμβατες
Ενέσιμο Erythromycin lactobionate 50 mg/ml
Ενέσιμο Cloxacillin sodium 100 mg/ml
Ενέσιμο ύδωρ 3012
Απροσδιόριστη ασυμβατότητα Ασύμβατες
Ενέσιμο Erythromycin lactobionate
Ενέσιμο Cloxacillin sodium
3674
Απροσδιόριστη ασυμβατότητα Ασύμβατες
Ενέσιμο Erythromycin lactobionate
Ενέσιμο Colistin mesilate sodium
3674
Σύμφωνος
Ενέσιμο Erythromycin lactobionate 5 mg/ml
Ενέσιμο Dexmedetomidine 4 µg/ml
Χλωριούχο νάτριο 0,9% 1712
Σύμφωνος
Ενέσιμο Erythromycin lactobionate 5 mg/ml
Ενέσιμο Doxapram hydrochloride 2 mg/ml
Γλυκόζη 5% 1802
Απροσδιόριστη ασυμβατότητα Ασύμβατες
Ενέσιμο Erythromycin lactobionate
Ενέσιμο Doxycycline hyclate
3674
Σύμφωνος
Ενέσιμο Erythromycin lactobionate 5 mg/ml
Ενέσιμο Enalaprilate 0.05 mg/ml
Χλωριούχο νάτριο 0,9% 1315
Απροσδιόριστη ασυμβατότητα Ασύμβατες
Ενέσιμο Erythromycin lactobionate
Ενέσιμο Ertapenem
3674
Σύμφωνος
Ενέσιμο Erythromycin lactobionate 5 mg/ml
Ενέσιμο Esmolol hydrochloride 10 mg/ml
Γλυκόζη 5% 384
Σύμφωνος
Ενέσιμο Erythromycin lactobionate 2 mg/ml
Ενέσιμο Famotidine
Γλυκόζη 5% 397
Σύμφωνος
Ενέσιμο Erythromycin lactobionate
Γλυκόζη 5% 3674
Σύμφωνος
Ενέσιμο Erythromycin lactobionate 5 mg/ml
Ενέσιμο Fenoldopam mesylate 80 µg/ml
Χλωριούχο νάτριο 0,9% 1803
Απροσδιόριστη ασυμβατότητα Ασύμβατες
Ενέσιμο Erythromycin lactobionate
Ενέσιμο Flucloxacillin sodium
3674
Άμεση βροχόπτωση Ασύμβατες
Ενέσιμο Erythromycin lactobionate 5 mg/ml
Ενέσιμο Flucloxacillin sodium 20 mg/ml
Χλωριούχο νάτριο 0,9% 1232
Άμεση βροχόπτωση Ασύμβατες
Ενέσιμο Erythromycin lactobionate 20 mg/ml
Ενέσιμο Fluconazole 2 mg/ml
Χλωριούχο νάτριο 0,9% 496
Σύμφωνος
Ενέσιμο Erythromycin lactobionate 20 mg/ml
Ενέσιμο Foscarnet sodium 24 mg/ml
Χλωριούχο νάτριο 0,9% 1135
Σύμφωνος
Ενέσιμο Erythromycin lactobionate 20 mg/ml
Ενέσιμο Foscarnet sodium 24 mg/ml
Ουδέν 73
Άμεση βροχόπτωση Ασύμβατες
Ενέσιμο Erythromycin lactobionate 5 mg/ml
Ενέσιμο Furosemide 1 mg/ml
Χλωριούχο νάτριο 0,9% 1232
Απροσδιόριστη ασυμβατότητα Ασύμβατες
Ενέσιμο Erythromycin lactobionate
Ενέσιμο Gentamicin sulfate
3643
Απροσδιόριστη ασυμβατότητα Ασύμβατες
Ενέσιμο Erythromycin lactobionate
Ενέσιμο Gentamicin sulfate
3520
Απροσδιόριστη ασυμβατότητα Ασύμβατες
Ενέσιμο Erythromycin lactobionate
Ενέσιμο Gentamicin sulfate
3674
Απροσδιόριστη ασυμβατότητα Ασύμβατες
Ενέσιμο Erythromycin lactobionate
Ενέσιμο Heparin sodium
3674
Σύμφωνος
Ενέσιμο Erythromycin lactobionate 50 mg/ml
Γαλακτικό διάλυμα Ringer 4603
Σύμφωνος
Ενέσιμο Erythromycin lactobionate 3.3 mg/ml
Ενέσιμο Heparin sodium 50 UI/ml
Ουδέν 317
Σύμφωνος
Ενέσιμο Erythromycin lactobionate 50 mg/ml
Παρεντερική  θρέψη (ελεύθερο λιπιδίων) 999
Απροσδιόριστη ασυμβατότητα Ασύμβατες
Ενέσιμο Erythromycin lactobionate
Ενέσιμο Heparin sodium
3540
Σύμφωνος
Ενέσιμο Erythromycin lactobionate 5 mg/ml
Ενέσιμο Hetastarch 60 mg/ml
Ειδικά διαλύτη 1721
Σύμφωνος
Ενέσιμο Erythromycin lactobionate 5 mg/ml
Ενέσιμο Hydromorphone hydrochloride 0.2 mg/ml
Γλυκόζη 5% 405
Σύμφωνος
Ενέσιμο Erythromycin lactobionate 2 mg/ml
Ενέσιμο Idarubicin hydrochloride 1 mg/ml
Χλωριούχο νάτριο 0,9% 491
Απροσδιόριστη ασυμβατότητα Ασύμβατες
Ενέσιμο Erythromycin lactobionate
Ενέσιμο Imipenem - cilastatin sodium
3674
Απροσδιόριστη ασυμβατότητα Ασύμβατες
Ενέσιμο Erythromycin lactobionate
Ενέσιμο Kanamycin sulfate
3674
Σύμφωνος
Ενέσιμο Erythromycin lactobionate 5 mg/ml
Ενέσιμο Labetalol hydrochloride 1 mg/ml
Γλυκόζη 5% 386
Απροσδιόριστη ασυμβατότητα Ασύμβατες
Ενέσιμο Erythromycin lactobionate
Ενέσιμο Levomepromazine
3674
Χημική αστάθεια Ασύμβατες
Ενέσιμο Erythromycin lactobionate 5 mg/ml
Ενέσιμο Linezolid 2 mg/ml
Ουδέν 1607
Απροσδιόριστη ασυμβατότητα Ασύμβατες
Ενέσιμο Erythromycin lactobionate
Ενέσιμο Linezolid
3560
Σύμφωνος
Ενέσιμο Erythromycin lactobionate 5 mg/ml
Ενέσιμο Linezolid 2 mg/ml
Ουδέν 1925
Σύμφωνος
Ενέσιμο Erythromycin lactobionate 5 mg/ml
Ενέσιμο Lorazepam 0.33 mg/ml
Χλωριούχο νάτριο 0,9% 186
Σύμφωνος
Ενέσιμο Erythromycin lactobionate 5 mg/ml
Ενέσιμο Magnesium sulfate 16.67 >> 100 mg/ml
Γλυκόζη 5% 1047
Σύμφωνος
Ενέσιμο Erythromycin lactobionate 50 mg/ml
Ενέσιμο Meropenem 50 mg/ml
Ενέσιμο ύδωρ 4319
Απροσδιόριστη ασυμβατότητα Ασύμβατες
Ενέσιμο Erythromycin lactobionate
Ενέσιμο Meropenem
3674
Απροσδιόριστη ασυμβατότητα Ασύμβατες
Ενέσιμο Erythromycin lactobionate
Ενέσιμο Mesna
3602
Απροσδιόριστη ασυμβατότητα Ασύμβατες
Ενέσιμο Erythromycin lactobionate
Ενέσιμο Metaraminol
5046
Απροσδιόριστη ασυμβατότητα Ασύμβατες
Ενέσιμο Erythromycin lactobionate
Ενέσιμο Methohexital sodium
3674
Σύμφωνος
Ενέσιμο Erythromycin lactobionate 5 mg/ml
Ενέσιμο Midazolam hydrochloride 5 mg/ml
Ουδέν 186
Απροσδιόριστη ασυμβατότητα Ασύμβατες
Ενέσιμο Erythromycin lactobionate
Ενέσιμο Minocycline hydrochloride
3674
Σύμφωνος
Ενέσιμο Erythromycin lactobionate 5 mg/ml
Ενέσιμο Morphine sulfate 1 mg/ml
Γλυκόζη 5% 405
Απροσδιόριστη ασυμβατότητα Ασύμβατες
Ενέσιμο Erythromycin lactobionate
Ενέσιμο Moxalactam
3674
Απροσδιόριστη ασυμβατότητα Ασύμβατες
Ενέσιμο Erythromycin lactobionate
Ενέσιμο N-acetylcysteine 200 mg/ml
Ουδέν 3766
Απροσδιόριστη ασυμβατότητα Ασύμβατες
Ενέσιμο Erythromycin lactobionate
Ενέσιμο Nafcillin sodium
3674
Σύμφωνος
Ενέσιμο Erythromycin lactobionate 50 mg/ml
Ενέσιμο Naloxone hydrochloride 0.4 mg/ml
Ουδέν 3408
Απροσδιόριστη ασυμβατότητα Ασύμβατες
Ενέσιμο Erythromycin lactobionate
Ενέσιμο Netilmicin sulfate
3674
Σύμφωνος
Ενέσιμο Erythromycin lactobionate 5 mg/ml
Ενέσιμο Nicardipine hydrochloride 0.1 mg/ml
Χλωριούχο νάτριο 0,9% 1490
Σύμφωνος
Ενέσιμο Erythromycin lactobionate 5 mg/ml
Ενέσιμο Nicardipine hydrochloride 0.1 mg/ml
Γλυκόζη 5% 1490
Απροσδιόριστη ασυμβατότητα Ασύμβατες
Ενέσιμο Erythromycin lactobionate
Ενέσιμο Oxacillin sodium
3674
Απροσδιόριστη ασυμβατότητα Ασύμβατες
Ενέσιμο Erythromycin lactobionate
Ενέσιμο Oxytetracycline hydrochloride
3674
Σύμφωνος
Ενέσιμο Erythromycin lactobionate 50 mg/ml
Ενέσιμο Paracetamol 10 mg/ml
4742
Απροσδιόριστη ασυμβατότητα Ασύμβατες
Ενέσιμο Erythromycin lactobionate
Ενέσιμο Penicillin G potassium
3674
Απροσδιόριστη ασυμβατότητα Ασύμβατες
Ενέσιμο Erythromycin lactobionate
Ενέσιμο Penicillin G sodium
3674
Απροσδιόριστη ασυμβατότητα Ασύμβατες
Ενέσιμο Erythromycin lactobionate
Ενέσιμο Pentobarbital sodium
3674
Σύμφωνος
Ενέσιμο Erythromycin lactobionate 5 mg/ml
Ενέσιμο Pethidine hydrochloride 10 mg/ml
Γλυκόζη 5% 405
Απροσδιόριστη ασυμβατότητα Ασύμβατες
Ενέσιμο Erythromycin lactobionate
Ενέσιμο Phenobarbital sodium
3674
Απροσδιόριστη ασυμβατότητα Ασύμβατες
Ενέσιμο Erythromycin lactobionate
Ενέσιμο Phenytoin sodium
3674
Απροσδιόριστη ασυμβατότητα Ασύμβατες
Ενέσιμο Erythromycin lactobionate
Ενέσιμο Piperacillin sodium
3674
Απροσδιόριστη ασυμβατότητα Ασύμβατες
Ενέσιμο Erythromycin lactobionate
Ενέσιμο Piperacillin sodium / tazobactam
3674
Απροσδιόριστη ασυμβατότητα Ασύμβατες
Ενέσιμο Erythromycin lactobionate
Ενέσιμο Plazomicin sulfate
3674
Απροσδιόριστη ασυμβατότητα Ασύμβατες
Ενέσιμο Erythromycin lactobionate
Ενέσιμο Prochlorperazine edysilate
3674
Απροσδιόριστη ασυμβατότητα Ασύμβατες
Ενέσιμο Erythromycin lactobionate
Ενέσιμο Promethazine hydrochloride
3674
Απροσδιόριστη ασυμβατότητα Ασύμβατες
Ενέσιμο Erythromycin lactobionate
Ενέσιμο Pyridoxine hydrochloride
3674
Απροσδιόριστη ασυμβατότητα Ασύμβατες
Ενέσιμο Erythromycin lactobionate
Ενέσιμο Rocuronium bromide
3564
Σύμφωνος
Ενέσιμο Erythromycin lactobionate 50 mg/ml
Ενέσιμο Salbutamol sulfate 1 mg/ml
Ουδέν 3216
Απροσδιόριστη ασυμβατότητα Ασύμβατες
Ενέσιμο Erythromycin lactobionate
Ενέσιμο Streptomycin sulfate
3674
Σύμφωνος
Ενέσιμο Erythromycin lactobionate 20 mg/ml
Ενέσιμο Tacrolimus 1000 µg/ml
Χλωριούχο νάτριο 0,9% 479
Απροσδιόριστη ασυμβατότητα Ασύμβατες
Ενέσιμο Erythromycin lactobionate
Ενέσιμο Temocilline
3674
Σύμφωνος
Ενέσιμο Erythromycin lactobionate 5 mg/ml
Ενέσιμο Temocilline 83.33 mg/ml
Ενέσιμο ύδωρ 2231
Σύμφωνος
Ενέσιμο Erythromycin lactobionate 3.3 mg/ml
Ενέσιμο Theophylline 4 mg/ml
Ουδέν 317
Άμεση βροχόπτωση Ασύμβατες
Ενέσιμο Erythromycin lactobionate 50 mg/ml
Ενέσιμο Thiopental sodium 25 mg/ml
Χλωριούχο νάτριο 0,9% 3767
Απροσδιόριστη ασυμβατότητα Ασύμβατες
Ενέσιμο Erythromycin lactobionate
Ενέσιμο Thiopental sodium
3674
Απροσδιόριστη ασυμβατότητα Ασύμβατες
Ενέσιμο Erythromycin lactobionate
Ενέσιμο Ticarcillin / clavulanic acid
3674
Απροσδιόριστη ασυμβατότητα Ασύμβατες
Ενέσιμο Erythromycin lactobionate
Ενέσιμο Tigecycline
3674
Απροσδιόριστη ασυμβατότητα Ασύμβατες
Ενέσιμο Erythromycin lactobionate
Ενέσιμο Tobramycin sulfate
3674
Απροσδιόριστη ασυμβατότητα Ασύμβατες
Ενέσιμο Erythromycin lactobionate
Ενέσιμο Triflupromazine hydrochloride
3674
Σύμφωνος
Ενέσιμο Erythromycin lactobionate 5 mg/ml
Ενέσιμο Vancomycin hydrochloride 10 mg/ml
Γλυκόζη 5% 3385
Σύμφωνος
Ενέσιμο Erythromycin lactobionate 2 mg/ml
Ενέσιμο Verapamil hydrochloride 0.08 mg/ml
Χλωριούχο νάτριο 0,9% 1057
Σύμφωνος
Ενέσιμο Erythromycin lactobionate 2 mg/ml
Ενέσιμο Verapamil hydrochloride 0.08 mg/ml
Γλυκόζη 5% 1057
Σύμφωνος
Ενέσιμο Erythromycin lactobionate 20 mg/ml
Ενέσιμο Zidovudine 4 mg/ml
Γλυκόζη 5% 337

  Mentions Légales