Senaste uppdateringen :
27/04/2026
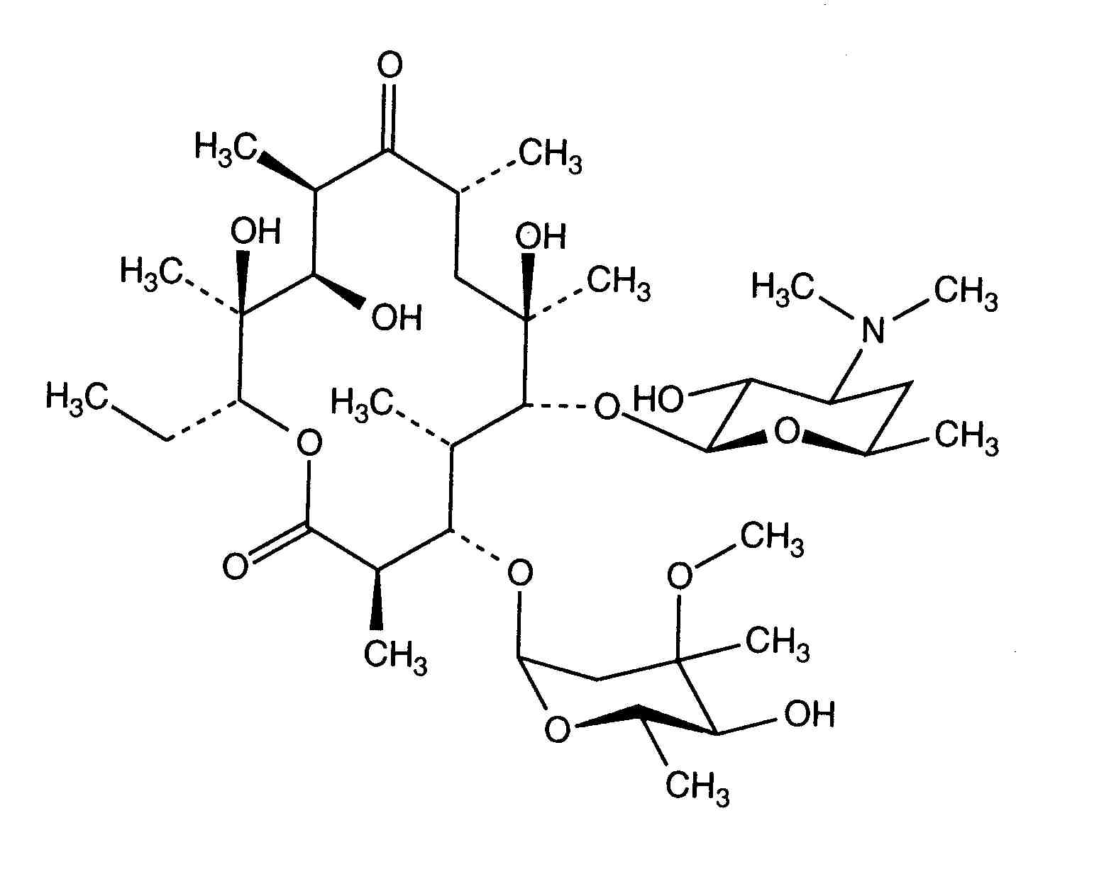
Antibiotikum   Erythromycin lactobionate  
injektion
Lösningars stabilitet Stabilitet i blandningar Faktorer som påverkar stabiliteten Kompatibilitet Administreringssätt Hänvisningar pdf
   Molekylstruktur  

Varunamn   Varunamn     

Angivna handelsnamn på läkemedel är enbart vägledande då formulering inklusive hjälpämnen kan variera mellan länder och tillverkare

Abboticin Danmark, Finland, Norge, Sverige
Eristin Argentina
Erithromicina Chile
Erycinum Tyskland
Erythrocin Australien, Förenta Staterna, Irland, Kanada, nya Zeeland, Österrike, Saudi-Arabien, Storbritannien, Tyskland
Erythrocin lactobionat ADD Vantage Australien, Österrike
Erythrocine Belgien, Frankrike, Luxemburg, Nederländerna, Tunisien
Erythromycin Förenta Staterna, Saudi-Arabien, Storbritannien, Tyskland, Ungern
Erythromycine Luxemburg
Erythromycinum Polen
Pantomicina Chile, Spanien
Kompatibilitet   injektion   Kompatibilitet : Erythromycin lactobionate              
Den här skärmen visar kompatibiliteten eller inkompatibiliteten med, i detta fall, typen av inkompatibilitet (utfällning, färgförändring, modifiering av en emulsion, etc.). De kompatibiliteter som visas här är oftast endast fysiska, varvid den kemiska stabiliteten för varje molekyl sällan utvärderas. Utvärderingen av dessa blandningar studerades för att överväga möjligheten för Y-platsadministrering till patienten. Dessa data kan inte användas för att göra blandningar i förväg i påsar eller sprutor. Denna typ av information finns på skärmen "Stabilitet i blandning".
Substans Lösningsmedel Hänvisningar
Kompatibel
injektion Erythromycin lactobionate 4 mg/ml
injektion Aciclovir sodium 5 mg/ml
Glukos 5 % 336
Ospecificerad inkompatibilitet Oförenlig
injektion Erythromycin lactobionate
injektion Amikacin sulfate
3674
Ospecificerad inkompatibilitet Oförenlig
injektion Erythromycin lactobionate
injektion Amikacin sulfate
3549
Ospecificerad inkompatibilitet Oförenlig
injektion Erythromycin lactobionate
injektion Aminophylline
3674
Kompatibel
injektion Erythromycin lactobionate 2 mg/ml
injektion Amiodarone hydrochloride 4 mg/ml
Natriumklorid 0,9 % 385
Kompatibel
injektion Erythromycin lactobionate 2 mg/ml
injektion Amiodarone hydrochloride 4 mg/ml
Glukos 5 % 385
Ospecificerad inkompatibilitet Oförenlig
injektion Erythromycin lactobionate
injektion Amobarbital sodium
3674
Ospecificerad inkompatibilitet Oförenlig
injektion Erythromycin lactobionate
injektion Amoxicillin sodium
3674
Omedelbar nederbörd Oförenlig
injektion Erythromycin lactobionate 50 mg/ml
injektion Amoxicillin sodium / clavulanic acid 100/10 mg/ml
3824
Ospecificerad inkompatibilitet Oförenlig
injektion Erythromycin lactobionate
injektion Amoxicillin sodium / clavulanic acid
3674
Ospecificerad inkompatibilitet Oförenlig
injektion Erythromycin lactobionate
injektion Ampicillin sodium
3674
Ospecificerad inkompatibilitet Oförenlig
injektion Erythromycin lactobionate
injektion Ampicillin sodium - sulbactam sodium
3674
Kompatibel
injektion Erythromycin lactobionate 5 mg/ml
injektion Anidulafungin 0.5 mg/ml
Glukos 5 % 1982
Ospecificerad inkompatibilitet Oförenlig
injektion Erythromycin lactobionate
injektion Ascorbic acid
5089
Ospecificerad inkompatibilitet Oförenlig
injektion Erythromycin lactobionate
injektion Ascorbic acid
3674
Ospecificerad inkompatibilitet Oförenlig
injektion Erythromycin lactobionate
injektion Aztreonam
3674
Kompatibel
injektion Erythromycin lactobionate 5 mg/ml
injektion Bivalirudin 5 mg/ml
Glukos 5 % 1713
Kompatibel
injektion Erythromycin lactobionate
Natriumklorid 0,9 % 3674
Omedelbar nederbörd Oförenlig
injektion Erythromycin lactobionate 50 mg/ml
injektion Caffeine 10 mg/ml
Ingen 3964
Ospecificerad inkompatibilitet Oförenlig
injektion Erythromycin lactobionate
injektion Cefalotin sodium
3674
Ospecificerad inkompatibilitet Oförenlig
injektion Erythromycin lactobionate
injektion Cefamandole nafate
3674
Ospecificerad inkompatibilitet Oförenlig
injektion Erythromycin lactobionate
injektion Cefazolin sodium
3674
Grumlighet på en timme Oförenlig
injektion Erythromycin lactobionate 20 mg/ml
injektion Cefazolin sodium 220 mg/ml
805
Ospecificerad inkompatibilitet Oförenlig
injektion Erythromycin lactobionate
injektion Cefepime dihydrochloride
3674
Kemisk instabilitet Oförenlig
injektion Erythromycin lactobionate 5 mg/ml
injektion Cefepime dihydrochloride 125 mg/ml
Vatten för injektion 2141
Ospecificerad inkompatibilitet Oförenlig
injektion Erythromycin lactobionate
injektion Cefmenoxime
3674
Ospecificerad inkompatibilitet Oförenlig
injektion Erythromycin lactobionate
injektion Cefmetazole sodium
3674
Omedelbar nederbörd Oförenlig
injektion Erythromycin lactobionate 10 & 50 mg/ml
injektion Cefmetazole sodium 100 mg/ml
Vatten för injektion 93
Ospecificerad inkompatibilitet Oförenlig
injektion Erythromycin lactobionate
injektion Cefonicid sodium
3674
Ospecificerad inkompatibilitet Oförenlig
injektion Erythromycin lactobionate
injektion Cefoperazone sodium
3674
Ospecificerad inkompatibilitet Oförenlig
injektion Erythromycin lactobionate
injektion Ceforanide
3674
Ospecificerad inkompatibilitet Oförenlig
injektion Erythromycin lactobionate
injektion Cefotaxime sodium
3674
Ospecificerad inkompatibilitet Oförenlig
injektion Erythromycin lactobionate
injektion Cefoxitin sodium
3674
Ospecificerad inkompatibilitet Oförenlig
injektion Erythromycin lactobionate
injektion Cefpirome sulfate
3674
Ospecificerad inkompatibilitet Oförenlig
injektion Erythromycin lactobionate
injektion Ceftaroline fosamil
3674
Omedelbar nederbörd Oförenlig
injektion Erythromycin lactobionate 5 mg/ml
injektion Ceftazidime 125 mg/ml
Vatten för injektion 2141
Ospecificerad inkompatibilitet Oförenlig
injektion Erythromycin lactobionate
injektion Ceftazidime
3674
Omedelbar nederbörd Oförenlig
injektion Erythromycin lactobionate 10 & 50 mg/ml
injektion Ceftazidime 83.3 mg/ml
1759
Ospecificerad inkompatibilitet Oförenlig
injektion Erythromycin lactobionate
injektion Ceftazidime Avibactam
3674
Ospecificerad inkompatibilitet Oförenlig
injektion Erythromycin lactobionate
injektion Ceftizoxime sodium
3674
Ospecificerad inkompatibilitet Oförenlig
injektion Erythromycin lactobionate
injektion Ceftobiprole medocaril sodium
3674
Ospecificerad inkompatibilitet Oförenlig
injektion Erythromycin lactobionate
injektion Ceftolozane / tazobactam
3674
Ospecificerad inkompatibilitet Oförenlig
injektion Erythromycin lactobionate
injektion Ceftriaxone disodium
3674
Ospecificerad inkompatibilitet Oförenlig
injektion Erythromycin lactobionate
injektion Cefuroxime sodium
3674
Ospecificerad inkompatibilitet Oförenlig
injektion Erythromycin lactobionate
injektion Cefuzonam
3674
Ospecificerad inkompatibilitet Oförenlig
injektion Erythromycin lactobionate
injektion Chloramphenicol sodium succinate
3674
Ospecificerad inkompatibilitet Oförenlig
injektion Erythromycin lactobionate
injektion Chlorpromazine hydrochloride
3674
Kompatibel
injektion Erythromycin lactobionate 5 & 50 mg/ml
injektion Diltiazem hydrochloride 5 mg/ml
Natriumklorid 0,9 % 198
Ospecificerad inkompatibilitet Oförenlig
injektion Erythromycin lactobionate
injektion Doripenem
3674
Kompatibel
injektion Erythromycin lactobionate 10 mg/ml
Parenteral nutrition (binär blandning) 939
Kompatibel
injektion Erythromycin lactobionate 5 mg/ml
injektion Cimetidine hydrochloride 3 mg/ml
Natriumklorid 0,9 % 1201
Omedelbar nederbörd Oförenlig
injektion Erythromycin lactobionate 50 mg/ml
injektion Cloxacillin sodium 100 mg/ml
Vatten för injektion 3012
Ospecificerad inkompatibilitet Oförenlig
injektion Erythromycin lactobionate
injektion Cloxacillin sodium
3674
Ospecificerad inkompatibilitet Oförenlig
injektion Erythromycin lactobionate
injektion Colistin mesilate sodium
3674
Kompatibel
injektion Erythromycin lactobionate 5 mg/ml
injektion Dexmedetomidine 4 µg/ml
Natriumklorid 0,9 % 1712
Kompatibel
injektion Erythromycin lactobionate 5 mg/ml
injektion Doxapram hydrochloride 2 mg/ml
Glukos 5 % 1802
Ospecificerad inkompatibilitet Oförenlig
injektion Erythromycin lactobionate
injektion Doxycycline hyclate
3674
Kompatibel
injektion Erythromycin lactobionate 5 mg/ml
injektion Enalaprilate 0.05 mg/ml
Natriumklorid 0,9 % 1315
Ospecificerad inkompatibilitet Oförenlig
injektion Erythromycin lactobionate
injektion Ertapenem
3674
Kompatibel
injektion Erythromycin lactobionate 5 mg/ml
injektion Esmolol hydrochloride 10 mg/ml
Glukos 5 % 384
Kompatibel
injektion Erythromycin lactobionate 2 mg/ml
injektion Famotidine
Glukos 5 % 397
Kompatibel
injektion Erythromycin lactobionate
Glukos 5 % 3674
Kompatibel
injektion Erythromycin lactobionate 5 mg/ml
injektion Fenoldopam mesylate 80 µg/ml
Natriumklorid 0,9 % 1803
Ospecificerad inkompatibilitet Oförenlig
injektion Erythromycin lactobionate
injektion Flucloxacillin sodium
3674
Omedelbar nederbörd Oförenlig
injektion Erythromycin lactobionate 5 mg/ml
injektion Flucloxacillin sodium 20 mg/ml
Natriumklorid 0,9 % 1232
Omedelbar nederbörd Oförenlig
injektion Erythromycin lactobionate 20 mg/ml
injektion Fluconazole 2 mg/ml
Natriumklorid 0,9 % 496
Kompatibel
injektion Erythromycin lactobionate 20 mg/ml
injektion Foscarnet sodium 24 mg/ml
Natriumklorid 0,9 % 1135
Kompatibel
injektion Erythromycin lactobionate 20 mg/ml
injektion Foscarnet sodium 24 mg/ml
Ingen 73
Omedelbar nederbörd Oförenlig
injektion Erythromycin lactobionate 5 mg/ml
injektion Furosemide 1 mg/ml
Natriumklorid 0,9 % 1232
Ospecificerad inkompatibilitet Oförenlig
injektion Erythromycin lactobionate
injektion Gentamicin sulfate
3643
Ospecificerad inkompatibilitet Oförenlig
injektion Erythromycin lactobionate
injektion Gentamicin sulfate
3520
Ospecificerad inkompatibilitet Oförenlig
injektion Erythromycin lactobionate
injektion Gentamicin sulfate
3674
Ospecificerad inkompatibilitet Oförenlig
injektion Erythromycin lactobionate
injektion Heparin sodium
3674
Kompatibel
injektion Erythromycin lactobionate 50 mg/ml
Ringer-laktatlösning 4603
Kompatibel
injektion Erythromycin lactobionate 3.3 mg/ml
injektion Heparin sodium 50 UI/ml
Ingen 317
Kompatibel
injektion Erythromycin lactobionate 50 mg/ml
Parenteral nutrition (binär blandning) 999
Ospecificerad inkompatibilitet Oförenlig
injektion Erythromycin lactobionate
injektion Heparin sodium
3540
Kompatibel
injektion Erythromycin lactobionate 5 mg/ml
injektion Hetastarch 60 mg/ml
specifikt lösningsmedel 1721
Kompatibel
injektion Erythromycin lactobionate 5 mg/ml
injektion Hydromorphone hydrochloride 0.2 mg/ml
Glukos 5 % 405
Kompatibel
injektion Erythromycin lactobionate 2 mg/ml
injektion Idarubicin hydrochloride 1 mg/ml
Natriumklorid 0,9 % 491
Ospecificerad inkompatibilitet Oförenlig
injektion Erythromycin lactobionate
injektion Imipenem - cilastatin sodium
3674
Ospecificerad inkompatibilitet Oförenlig
injektion Erythromycin lactobionate
injektion Kanamycin sulfate
3674
Kompatibel
injektion Erythromycin lactobionate 5 mg/ml
injektion Labetalol hydrochloride 1 mg/ml
Glukos 5 % 386
Ospecificerad inkompatibilitet Oförenlig
injektion Erythromycin lactobionate
injektion Levomepromazine
3674
Kemisk instabilitet Oförenlig
injektion Erythromycin lactobionate 5 mg/ml
injektion Linezolid 2 mg/ml
Ingen 1607
Ospecificerad inkompatibilitet Oförenlig
injektion Erythromycin lactobionate
injektion Linezolid
3560
Kompatibel
injektion Erythromycin lactobionate 5 mg/ml
injektion Linezolid 2 mg/ml
Ingen 1925
Kompatibel
injektion Erythromycin lactobionate 5 mg/ml
injektion Lorazepam 0.33 mg/ml
Natriumklorid 0,9 % 186
Kompatibel
injektion Erythromycin lactobionate 5 mg/ml
injektion Magnesium sulfate 16.67 >> 100 mg/ml
Glukos 5 % 1047
Kompatibel
injektion Erythromycin lactobionate 50 mg/ml
injektion Meropenem 50 mg/ml
Vatten för injektion 4319
Ospecificerad inkompatibilitet Oförenlig
injektion Erythromycin lactobionate
injektion Meropenem
3674
Ospecificerad inkompatibilitet Oförenlig
injektion Erythromycin lactobionate
injektion Mesna
3602
Ospecificerad inkompatibilitet Oförenlig
injektion Erythromycin lactobionate
injektion Metaraminol
5046
Ospecificerad inkompatibilitet Oförenlig
injektion Erythromycin lactobionate
injektion Methohexital sodium
3674
Kompatibel
injektion Erythromycin lactobionate 5 mg/ml
injektion Midazolam hydrochloride 5 mg/ml
Ingen 186
Ospecificerad inkompatibilitet Oförenlig
injektion Erythromycin lactobionate
injektion Minocycline hydrochloride
3674
Kompatibel
injektion Erythromycin lactobionate 5 mg/ml
injektion Morphine sulfate 1 mg/ml
Glukos 5 % 405
Ospecificerad inkompatibilitet Oförenlig
injektion Erythromycin lactobionate
injektion Moxalactam
3674
Ospecificerad inkompatibilitet Oförenlig
injektion Erythromycin lactobionate
injektion N-acetylcysteine 200 mg/ml
Ingen 3766
Ospecificerad inkompatibilitet Oförenlig
injektion Erythromycin lactobionate
injektion Nafcillin sodium
3674
Kompatibel
injektion Erythromycin lactobionate 50 mg/ml
injektion Naloxone hydrochloride 0.4 mg/ml
Ingen 3408
Ospecificerad inkompatibilitet Oförenlig
injektion Erythromycin lactobionate
injektion Netilmicin sulfate
3674
Kompatibel
injektion Erythromycin lactobionate 5 mg/ml
injektion Nicardipine hydrochloride 0.1 mg/ml
Natriumklorid 0,9 % 1490
Kompatibel
injektion Erythromycin lactobionate 5 mg/ml
injektion Nicardipine hydrochloride 0.1 mg/ml
Glukos 5 % 1490
Ospecificerad inkompatibilitet Oförenlig
injektion Erythromycin lactobionate
injektion Oxacillin sodium
3674
Ospecificerad inkompatibilitet Oförenlig
injektion Erythromycin lactobionate
injektion Oxytetracycline hydrochloride
3674
Kompatibel
injektion Erythromycin lactobionate 50 mg/ml
injektion Paracetamol 10 mg/ml
4742
Ospecificerad inkompatibilitet Oförenlig
injektion Erythromycin lactobionate
injektion Penicillin G potassium
3674
Ospecificerad inkompatibilitet Oförenlig
injektion Erythromycin lactobionate
injektion Penicillin G sodium
3674
Ospecificerad inkompatibilitet Oförenlig
injektion Erythromycin lactobionate
injektion Pentobarbital sodium
3674
Kompatibel
injektion Erythromycin lactobionate 5 mg/ml
injektion Pethidine hydrochloride 10 mg/ml
Glukos 5 % 405
Ospecificerad inkompatibilitet Oförenlig
injektion Erythromycin lactobionate
injektion Phenobarbital sodium
3674
Ospecificerad inkompatibilitet Oförenlig
injektion Erythromycin lactobionate
injektion Phenytoin sodium
3674
Ospecificerad inkompatibilitet Oförenlig
injektion Erythromycin lactobionate
injektion Piperacillin sodium
3674
Ospecificerad inkompatibilitet Oförenlig
injektion Erythromycin lactobionate
injektion Piperacillin sodium / tazobactam
3674
Ospecificerad inkompatibilitet Oförenlig
injektion Erythromycin lactobionate
injektion Plazomicin sulfate
3674
Ospecificerad inkompatibilitet Oförenlig
injektion Erythromycin lactobionate
injektion Prochlorperazine edysilate
3674
Ospecificerad inkompatibilitet Oförenlig
injektion Erythromycin lactobionate
injektion Promethazine hydrochloride
3674
Ospecificerad inkompatibilitet Oförenlig
injektion Erythromycin lactobionate
injektion Pyridoxine hydrochloride
3674
Ospecificerad inkompatibilitet Oförenlig
injektion Erythromycin lactobionate
injektion Rocuronium bromide
3564
Kompatibel
injektion Erythromycin lactobionate 50 mg/ml
injektion Salbutamol sulfate 1 mg/ml
Ingen 3216
Ospecificerad inkompatibilitet Oförenlig
injektion Erythromycin lactobionate
injektion Streptomycin sulfate
3674
Kompatibel
injektion Erythromycin lactobionate 20 mg/ml
injektion Tacrolimus 1000 µg/ml
Natriumklorid 0,9 % 479
Ospecificerad inkompatibilitet Oförenlig
injektion Erythromycin lactobionate
injektion Temocilline
3674
Kompatibel
injektion Erythromycin lactobionate 5 mg/ml
injektion Temocilline 83.33 mg/ml
Vatten för injektion 2231
Kompatibel
injektion Erythromycin lactobionate 3.3 mg/ml
injektion Theophylline 4 mg/ml
Ingen 317
Omedelbar nederbörd Oförenlig
injektion Erythromycin lactobionate 50 mg/ml
injektion Thiopental sodium 25 mg/ml
Natriumklorid 0,9 % 3767
Ospecificerad inkompatibilitet Oförenlig
injektion Erythromycin lactobionate
injektion Thiopental sodium
3674
Ospecificerad inkompatibilitet Oförenlig
injektion Erythromycin lactobionate
injektion Ticarcillin / clavulanic acid
3674
Ospecificerad inkompatibilitet Oförenlig
injektion Erythromycin lactobionate
injektion Tigecycline
3674
Ospecificerad inkompatibilitet Oförenlig
injektion Erythromycin lactobionate
injektion Tobramycin sulfate
3674
Ospecificerad inkompatibilitet Oförenlig
injektion Erythromycin lactobionate
injektion Triflupromazine hydrochloride
3674
Kompatibel
injektion Erythromycin lactobionate 5 mg/ml
injektion Vancomycin hydrochloride 10 mg/ml
Glukos 5 % 3385
Kompatibel
injektion Erythromycin lactobionate 2 mg/ml
injektion Verapamil hydrochloride 0.08 mg/ml
Natriumklorid 0,9 % 1057
Kompatibel
injektion Erythromycin lactobionate 2 mg/ml
injektion Verapamil hydrochloride 0.08 mg/ml
Glukos 5 % 1057
Kompatibel
injektion Erythromycin lactobionate 20 mg/ml
injektion Zidovudine 4 mg/ml
Glukos 5 % 337

  Mentions Légales