Viimeisin päivitys :
27/04/2026
Antibiootit   Erythromycin lactobionate  
Injektioneste
Stabilius liuoksessa Stabilius seoksissa Tekijät, jotka vaikuttavat stabiliuteen Yhteensopivuus Antotapa Viitteet pdf
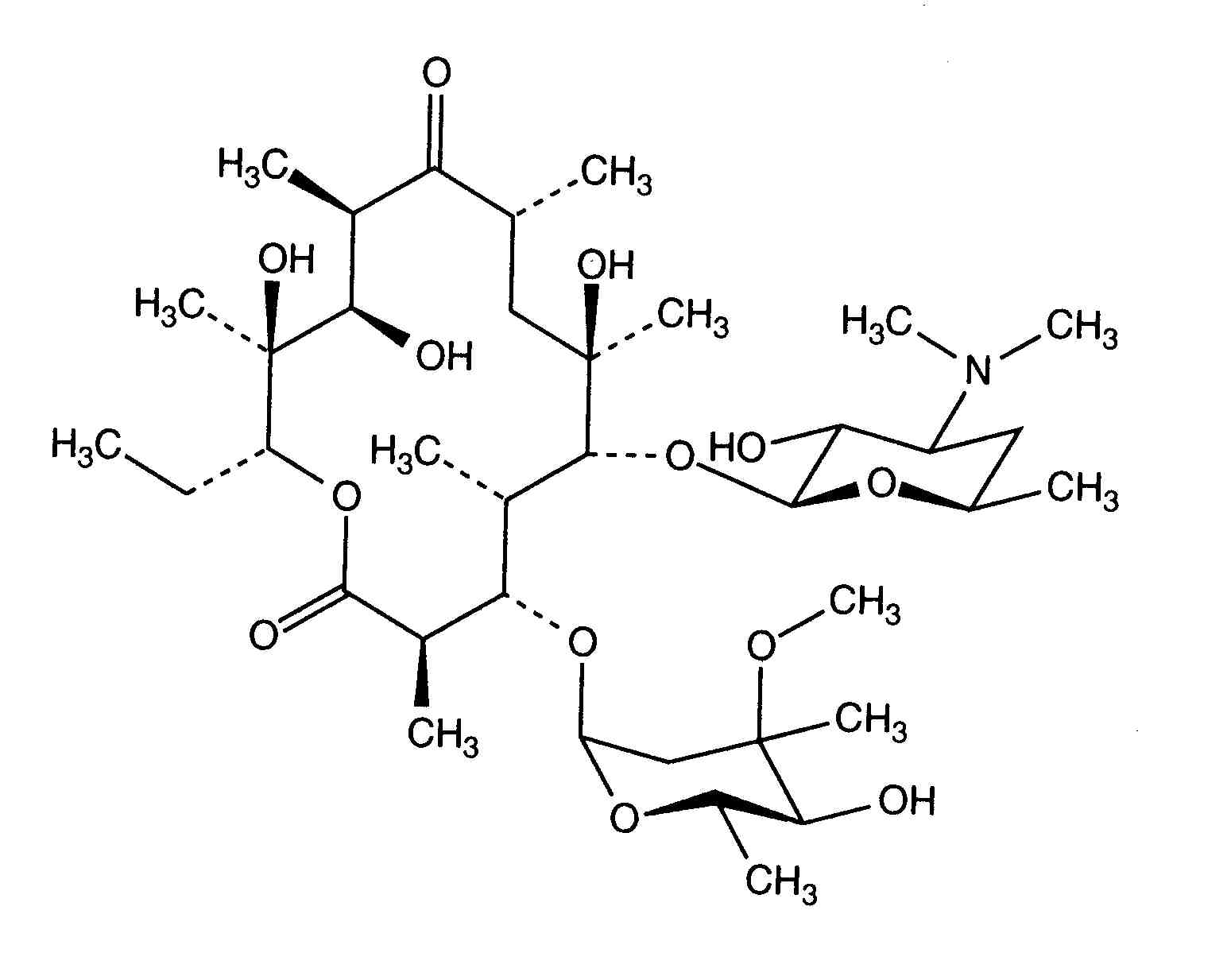
   Kemiallinen rakenne  

Kauppanimi   Kauppanimi     

Trade names are indicative and excipients composition can be different depending on the country and manufacturers

Abboticin Norja, Ruotsi, Suomi, Tanska
Eristin Argentiina
Erithromicina Chile
Erycinum Saksa
Erythrocin Australia, Irlanti, Iso-Britannia, Itävalta, Kanada, New Zealand, Saksa, Saudi-Arabia, Yhdysvallat
Erythrocin lactobionat ADD Vantage Australia, Itävalta
Erythrocine Belgia, Hollanti, Luxemburg, Ranska, Tunisia
Erythromycin Iso-Britannia, Saksa, Saudi-Arabia, Unkari, Yhdysvallat
Erythromycine Luxemburg
Erythromycinum Puola
Pantomicina Chile, Espanja
Yhteensopivuus   Injektioneste   Yhteensopivuus : Erythromycin lactobionate              
Tämä näyttö osoittaa yhteensopivuuden tai yhteensopimattomuuden yhteensopimattomuuden tyypin kanssa (saostuminen, värinmuutos, emulsiomuutos jne.). Tässä esitetty yhteensopivuus on useimmissa tapauksissa vain fysikaalinen, ja kunkin molekyylin kemiallista stabiilisuutta arvioidaan harvoin. Näiden seosten arviointia tutkittiin mahdollisuuden antaa Y-kohta potilaalle. Näitä tietoja ei voida käyttää seosten valmistamiseen etukäteen pusseissa tai ruiskuissa. Tämäntyyppiset tiedot ovat saatavilla "Stabiilisuus seoksessa" -näytössä.
Yhdiste Liuotin Viitteet
Yhteensopiva
Injektioneste Erythromycin lactobionate 4 mg/ml
Injektioneste Aciclovir sodium 5 mg/ml
Glukoosi 5% 336
Määrittelemätön yhteensopimattomuus yhteensopimaton
Injektioneste Erythromycin lactobionate
Injektioneste Amikacin sulfate
3674
Määrittelemätön yhteensopimattomuus yhteensopimaton
Injektioneste Erythromycin lactobionate
Injektioneste Amikacin sulfate
3549
Määrittelemätön yhteensopimattomuus yhteensopimaton
Injektioneste Erythromycin lactobionate
Injektioneste Aminophylline
3674
Yhteensopiva
Injektioneste Erythromycin lactobionate 2 mg/ml
Injektioneste Amiodarone hydrochloride 4 mg/ml
Natriumkloridi 0,9% 385
Yhteensopiva
Injektioneste Erythromycin lactobionate 2 mg/ml
Injektioneste Amiodarone hydrochloride 4 mg/ml
Glukoosi 5% 385
Määrittelemätön yhteensopimattomuus yhteensopimaton
Injektioneste Erythromycin lactobionate
Injektioneste Amobarbital sodium
3674
Määrittelemätön yhteensopimattomuus yhteensopimaton
Injektioneste Erythromycin lactobionate
Injektioneste Amoxicillin sodium
3674
Välittömät sateet yhteensopimaton
Injektioneste Erythromycin lactobionate 50 mg/ml
Injektioneste Amoxicillin sodium / clavulanic acid 100/10 mg/ml
3824
Määrittelemätön yhteensopimattomuus yhteensopimaton
Injektioneste Erythromycin lactobionate
Injektioneste Amoxicillin sodium / clavulanic acid
3674
Määrittelemätön yhteensopimattomuus yhteensopimaton
Injektioneste Erythromycin lactobionate
Injektioneste Ampicillin sodium
3674
Määrittelemätön yhteensopimattomuus yhteensopimaton
Injektioneste Erythromycin lactobionate
Injektioneste Ampicillin sodium - sulbactam sodium
3674
Yhteensopiva
Injektioneste Erythromycin lactobionate 5 mg/ml
Injektioneste Anidulafungin 0.5 mg/ml
Glukoosi 5% 1982
Määrittelemätön yhteensopimattomuus yhteensopimaton
Injektioneste Erythromycin lactobionate
Injektioneste Ascorbic acid
5089
Määrittelemätön yhteensopimattomuus yhteensopimaton
Injektioneste Erythromycin lactobionate
Injektioneste Ascorbic acid
3674
Määrittelemätön yhteensopimattomuus yhteensopimaton
Injektioneste Erythromycin lactobionate
Injektioneste Aztreonam
3674
Yhteensopiva
Injektioneste Erythromycin lactobionate 5 mg/ml
Injektioneste Bivalirudin 5 mg/ml
Glukoosi 5% 1713
Yhteensopiva
Injektioneste Erythromycin lactobionate
Natriumkloridi 0,9% 3674
Välittömät sateet yhteensopimaton
Injektioneste Erythromycin lactobionate 50 mg/ml
Injektioneste Caffeine 10 mg/ml
Ei mikään 3964
Määrittelemätön yhteensopimattomuus yhteensopimaton
Injektioneste Erythromycin lactobionate
Injektioneste Cefalotin sodium
3674
Määrittelemätön yhteensopimattomuus yhteensopimaton
Injektioneste Erythromycin lactobionate
Injektioneste Cefamandole nafate
3674
Määrittelemätön yhteensopimattomuus yhteensopimaton
Injektioneste Erythromycin lactobionate
Injektioneste Cefazolin sodium
3674
Sameus tunnissa yhteensopimaton
Injektioneste Erythromycin lactobionate 20 mg/ml
Injektioneste Cefazolin sodium 220 mg/ml
805
Määrittelemätön yhteensopimattomuus yhteensopimaton
Injektioneste Erythromycin lactobionate
Injektioneste Cefepime dihydrochloride
3674
Kemiallinen epävakaus yhteensopimaton
Injektioneste Erythromycin lactobionate 5 mg/ml
Injektioneste Cefepime dihydrochloride 125 mg/ml
Injektionesteisiin käytettävä vesi 2141
Määrittelemätön yhteensopimattomuus yhteensopimaton
Injektioneste Erythromycin lactobionate
Injektioneste Cefmenoxime
3674
Määrittelemätön yhteensopimattomuus yhteensopimaton
Injektioneste Erythromycin lactobionate
Injektioneste Cefmetazole sodium
3674
Välittömät sateet yhteensopimaton
Injektioneste Erythromycin lactobionate 10 & 50 mg/ml
Injektioneste Cefmetazole sodium 100 mg/ml
Injektionesteisiin käytettävä vesi 93
Määrittelemätön yhteensopimattomuus yhteensopimaton
Injektioneste Erythromycin lactobionate
Injektioneste Cefonicid sodium
3674
Määrittelemätön yhteensopimattomuus yhteensopimaton
Injektioneste Erythromycin lactobionate
Injektioneste Cefoperazone sodium
3674
Määrittelemätön yhteensopimattomuus yhteensopimaton
Injektioneste Erythromycin lactobionate
Injektioneste Ceforanide
3674
Määrittelemätön yhteensopimattomuus yhteensopimaton
Injektioneste Erythromycin lactobionate
Injektioneste Cefotaxime sodium
3674
Määrittelemätön yhteensopimattomuus yhteensopimaton
Injektioneste Erythromycin lactobionate
Injektioneste Cefoxitin sodium
3674
Määrittelemätön yhteensopimattomuus yhteensopimaton
Injektioneste Erythromycin lactobionate
Injektioneste Cefpirome sulfate
3674
Määrittelemätön yhteensopimattomuus yhteensopimaton
Injektioneste Erythromycin lactobionate
Injektioneste Ceftaroline fosamil
3674
Välittömät sateet yhteensopimaton
Injektioneste Erythromycin lactobionate 5 mg/ml
Injektioneste Ceftazidime 125 mg/ml
Injektionesteisiin käytettävä vesi 2141
Määrittelemätön yhteensopimattomuus yhteensopimaton
Injektioneste Erythromycin lactobionate
Injektioneste Ceftazidime
3674
Välittömät sateet yhteensopimaton
Injektioneste Erythromycin lactobionate 10 & 50 mg/ml
Injektioneste Ceftazidime 83.3 mg/ml
1759
Määrittelemätön yhteensopimattomuus yhteensopimaton
Injektioneste Erythromycin lactobionate
Injektioneste Ceftazidime Avibactam
3674
Määrittelemätön yhteensopimattomuus yhteensopimaton
Injektioneste Erythromycin lactobionate
Injektioneste Ceftizoxime sodium
3674
Määrittelemätön yhteensopimattomuus yhteensopimaton
Injektioneste Erythromycin lactobionate
Injektioneste Ceftobiprole medocaril sodium
3674
Määrittelemätön yhteensopimattomuus yhteensopimaton
Injektioneste Erythromycin lactobionate
Injektioneste Ceftolozane / tazobactam
3674
Määrittelemätön yhteensopimattomuus yhteensopimaton
Injektioneste Erythromycin lactobionate
Injektioneste Ceftriaxone disodium
3674
Määrittelemätön yhteensopimattomuus yhteensopimaton
Injektioneste Erythromycin lactobionate
Injektioneste Cefuroxime sodium
3674
Määrittelemätön yhteensopimattomuus yhteensopimaton
Injektioneste Erythromycin lactobionate
Injektioneste Cefuzonam
3674
Määrittelemätön yhteensopimattomuus yhteensopimaton
Injektioneste Erythromycin lactobionate
Injektioneste Chloramphenicol sodium succinate
3674
Määrittelemätön yhteensopimattomuus yhteensopimaton
Injektioneste Erythromycin lactobionate
Injektioneste Chlorpromazine hydrochloride
3674
Yhteensopiva
Injektioneste Erythromycin lactobionate 5 & 50 mg/ml
Injektioneste Diltiazem hydrochloride 5 mg/ml
Natriumkloridi 0,9% 198
Määrittelemätön yhteensopimattomuus yhteensopimaton
Injektioneste Erythromycin lactobionate
Injektioneste Doripenem
3674
Yhteensopiva
Injektioneste Erythromycin lactobionate 10 mg/ml
Parenteraalisesti (rasva-free) 939
Yhteensopiva
Injektioneste Erythromycin lactobionate 5 mg/ml
Injektioneste Cimetidine hydrochloride 3 mg/ml
Natriumkloridi 0,9% 1201
Välittömät sateet yhteensopimaton
Injektioneste Erythromycin lactobionate 50 mg/ml
Injektioneste Cloxacillin sodium 100 mg/ml
Injektionesteisiin käytettävä vesi 3012
Määrittelemätön yhteensopimattomuus yhteensopimaton
Injektioneste Erythromycin lactobionate
Injektioneste Cloxacillin sodium
3674
Määrittelemätön yhteensopimattomuus yhteensopimaton
Injektioneste Erythromycin lactobionate
Injektioneste Colistin mesilate sodium
3674
Yhteensopiva
Injektioneste Erythromycin lactobionate 5 mg/ml
Injektioneste Dexmedetomidine 4 µg/ml
Natriumkloridi 0,9% 1712
Yhteensopiva
Injektioneste Erythromycin lactobionate 5 mg/ml
Injektioneste Doxapram hydrochloride 2 mg/ml
Glukoosi 5% 1802
Määrittelemätön yhteensopimattomuus yhteensopimaton
Injektioneste Erythromycin lactobionate
Injektioneste Doxycycline hyclate
3674
Yhteensopiva
Injektioneste Erythromycin lactobionate 5 mg/ml
Injektioneste Enalaprilate 0.05 mg/ml
Natriumkloridi 0,9% 1315
Määrittelemätön yhteensopimattomuus yhteensopimaton
Injektioneste Erythromycin lactobionate
Injektioneste Ertapenem
3674
Yhteensopiva
Injektioneste Erythromycin lactobionate 5 mg/ml
Injektioneste Esmolol hydrochloride 10 mg/ml
Glukoosi 5% 384
Yhteensopiva
Injektioneste Erythromycin lactobionate 2 mg/ml
Injektioneste Famotidine
Glukoosi 5% 397
Yhteensopiva
Injektioneste Erythromycin lactobionate
Glukoosi 5% 3674
Yhteensopiva
Injektioneste Erythromycin lactobionate 5 mg/ml
Injektioneste Fenoldopam mesylate 80 µg/ml
Natriumkloridi 0,9% 1803
Määrittelemätön yhteensopimattomuus yhteensopimaton
Injektioneste Erythromycin lactobionate
Injektioneste Flucloxacillin sodium
3674
Välittömät sateet yhteensopimaton
Injektioneste Erythromycin lactobionate 5 mg/ml
Injektioneste Flucloxacillin sodium 20 mg/ml
Natriumkloridi 0,9% 1232
Välittömät sateet yhteensopimaton
Injektioneste Erythromycin lactobionate 20 mg/ml
Injektioneste Fluconazole 2 mg/ml
Natriumkloridi 0,9% 496
Yhteensopiva
Injektioneste Erythromycin lactobionate 20 mg/ml
Injektioneste Foscarnet sodium 24 mg/ml
Natriumkloridi 0,9% 1135
Yhteensopiva
Injektioneste Erythromycin lactobionate 20 mg/ml
Injektioneste Foscarnet sodium 24 mg/ml
Ei mikään 73
Välittömät sateet yhteensopimaton
Injektioneste Erythromycin lactobionate 5 mg/ml
Injektioneste Furosemide 1 mg/ml
Natriumkloridi 0,9% 1232
Määrittelemätön yhteensopimattomuus yhteensopimaton
Injektioneste Erythromycin lactobionate
Injektioneste Gentamicin sulfate
3643
Määrittelemätön yhteensopimattomuus yhteensopimaton
Injektioneste Erythromycin lactobionate
Injektioneste Gentamicin sulfate
3520
Määrittelemätön yhteensopimattomuus yhteensopimaton
Injektioneste Erythromycin lactobionate
Injektioneste Gentamicin sulfate
3674
Määrittelemätön yhteensopimattomuus yhteensopimaton
Injektioneste Erythromycin lactobionate
Injektioneste Heparin sodium
3674
Yhteensopiva
Injektioneste Erythromycin lactobionate 50 mg/ml
Ringerlaktaattiliuos 4603
Yhteensopiva
Injektioneste Erythromycin lactobionate 3.3 mg/ml
Injektioneste Heparin sodium 50 UI/ml
Ei mikään 317
Yhteensopiva
Injektioneste Erythromycin lactobionate 50 mg/ml
Parenteraalisesti (rasva-free) 999
Määrittelemätön yhteensopimattomuus yhteensopimaton
Injektioneste Erythromycin lactobionate
Injektioneste Heparin sodium
3540
Yhteensopiva
Injektioneste Erythromycin lactobionate 5 mg/ml
Injektioneste Hetastarch 60 mg/ml
spesifiseen liuottimeen 1721
Yhteensopiva
Injektioneste Erythromycin lactobionate 5 mg/ml
Injektioneste Hydromorphone hydrochloride 0.2 mg/ml
Glukoosi 5% 405
Yhteensopiva
Injektioneste Erythromycin lactobionate 2 mg/ml
Injektioneste Idarubicin hydrochloride 1 mg/ml
Natriumkloridi 0,9% 491
Määrittelemätön yhteensopimattomuus yhteensopimaton
Injektioneste Erythromycin lactobionate
Injektioneste Imipenem - cilastatin sodium
3674
Määrittelemätön yhteensopimattomuus yhteensopimaton
Injektioneste Erythromycin lactobionate
Injektioneste Kanamycin sulfate
3674
Yhteensopiva
Injektioneste Erythromycin lactobionate 5 mg/ml
Injektioneste Labetalol hydrochloride 1 mg/ml
Glukoosi 5% 386
Määrittelemätön yhteensopimattomuus yhteensopimaton
Injektioneste Erythromycin lactobionate
Injektioneste Levomepromazine
3674
Kemiallinen epävakaus yhteensopimaton
Injektioneste Erythromycin lactobionate 5 mg/ml
Injektioneste Linezolid 2 mg/ml
Ei mikään 1607
Määrittelemätön yhteensopimattomuus yhteensopimaton
Injektioneste Erythromycin lactobionate
Injektioneste Linezolid
3560
Yhteensopiva
Injektioneste Erythromycin lactobionate 5 mg/ml
Injektioneste Linezolid 2 mg/ml
Ei mikään 1925
Yhteensopiva
Injektioneste Erythromycin lactobionate 5 mg/ml
Injektioneste Lorazepam 0.33 mg/ml
Natriumkloridi 0,9% 186
Yhteensopiva
Injektioneste Erythromycin lactobionate 5 mg/ml
Injektioneste Magnesium sulfate 16.67 >> 100 mg/ml
Glukoosi 5% 1047
Yhteensopiva
Injektioneste Erythromycin lactobionate 50 mg/ml
Injektioneste Meropenem 50 mg/ml
Injektionesteisiin käytettävä vesi 4319
Määrittelemätön yhteensopimattomuus yhteensopimaton
Injektioneste Erythromycin lactobionate
Injektioneste Meropenem
3674
Määrittelemätön yhteensopimattomuus yhteensopimaton
Injektioneste Erythromycin lactobionate
Injektioneste Mesna
3602
Määrittelemätön yhteensopimattomuus yhteensopimaton
Injektioneste Erythromycin lactobionate
Injektioneste Metaraminol
5046
Määrittelemätön yhteensopimattomuus yhteensopimaton
Injektioneste Erythromycin lactobionate
Injektioneste Methohexital sodium
3674
Yhteensopiva
Injektioneste Erythromycin lactobionate 5 mg/ml
Injektioneste Midazolam hydrochloride 5 mg/ml
Ei mikään 186
Määrittelemätön yhteensopimattomuus yhteensopimaton
Injektioneste Erythromycin lactobionate
Injektioneste Minocycline hydrochloride
3674
Yhteensopiva
Injektioneste Erythromycin lactobionate 5 mg/ml
Injektioneste Morphine sulfate 1 mg/ml
Glukoosi 5% 405
Määrittelemätön yhteensopimattomuus yhteensopimaton
Injektioneste Erythromycin lactobionate
Injektioneste Moxalactam
3674
Määrittelemätön yhteensopimattomuus yhteensopimaton
Injektioneste Erythromycin lactobionate
Injektioneste N-acetylcysteine 200 mg/ml
Ei mikään 3766
Määrittelemätön yhteensopimattomuus yhteensopimaton
Injektioneste Erythromycin lactobionate
Injektioneste Nafcillin sodium
3674
Yhteensopiva
Injektioneste Erythromycin lactobionate 50 mg/ml
Injektioneste Naloxone hydrochloride 0.4 mg/ml
Ei mikään 3408
Määrittelemätön yhteensopimattomuus yhteensopimaton
Injektioneste Erythromycin lactobionate
Injektioneste Netilmicin sulfate
3674
Yhteensopiva
Injektioneste Erythromycin lactobionate 5 mg/ml
Injektioneste Nicardipine hydrochloride 0.1 mg/ml
Natriumkloridi 0,9% 1490
Yhteensopiva
Injektioneste Erythromycin lactobionate 5 mg/ml
Injektioneste Nicardipine hydrochloride 0.1 mg/ml
Glukoosi 5% 1490
Määrittelemätön yhteensopimattomuus yhteensopimaton
Injektioneste Erythromycin lactobionate
Injektioneste Oxacillin sodium
3674
Määrittelemätön yhteensopimattomuus yhteensopimaton
Injektioneste Erythromycin lactobionate
Injektioneste Oxytetracycline hydrochloride
3674
Yhteensopiva
Injektioneste Erythromycin lactobionate 50 mg/ml
Injektioneste Paracetamol 10 mg/ml
4742
Määrittelemätön yhteensopimattomuus yhteensopimaton
Injektioneste Erythromycin lactobionate
Injektioneste Penicillin G potassium
3674
Määrittelemätön yhteensopimattomuus yhteensopimaton
Injektioneste Erythromycin lactobionate
Injektioneste Penicillin G sodium
3674
Määrittelemätön yhteensopimattomuus yhteensopimaton
Injektioneste Erythromycin lactobionate
Injektioneste Pentobarbital sodium
3674
Yhteensopiva
Injektioneste Erythromycin lactobionate 5 mg/ml
Injektioneste Pethidine hydrochloride 10 mg/ml
Glukoosi 5% 405
Määrittelemätön yhteensopimattomuus yhteensopimaton
Injektioneste Erythromycin lactobionate
Injektioneste Phenobarbital sodium
3674
Määrittelemätön yhteensopimattomuus yhteensopimaton
Injektioneste Erythromycin lactobionate
Injektioneste Phenytoin sodium
3674
Määrittelemätön yhteensopimattomuus yhteensopimaton
Injektioneste Erythromycin lactobionate
Injektioneste Piperacillin sodium
3674
Määrittelemätön yhteensopimattomuus yhteensopimaton
Injektioneste Erythromycin lactobionate
Injektioneste Piperacillin sodium / tazobactam
3674
Määrittelemätön yhteensopimattomuus yhteensopimaton
Injektioneste Erythromycin lactobionate
Injektioneste Plazomicin sulfate
3674
Määrittelemätön yhteensopimattomuus yhteensopimaton
Injektioneste Erythromycin lactobionate
Injektioneste Prochlorperazine edysilate
3674
Määrittelemätön yhteensopimattomuus yhteensopimaton
Injektioneste Erythromycin lactobionate
Injektioneste Promethazine hydrochloride
3674
Määrittelemätön yhteensopimattomuus yhteensopimaton
Injektioneste Erythromycin lactobionate
Injektioneste Pyridoxine hydrochloride
3674
Määrittelemätön yhteensopimattomuus yhteensopimaton
Injektioneste Erythromycin lactobionate
Injektioneste Rocuronium bromide
3564
Yhteensopiva
Injektioneste Erythromycin lactobionate 50 mg/ml
Injektioneste Salbutamol sulfate 1 mg/ml
Ei mikään 3216
Määrittelemätön yhteensopimattomuus yhteensopimaton
Injektioneste Erythromycin lactobionate
Injektioneste Streptomycin sulfate
3674
Yhteensopiva
Injektioneste Erythromycin lactobionate 20 mg/ml
Injektioneste Tacrolimus 1000 µg/ml
Natriumkloridi 0,9% 479
Määrittelemätön yhteensopimattomuus yhteensopimaton
Injektioneste Erythromycin lactobionate
Injektioneste Temocilline
3674
Yhteensopiva
Injektioneste Erythromycin lactobionate 5 mg/ml
Injektioneste Temocilline 83.33 mg/ml
Injektionesteisiin käytettävä vesi 2231
Yhteensopiva
Injektioneste Erythromycin lactobionate 3.3 mg/ml
Injektioneste Theophylline 4 mg/ml
Ei mikään 317
Välittömät sateet yhteensopimaton
Injektioneste Erythromycin lactobionate 50 mg/ml
Injektioneste Thiopental sodium 25 mg/ml
Natriumkloridi 0,9% 3767
Määrittelemätön yhteensopimattomuus yhteensopimaton
Injektioneste Erythromycin lactobionate
Injektioneste Thiopental sodium
3674
Määrittelemätön yhteensopimattomuus yhteensopimaton
Injektioneste Erythromycin lactobionate
Injektioneste Ticarcillin / clavulanic acid
3674
Määrittelemätön yhteensopimattomuus yhteensopimaton
Injektioneste Erythromycin lactobionate
Injektioneste Tigecycline
3674
Määrittelemätön yhteensopimattomuus yhteensopimaton
Injektioneste Erythromycin lactobionate
Injektioneste Tobramycin sulfate
3674
Määrittelemätön yhteensopimattomuus yhteensopimaton
Injektioneste Erythromycin lactobionate
Injektioneste Triflupromazine hydrochloride
3674
Yhteensopiva
Injektioneste Erythromycin lactobionate 5 mg/ml
Injektioneste Vancomycin hydrochloride 10 mg/ml
Glukoosi 5% 3385
Yhteensopiva
Injektioneste Erythromycin lactobionate 2 mg/ml
Injektioneste Verapamil hydrochloride 0.08 mg/ml
Natriumkloridi 0,9% 1057
Yhteensopiva
Injektioneste Erythromycin lactobionate 2 mg/ml
Injektioneste Verapamil hydrochloride 0.08 mg/ml
Glukoosi 5% 1057
Yhteensopiva
Injektioneste Erythromycin lactobionate 20 mg/ml
Injektioneste Zidovudine 4 mg/ml
Glukoosi 5% 337

  Mentions Légales