最新更新 :
27/04/2026
抗菌薬   Erythromycin lactobionate  
注射薬
溶媒内の安定性 混合時の安定性 安定性に影響する因子 互換性 投与経路 引用文献 PDF
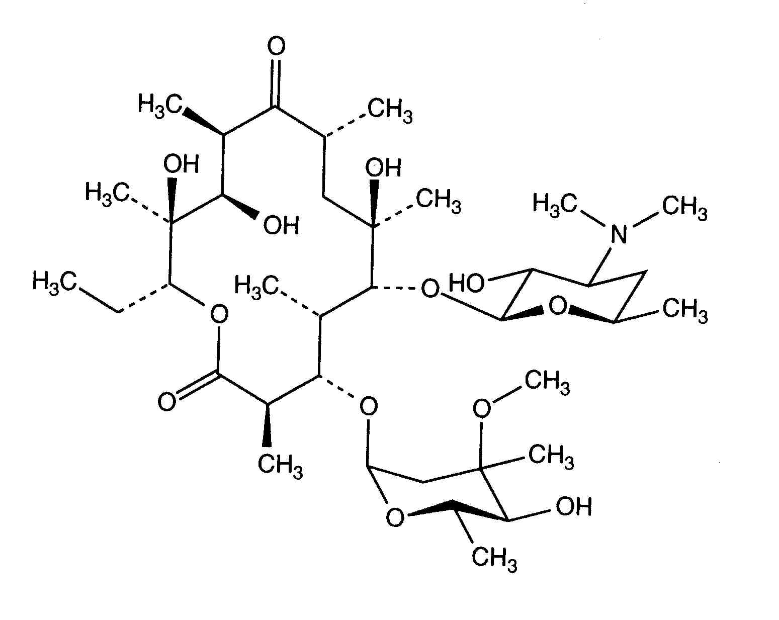
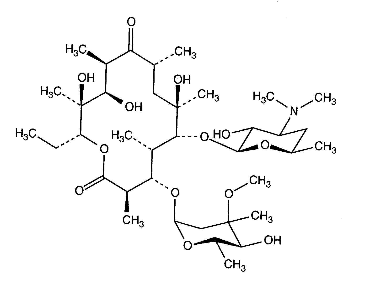
   化学構造  

商品名   商品名     

商品名、賦形剤は国、製薬会社ごとに異なることがあります

Abboticin スウェーデン, デンマーク, ノルウェー, フィンランド
Eristin アルゼンチン
Erithromicina チリ
Erycinum ドイツ
Erythrocin アイルランド, アメリカ, アーストラリア, イギリス, オーストリア, カナダ, サウジアラビア, ドイツ, ニュージーランド
Erythrocin lactobionat ADD Vantage アーストラリア, オーストリア
Erythrocine オランダ, チュニジア, フランス, ベルギー, ルクセンブルグ
Erythromycin アメリカ, イギリス, サウジアラビア, ドイツ, ハンガリー
Erythromycine ルクセンブルグ
Erythromycinum ポーランド
Pantomicina スペイン, チリ
互換性   注射薬   互換性 : Erythromycin lactobionate              
This screen indicates the compatibilities or incompatibilities with, in this case, the type of incompatibility (precipitation, color change, modification of an emulsion, etc.). The compatibilities shown here are mostly physical only, with the chemical stability of each molecule rarely being assessed. The evaluation of these mixtures was studied to consider the possibility of Y-site administration to the patient. These data cannot be used for making mixtures in advance in bags or syringes. This type of information is available in the screen "Stability in mixture ».
化合物 溶媒 引用文献
対応
注射薬 Erythromycin lactobionate 4 mg/ml
注射薬 Aciclovir sodium 5 mg/ml
グルコース5% 336
不特定の非互換性 非互換
注射薬 Erythromycin lactobionate
注射薬 Amikacin sulfate
3674
不特定の非互換性 非互換
注射薬 Erythromycin lactobionate
注射薬 Amikacin sulfate
3549
不特定の非互換性 非互換
注射薬 Erythromycin lactobionate
注射薬 Aminophylline
3674
対応
注射薬 Erythromycin lactobionate 2 mg/ml
注射薬 Amiodarone hydrochloride 4 mg/ml
NaCl 0,9% 385
対応
注射薬 Erythromycin lactobionate 2 mg/ml
注射薬 Amiodarone hydrochloride 4 mg/ml
グルコース5% 385
不特定の非互換性 非互換
注射薬 Erythromycin lactobionate
注射薬 Amobarbital sodium
3674
不特定の非互換性 非互換
注射薬 Erythromycin lactobionate
注射薬 Amoxicillin sodium
3674
即時降水 非互換
注射薬 Erythromycin lactobionate 50 mg/ml
注射薬 Amoxicillin sodium / clavulanic acid 100/10 mg/ml
3824
不特定の非互換性 非互換
注射薬 Erythromycin lactobionate
注射薬 Amoxicillin sodium / clavulanic acid
3674
不特定の非互換性 非互換
注射薬 Erythromycin lactobionate
注射薬 Ampicillin sodium
3674
不特定の非互換性 非互換
注射薬 Erythromycin lactobionate
注射薬 Ampicillin sodium - sulbactam sodium
3674
対応
注射薬 Erythromycin lactobionate 5 mg/ml
注射薬 Anidulafungin 0.5 mg/ml
グルコース5% 1982
不特定の非互換性 非互換
注射薬 Erythromycin lactobionate
注射薬 Ascorbic acid
5089
不特定の非互換性 非互換
注射薬 Erythromycin lactobionate
注射薬 Ascorbic acid
3674
不特定の非互換性 非互換
注射薬 Erythromycin lactobionate
注射薬 Aztreonam
3674
対応
注射薬 Erythromycin lactobionate 5 mg/ml
注射薬 Bivalirudin 5 mg/ml
グルコース5% 1713
対応
注射薬 Erythromycin lactobionate
NaCl 0,9% 3674
即時降水 非互換
注射薬 Erythromycin lactobionate 50 mg/ml
注射薬 Caffeine 10 mg/ml
なし 3964
不特定の非互換性 非互換
注射薬 Erythromycin lactobionate
注射薬 Cefalotin sodium
3674
不特定の非互換性 非互換
注射薬 Erythromycin lactobionate
注射薬 Cefamandole nafate
3674
不特定の非互換性 非互換
注射薬 Erythromycin lactobionate
注射薬 Cefazolin sodium
3674
1時間で濁り 非互換
注射薬 Erythromycin lactobionate 20 mg/ml
注射薬 Cefazolin sodium 220 mg/ml
805
不特定の非互換性 非互換
注射薬 Erythromycin lactobionate
注射薬 Cefepime dihydrochloride
3674
化学的不安定性 非互換
注射薬 Erythromycin lactobionate 5 mg/ml
注射薬 Cefepime dihydrochloride 125 mg/ml
注射用水 2141
不特定の非互換性 非互換
注射薬 Erythromycin lactobionate
注射薬 Cefmenoxime
3674
不特定の非互換性 非互換
注射薬 Erythromycin lactobionate
注射薬 Cefmetazole sodium
3674
即時降水 非互換
注射薬 Erythromycin lactobionate 10 & 50 mg/ml
注射薬 Cefmetazole sodium 100 mg/ml
注射用水 93
不特定の非互換性 非互換
注射薬 Erythromycin lactobionate
注射薬 Cefonicid sodium
3674
不特定の非互換性 非互換
注射薬 Erythromycin lactobionate
注射薬 Cefoperazone sodium
3674
不特定の非互換性 非互換
注射薬 Erythromycin lactobionate
注射薬 Ceforanide
3674
不特定の非互換性 非互換
注射薬 Erythromycin lactobionate
注射薬 Cefotaxime sodium
3674
不特定の非互換性 非互換
注射薬 Erythromycin lactobionate
注射薬 Cefoxitin sodium
3674
不特定の非互換性 非互換
注射薬 Erythromycin lactobionate
注射薬 Cefpirome sulfate
3674
不特定の非互換性 非互換
注射薬 Erythromycin lactobionate
注射薬 Ceftaroline fosamil
3674
即時降水 非互換
注射薬 Erythromycin lactobionate 5 mg/ml
注射薬 Ceftazidime 125 mg/ml
注射用水 2141
不特定の非互換性 非互換
注射薬 Erythromycin lactobionate
注射薬 Ceftazidime
3674
即時降水 非互換
注射薬 Erythromycin lactobionate 10 & 50 mg/ml
注射薬 Ceftazidime 83.3 mg/ml
1759
不特定の非互換性 非互換
注射薬 Erythromycin lactobionate
注射薬 Ceftazidime Avibactam
3674
不特定の非互換性 非互換
注射薬 Erythromycin lactobionate
注射薬 Ceftizoxime sodium
3674
不特定の非互換性 非互換
注射薬 Erythromycin lactobionate
注射薬 Ceftobiprole medocaril sodium
3674
不特定の非互換性 非互換
注射薬 Erythromycin lactobionate
注射薬 Ceftolozane / tazobactam
3674
不特定の非互換性 非互換
注射薬 Erythromycin lactobionate
注射薬 Ceftriaxone disodium
3674
不特定の非互換性 非互換
注射薬 Erythromycin lactobionate
注射薬 Cefuroxime sodium
3674
不特定の非互換性 非互換
注射薬 Erythromycin lactobionate
注射薬 Cefuzonam
3674
不特定の非互換性 非互換
注射薬 Erythromycin lactobionate
注射薬 Chloramphenicol sodium succinate
3674
不特定の非互換性 非互換
注射薬 Erythromycin lactobionate
注射薬 Chlorpromazine hydrochloride
3674
対応
注射薬 Erythromycin lactobionate 5 & 50 mg/ml
注射薬 Diltiazem hydrochloride 5 mg/ml
NaCl 0,9% 198
不特定の非互換性 非互換
注射薬 Erythromycin lactobionate
注射薬 Doripenem
3674
対応
注射薬 Erythromycin lactobionate 10 mg/ml
非経口的栄養(二元混合物) 939
対応
注射薬 Erythromycin lactobionate 5 mg/ml
注射薬 Cimetidine hydrochloride 3 mg/ml
NaCl 0,9% 1201
即時降水 非互換
注射薬 Erythromycin lactobionate 50 mg/ml
注射薬 Cloxacillin sodium 100 mg/ml
注射用水 3012
不特定の非互換性 非互換
注射薬 Erythromycin lactobionate
注射薬 Cloxacillin sodium
3674
不特定の非互換性 非互換
注射薬 Erythromycin lactobionate
注射薬 Colistin mesilate sodium
3674
対応
注射薬 Erythromycin lactobionate 5 mg/ml
注射薬 Dexmedetomidine 4 µg/ml
NaCl 0,9% 1712
対応
注射薬 Erythromycin lactobionate 5 mg/ml
注射薬 Doxapram hydrochloride 2 mg/ml
グルコース5% 1802
不特定の非互換性 非互換
注射薬 Erythromycin lactobionate
注射薬 Doxycycline hyclate
3674
対応
注射薬 Erythromycin lactobionate 5 mg/ml
注射薬 Enalaprilate 0.05 mg/ml
NaCl 0,9% 1315
不特定の非互換性 非互換
注射薬 Erythromycin lactobionate
注射薬 Ertapenem
3674
対応
注射薬 Erythromycin lactobionate 5 mg/ml
注射薬 Esmolol hydrochloride 10 mg/ml
グルコース5% 384
対応
注射薬 Erythromycin lactobionate 2 mg/ml
注射薬 Famotidine
グルコース5% 397
対応
注射薬 Erythromycin lactobionate
グルコース5% 3674
対応
注射薬 Erythromycin lactobionate 5 mg/ml
注射薬 Fenoldopam mesylate 80 µg/ml
NaCl 0,9% 1803
不特定の非互換性 非互換
注射薬 Erythromycin lactobionate
注射薬 Flucloxacillin sodium
3674
即時降水 非互換
注射薬 Erythromycin lactobionate 5 mg/ml
注射薬 Flucloxacillin sodium 20 mg/ml
NaCl 0,9% 1232
即時降水 非互換
注射薬 Erythromycin lactobionate 20 mg/ml
注射薬 Fluconazole 2 mg/ml
NaCl 0,9% 496
対応
注射薬 Erythromycin lactobionate 20 mg/ml
注射薬 Foscarnet sodium 24 mg/ml
NaCl 0,9% 1135
対応
注射薬 Erythromycin lactobionate 20 mg/ml
注射薬 Foscarnet sodium 24 mg/ml
なし 73
即時降水 非互換
注射薬 Erythromycin lactobionate 5 mg/ml
注射薬 Furosemide 1 mg/ml
NaCl 0,9% 1232
不特定の非互換性 非互換
注射薬 Erythromycin lactobionate
注射薬 Gentamicin sulfate
3643
不特定の非互換性 非互換
注射薬 Erythromycin lactobionate
注射薬 Gentamicin sulfate
3520
不特定の非互換性 非互換
注射薬 Erythromycin lactobionate
注射薬 Gentamicin sulfate
3674
不特定の非互換性 非互換
注射薬 Erythromycin lactobionate
注射薬 Heparin sodium
3674
対応
注射薬 Erythromycin lactobionate 50 mg/ml
乳酸リンゲル 4603
対応
注射薬 Erythromycin lactobionate 3.3 mg/ml
注射薬 Heparin sodium 50 UI/ml
なし 317
対応
注射薬 Erythromycin lactobionate 50 mg/ml
非経口的栄養(二元混合物) 999
不特定の非互換性 非互換
注射薬 Erythromycin lactobionate
注射薬 Heparin sodium
3540
対応
注射薬 Erythromycin lactobionate 5 mg/ml
注射薬 Hetastarch 60 mg/ml
特定の溶媒 1721
対応
注射薬 Erythromycin lactobionate 5 mg/ml
注射薬 Hydromorphone hydrochloride 0.2 mg/ml
グルコース5% 405
対応
注射薬 Erythromycin lactobionate 2 mg/ml
注射薬 Idarubicin hydrochloride 1 mg/ml
NaCl 0,9% 491
不特定の非互換性 非互換
注射薬 Erythromycin lactobionate
注射薬 Imipenem - cilastatin sodium
3674
不特定の非互換性 非互換
注射薬 Erythromycin lactobionate
注射薬 Kanamycin sulfate
3674
対応
注射薬 Erythromycin lactobionate 5 mg/ml
注射薬 Labetalol hydrochloride 1 mg/ml
グルコース5% 386
不特定の非互換性 非互換
注射薬 Erythromycin lactobionate
注射薬 Levomepromazine
3674
化学的不安定性 非互換
注射薬 Erythromycin lactobionate 5 mg/ml
注射薬 Linezolid 2 mg/ml
なし 1607
不特定の非互換性 非互換
注射薬 Erythromycin lactobionate
注射薬 Linezolid
3560
対応
注射薬 Erythromycin lactobionate 5 mg/ml
注射薬 Linezolid 2 mg/ml
なし 1925
対応
注射薬 Erythromycin lactobionate 5 mg/ml
注射薬 Lorazepam 0.33 mg/ml
NaCl 0,9% 186
対応
注射薬 Erythromycin lactobionate 5 mg/ml
注射薬 Magnesium sulfate 16.67 >> 100 mg/ml
グルコース5% 1047
対応
注射薬 Erythromycin lactobionate 50 mg/ml
注射薬 Meropenem 50 mg/ml
注射用水 4319
不特定の非互換性 非互換
注射薬 Erythromycin lactobionate
注射薬 Meropenem
3674
不特定の非互換性 非互換
注射薬 Erythromycin lactobionate
注射薬 Mesna
3602
不特定の非互換性 非互換
注射薬 Erythromycin lactobionate
注射薬 Metaraminol
5046
不特定の非互換性 非互換
注射薬 Erythromycin lactobionate
注射薬 Methohexital sodium
3674
対応
注射薬 Erythromycin lactobionate 5 mg/ml
注射薬 Midazolam hydrochloride 5 mg/ml
なし 186
不特定の非互換性 非互換
注射薬 Erythromycin lactobionate
注射薬 Minocycline hydrochloride
3674
対応
注射薬 Erythromycin lactobionate 5 mg/ml
注射薬 Morphine sulfate 1 mg/ml
グルコース5% 405
不特定の非互換性 非互換
注射薬 Erythromycin lactobionate
注射薬 Moxalactam
3674
不特定の非互換性 非互換
注射薬 Erythromycin lactobionate
注射薬 N-acetylcysteine 200 mg/ml
なし 3766
不特定の非互換性 非互換
注射薬 Erythromycin lactobionate
注射薬 Nafcillin sodium
3674
対応
注射薬 Erythromycin lactobionate 50 mg/ml
注射薬 Naloxone hydrochloride 0.4 mg/ml
なし 3408
不特定の非互換性 非互換
注射薬 Erythromycin lactobionate
注射薬 Netilmicin sulfate
3674
対応
注射薬 Erythromycin lactobionate 5 mg/ml
注射薬 Nicardipine hydrochloride 0.1 mg/ml
NaCl 0,9% 1490
対応
注射薬 Erythromycin lactobionate 5 mg/ml
注射薬 Nicardipine hydrochloride 0.1 mg/ml
グルコース5% 1490
不特定の非互換性 非互換
注射薬 Erythromycin lactobionate
注射薬 Oxacillin sodium
3674
不特定の非互換性 非互換
注射薬 Erythromycin lactobionate
注射薬 Oxytetracycline hydrochloride
3674
対応
注射薬 Erythromycin lactobionate 50 mg/ml
注射薬 Paracetamol 10 mg/ml
4742
不特定の非互換性 非互換
注射薬 Erythromycin lactobionate
注射薬 Penicillin G potassium
3674
不特定の非互換性 非互換
注射薬 Erythromycin lactobionate
注射薬 Penicillin G sodium
3674
不特定の非互換性 非互換
注射薬 Erythromycin lactobionate
注射薬 Pentobarbital sodium
3674
対応
注射薬 Erythromycin lactobionate 5 mg/ml
注射薬 Pethidine hydrochloride 10 mg/ml
グルコース5% 405
不特定の非互換性 非互換
注射薬 Erythromycin lactobionate
注射薬 Phenobarbital sodium
3674
不特定の非互換性 非互換
注射薬 Erythromycin lactobionate
注射薬 Phenytoin sodium
3674
不特定の非互換性 非互換
注射薬 Erythromycin lactobionate
注射薬 Piperacillin sodium
3674
不特定の非互換性 非互換
注射薬 Erythromycin lactobionate
注射薬 Piperacillin sodium / tazobactam
3674
不特定の非互換性 非互換
注射薬 Erythromycin lactobionate
注射薬 Plazomicin sulfate
3674
不特定の非互換性 非互換
注射薬 Erythromycin lactobionate
注射薬 Prochlorperazine edysilate
3674
不特定の非互換性 非互換
注射薬 Erythromycin lactobionate
注射薬 Promethazine hydrochloride
3674
不特定の非互換性 非互換
注射薬 Erythromycin lactobionate
注射薬 Pyridoxine hydrochloride
3674
不特定の非互換性 非互換
注射薬 Erythromycin lactobionate
注射薬 Rocuronium bromide
3564
対応
注射薬 Erythromycin lactobionate 50 mg/ml
注射薬 Salbutamol sulfate 1 mg/ml
なし 3216
不特定の非互換性 非互換
注射薬 Erythromycin lactobionate
注射薬 Streptomycin sulfate
3674
対応
注射薬 Erythromycin lactobionate 20 mg/ml
注射薬 Tacrolimus 1000 µg/ml
NaCl 0,9% 479
不特定の非互換性 非互換
注射薬 Erythromycin lactobionate
注射薬 Temocilline
3674
対応
注射薬 Erythromycin lactobionate 5 mg/ml
注射薬 Temocilline 83.33 mg/ml
注射用水 2231
対応
注射薬 Erythromycin lactobionate 3.3 mg/ml
注射薬 Theophylline 4 mg/ml
なし 317
即時降水 非互換
注射薬 Erythromycin lactobionate 50 mg/ml
注射薬 Thiopental sodium 25 mg/ml
NaCl 0,9% 3767
不特定の非互換性 非互換
注射薬 Erythromycin lactobionate
注射薬 Thiopental sodium
3674
不特定の非互換性 非互換
注射薬 Erythromycin lactobionate
注射薬 Ticarcillin / clavulanic acid
3674
不特定の非互換性 非互換
注射薬 Erythromycin lactobionate
注射薬 Tigecycline
3674
不特定の非互換性 非互換
注射薬 Erythromycin lactobionate
注射薬 Tobramycin sulfate
3674
不特定の非互換性 非互換
注射薬 Erythromycin lactobionate
注射薬 Triflupromazine hydrochloride
3674
対応
注射薬 Erythromycin lactobionate 5 mg/ml
注射薬 Vancomycin hydrochloride 10 mg/ml
グルコース5% 3385
対応
注射薬 Erythromycin lactobionate 2 mg/ml
注射薬 Verapamil hydrochloride 0.08 mg/ml
NaCl 0,9% 1057
対応
注射薬 Erythromycin lactobionate 2 mg/ml
注射薬 Verapamil hydrochloride 0.08 mg/ml
グルコース5% 1057
対応
注射薬 Erythromycin lactobionate 20 mg/ml
注射薬 Zidovudine 4 mg/ml
グルコース5% 337

  Mentions Légales