Poslední aktualizace :
27/04/2026
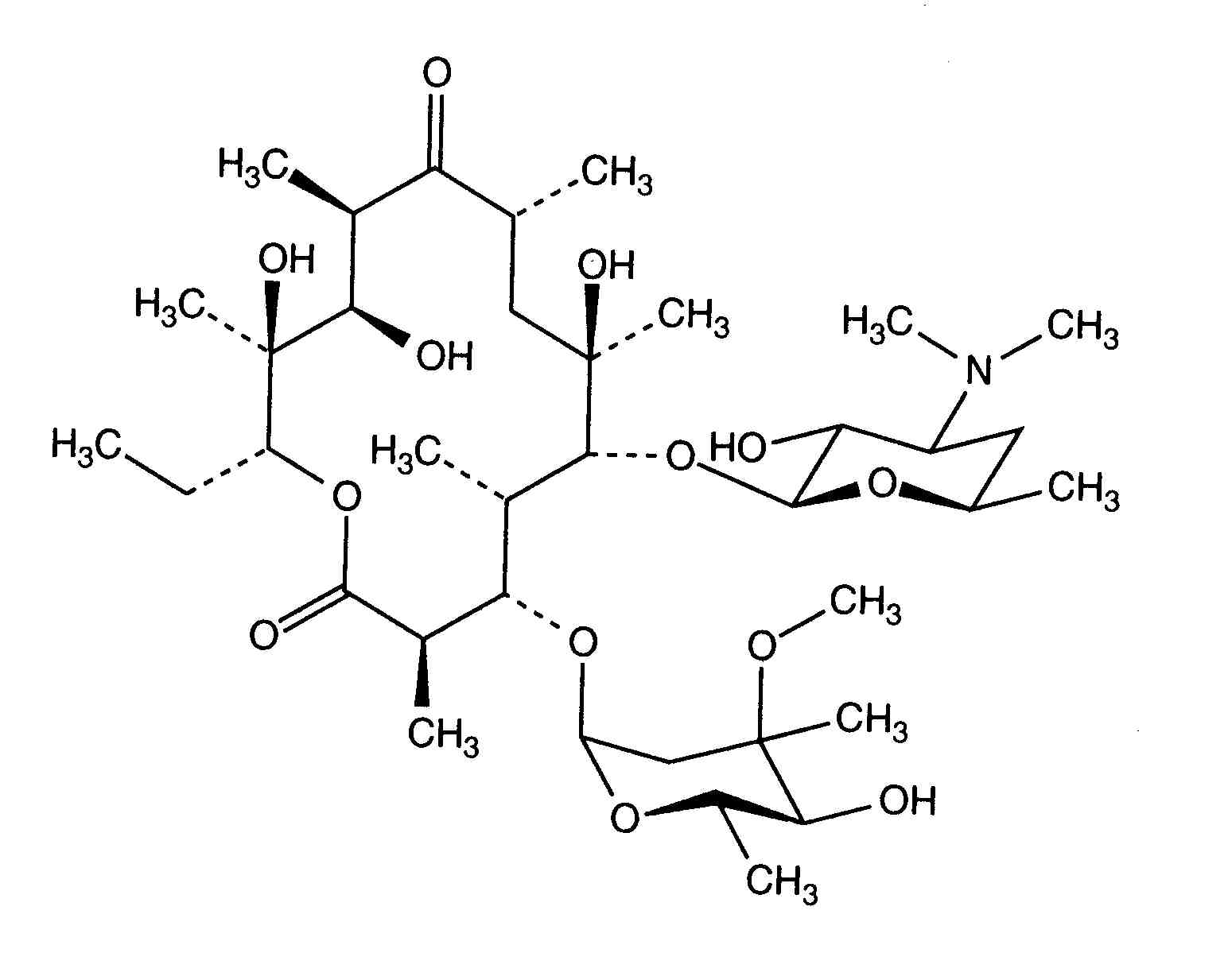
Antibiotikas   Erythromycin lactobionate  
Įpurškimas
Tirpalų stabilumas Mišinių stabilumas Stabilumą lemiantys veiksniai Suderinamumas Leidimo būdai Bibliografija pdf
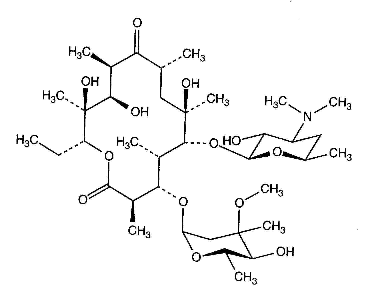
   Cheminė sandara  

Prekinis pavadinimas   Prekinis pavadinimas     

Trade names are indicative and excipients composition can be different depending on the country and manufacturers

Abboticin Danija, Norvegija, Suomija, Švedija
Eristin Argentina
Erithromicina Čilė
Erycinum Vokietija
Erythrocin Airija, Australija, Austrija, Didžioji Britanija, Jungtinės Amerikos Valstijos, Kanada, Naujojoje Zelandijoje, Saudo Arabija, Vokietija
Erythrocin lactobionat ADD Vantage Australija, Austrija
Erythrocine Belgija, Liuksemburgas, Olandija, Prancūzija, Tunisas
Erythromycin Didžioji Britanija, Jungtinės Amerikos Valstijos, Saudo Arabija, Vengrija, Vokietija
Erythromycine Liuksemburgas
Erythromycinum Lenkija
Pantomicina Čilė, Ispanija
Suderinamumas   Įpurškimas   Suderinamumas : Erythromycin lactobionate              
explication_incompatibilite_molecules
Molekulė Tirpiklis Nuorodos
Suderinamas
Įpurškimas Erythromycin lactobionate 4 mg/ml
Įpurškimas Aciclovir sodium 5 mg/ml
Gliukozė 5% 336
Nepatikslintas nesuderinamumas Nesuderinamas
Įpurškimas Erythromycin lactobionate
Įpurškimas Amikacin sulfate
3674
Nepatikslintas nesuderinamumas Nesuderinamas
Įpurškimas Erythromycin lactobionate
Įpurškimas Amikacin sulfate
3549
Nepatikslintas nesuderinamumas Nesuderinamas
Įpurškimas Erythromycin lactobionate
Įpurškimas Aminophylline
3674
Suderinamas
Įpurškimas Erythromycin lactobionate 2 mg/ml
Įpurškimas Amiodarone hydrochloride 4 mg/ml
Natrio chloridas 0,9% 385
Suderinamas
Įpurškimas Erythromycin lactobionate 2 mg/ml
Įpurškimas Amiodarone hydrochloride 4 mg/ml
Gliukozė 5% 385
Nepatikslintas nesuderinamumas Nesuderinamas
Įpurškimas Erythromycin lactobionate
Įpurškimas Amobarbital sodium
3674
Nepatikslintas nesuderinamumas Nesuderinamas
Įpurškimas Erythromycin lactobionate
Įpurškimas Amoxicillin sodium
3674
Nedelsiant krituliai Nesuderinamas
Įpurškimas Erythromycin lactobionate 50 mg/ml
Įpurškimas Amoxicillin sodium / clavulanic acid 100/10 mg/ml
3824
Nepatikslintas nesuderinamumas Nesuderinamas
Įpurškimas Erythromycin lactobionate
Įpurškimas Amoxicillin sodium / clavulanic acid
3674
Nepatikslintas nesuderinamumas Nesuderinamas
Įpurškimas Erythromycin lactobionate
Įpurškimas Ampicillin sodium
3674
Nepatikslintas nesuderinamumas Nesuderinamas
Įpurškimas Erythromycin lactobionate
Įpurškimas Ampicillin sodium - sulbactam sodium
3674
Suderinamas
Įpurškimas Erythromycin lactobionate 5 mg/ml
Įpurškimas Anidulafungin 0.5 mg/ml
Gliukozė 5% 1982
Nepatikslintas nesuderinamumas Nesuderinamas
Įpurškimas Erythromycin lactobionate
Įpurškimas Ascorbic acid
5089
Nepatikslintas nesuderinamumas Nesuderinamas
Įpurškimas Erythromycin lactobionate
Įpurškimas Ascorbic acid
3674
Nepatikslintas nesuderinamumas Nesuderinamas
Įpurškimas Erythromycin lactobionate
Įpurškimas Aztreonam
3674
Suderinamas
Įpurškimas Erythromycin lactobionate 5 mg/ml
Įpurškimas Bivalirudin 5 mg/ml
Gliukozė 5% 1713
Suderinamas
Įpurškimas Erythromycin lactobionate
Natrio chloridas 0,9% 3674
Nedelsiant krituliai Nesuderinamas
Įpurškimas Erythromycin lactobionate 50 mg/ml
Įpurškimas Caffeine 10 mg/ml
Nėra 3964
Nepatikslintas nesuderinamumas Nesuderinamas
Įpurškimas Erythromycin lactobionate
Įpurškimas Cefalotin sodium
3674
Nepatikslintas nesuderinamumas Nesuderinamas
Įpurškimas Erythromycin lactobionate
Įpurškimas Cefamandole nafate
3674
Nepatikslintas nesuderinamumas Nesuderinamas
Įpurškimas Erythromycin lactobionate
Įpurškimas Cefazolin sodium
3674
Drumstumas per valandą Nesuderinamas
Įpurškimas Erythromycin lactobionate 20 mg/ml
Įpurškimas Cefazolin sodium 220 mg/ml
805
Nepatikslintas nesuderinamumas Nesuderinamas
Įpurškimas Erythromycin lactobionate
Įpurškimas Cefepime dihydrochloride
3674
Cheminis nestabilumas Nesuderinamas
Įpurškimas Erythromycin lactobionate 5 mg/ml
Įpurškimas Cefepime dihydrochloride 125 mg/ml
Vanduo injekcijoms 2141
Nepatikslintas nesuderinamumas Nesuderinamas
Įpurškimas Erythromycin lactobionate
Įpurškimas Cefmenoxime
3674
Nepatikslintas nesuderinamumas Nesuderinamas
Įpurškimas Erythromycin lactobionate
Įpurškimas Cefmetazole sodium
3674
Nedelsiant krituliai Nesuderinamas
Įpurškimas Erythromycin lactobionate 10 & 50 mg/ml
Įpurškimas Cefmetazole sodium 100 mg/ml
Vanduo injekcijoms 93
Nepatikslintas nesuderinamumas Nesuderinamas
Įpurškimas Erythromycin lactobionate
Įpurškimas Cefonicid sodium
3674
Nepatikslintas nesuderinamumas Nesuderinamas
Įpurškimas Erythromycin lactobionate
Įpurškimas Cefoperazone sodium
3674
Nepatikslintas nesuderinamumas Nesuderinamas
Įpurškimas Erythromycin lactobionate
Įpurškimas Ceforanide
3674
Nepatikslintas nesuderinamumas Nesuderinamas
Įpurškimas Erythromycin lactobionate
Įpurškimas Cefotaxime sodium
3674
Nepatikslintas nesuderinamumas Nesuderinamas
Įpurškimas Erythromycin lactobionate
Įpurškimas Cefoxitin sodium
3674
Nepatikslintas nesuderinamumas Nesuderinamas
Įpurškimas Erythromycin lactobionate
Įpurškimas Cefpirome sulfate
3674
Nepatikslintas nesuderinamumas Nesuderinamas
Įpurškimas Erythromycin lactobionate
Įpurškimas Ceftaroline fosamil
3674
Nedelsiant krituliai Nesuderinamas
Įpurškimas Erythromycin lactobionate 5 mg/ml
Įpurškimas Ceftazidime 125 mg/ml
Vanduo injekcijoms 2141
Nepatikslintas nesuderinamumas Nesuderinamas
Įpurškimas Erythromycin lactobionate
Įpurškimas Ceftazidime
3674
Nedelsiant krituliai Nesuderinamas
Įpurškimas Erythromycin lactobionate 10 & 50 mg/ml
Įpurškimas Ceftazidime 83.3 mg/ml
1759
Nepatikslintas nesuderinamumas Nesuderinamas
Įpurškimas Erythromycin lactobionate
Įpurškimas Ceftazidime Avibactam
3674
Nepatikslintas nesuderinamumas Nesuderinamas
Įpurškimas Erythromycin lactobionate
Įpurškimas Ceftizoxime sodium
3674
Nepatikslintas nesuderinamumas Nesuderinamas
Įpurškimas Erythromycin lactobionate
Įpurškimas Ceftobiprole medocaril sodium
3674
Nepatikslintas nesuderinamumas Nesuderinamas
Įpurškimas Erythromycin lactobionate
Įpurškimas Ceftolozane / tazobactam
3674
Nepatikslintas nesuderinamumas Nesuderinamas
Įpurškimas Erythromycin lactobionate
Įpurškimas Ceftriaxone disodium
3674
Nepatikslintas nesuderinamumas Nesuderinamas
Įpurškimas Erythromycin lactobionate
Įpurškimas Cefuroxime sodium
3674
Nepatikslintas nesuderinamumas Nesuderinamas
Įpurškimas Erythromycin lactobionate
Įpurškimas Cefuzonam
3674
Nepatikslintas nesuderinamumas Nesuderinamas
Įpurškimas Erythromycin lactobionate
Įpurškimas Chloramphenicol sodium succinate
3674
Nepatikslintas nesuderinamumas Nesuderinamas
Įpurškimas Erythromycin lactobionate
Įpurškimas Chlorpromazine hydrochloride
3674
Suderinamas
Įpurškimas Erythromycin lactobionate 5 & 50 mg/ml
Įpurškimas Diltiazem hydrochloride 5 mg/ml
Natrio chloridas 0,9% 198
Nepatikslintas nesuderinamumas Nesuderinamas
Įpurškimas Erythromycin lactobionate
Įpurškimas Doripenem
3674
Suderinamas
Įpurškimas Erythromycin lactobionate 10 mg/ml
Parenterinis maitinimas (lipidų nemokamai) 939
Suderinamas
Įpurškimas Erythromycin lactobionate 5 mg/ml
Įpurškimas Cimetidine hydrochloride 3 mg/ml
Natrio chloridas 0,9% 1201
Nedelsiant krituliai Nesuderinamas
Įpurškimas Erythromycin lactobionate 50 mg/ml
Įpurškimas Cloxacillin sodium 100 mg/ml
Vanduo injekcijoms 3012
Nepatikslintas nesuderinamumas Nesuderinamas
Įpurškimas Erythromycin lactobionate
Įpurškimas Cloxacillin sodium
3674
Nepatikslintas nesuderinamumas Nesuderinamas
Įpurškimas Erythromycin lactobionate
Įpurškimas Colistin mesilate sodium
3674
Suderinamas
Įpurškimas Erythromycin lactobionate 5 mg/ml
Įpurškimas Dexmedetomidine 4 µg/ml
Natrio chloridas 0,9% 1712
Suderinamas
Įpurškimas Erythromycin lactobionate 5 mg/ml
Įpurškimas Doxapram hydrochloride 2 mg/ml
Gliukozė 5% 1802
Nepatikslintas nesuderinamumas Nesuderinamas
Įpurškimas Erythromycin lactobionate
Įpurškimas Doxycycline hyclate
3674
Suderinamas
Įpurškimas Erythromycin lactobionate 5 mg/ml
Įpurškimas Enalaprilate 0.05 mg/ml
Natrio chloridas 0,9% 1315
Nepatikslintas nesuderinamumas Nesuderinamas
Įpurškimas Erythromycin lactobionate
Įpurškimas Ertapenem
3674
Suderinamas
Įpurškimas Erythromycin lactobionate 5 mg/ml
Įpurškimas Esmolol hydrochloride 10 mg/ml
Gliukozė 5% 384
Suderinamas
Įpurškimas Erythromycin lactobionate 2 mg/ml
Įpurškimas Famotidine
Gliukozė 5% 397
Suderinamas
Įpurškimas Erythromycin lactobionate
Gliukozė 5% 3674
Suderinamas
Įpurškimas Erythromycin lactobionate 5 mg/ml
Įpurškimas Fenoldopam mesylate 80 µg/ml
Natrio chloridas 0,9% 1803
Nepatikslintas nesuderinamumas Nesuderinamas
Įpurškimas Erythromycin lactobionate
Įpurškimas Flucloxacillin sodium
3674
Nedelsiant krituliai Nesuderinamas
Įpurškimas Erythromycin lactobionate 5 mg/ml
Įpurškimas Flucloxacillin sodium 20 mg/ml
Natrio chloridas 0,9% 1232
Nedelsiant krituliai Nesuderinamas
Įpurškimas Erythromycin lactobionate 20 mg/ml
Įpurškimas Fluconazole 2 mg/ml
Natrio chloridas 0,9% 496
Suderinamas
Įpurškimas Erythromycin lactobionate 20 mg/ml
Įpurškimas Foscarnet sodium 24 mg/ml
Natrio chloridas 0,9% 1135
Suderinamas
Įpurškimas Erythromycin lactobionate 20 mg/ml
Įpurškimas Foscarnet sodium 24 mg/ml
Nėra 73
Nedelsiant krituliai Nesuderinamas
Įpurškimas Erythromycin lactobionate 5 mg/ml
Įpurškimas Furosemide 1 mg/ml
Natrio chloridas 0,9% 1232
Nepatikslintas nesuderinamumas Nesuderinamas
Įpurškimas Erythromycin lactobionate
Įpurškimas Gentamicin sulfate
3643
Nepatikslintas nesuderinamumas Nesuderinamas
Įpurškimas Erythromycin lactobionate
Įpurškimas Gentamicin sulfate
3520
Nepatikslintas nesuderinamumas Nesuderinamas
Įpurškimas Erythromycin lactobionate
Įpurškimas Gentamicin sulfate
3674
Nepatikslintas nesuderinamumas Nesuderinamas
Įpurškimas Erythromycin lactobionate
Įpurškimas Heparin sodium
3674
Suderinamas
Įpurškimas Erythromycin lactobionate 50 mg/ml
Ringerio laktato tirpalas 4603
Suderinamas
Įpurškimas Erythromycin lactobionate 3.3 mg/ml
Įpurškimas Heparin sodium 50 UI/ml
Nėra 317
Suderinamas
Įpurškimas Erythromycin lactobionate 50 mg/ml
Parenterinis maitinimas (lipidų nemokamai) 999
Nepatikslintas nesuderinamumas Nesuderinamas
Įpurškimas Erythromycin lactobionate
Įpurškimas Heparin sodium
3540
Suderinamas
Įpurškimas Erythromycin lactobionate 5 mg/ml
Įpurškimas Hetastarch 60 mg/ml
specifinis tirpiklis 1721
Suderinamas
Įpurškimas Erythromycin lactobionate 5 mg/ml
Įpurškimas Hydromorphone hydrochloride 0.2 mg/ml
Gliukozė 5% 405
Suderinamas
Įpurškimas Erythromycin lactobionate 2 mg/ml
Įpurškimas Idarubicin hydrochloride 1 mg/ml
Natrio chloridas 0,9% 491
Nepatikslintas nesuderinamumas Nesuderinamas
Įpurškimas Erythromycin lactobionate
Įpurškimas Imipenem - cilastatin sodium
3674
Nepatikslintas nesuderinamumas Nesuderinamas
Įpurškimas Erythromycin lactobionate
Įpurškimas Kanamycin sulfate
3674
Suderinamas
Įpurškimas Erythromycin lactobionate 5 mg/ml
Įpurškimas Labetalol hydrochloride 1 mg/ml
Gliukozė 5% 386
Nepatikslintas nesuderinamumas Nesuderinamas
Įpurškimas Erythromycin lactobionate
Įpurškimas Levomepromazine
3674
Cheminis nestabilumas Nesuderinamas
Įpurškimas Erythromycin lactobionate 5 mg/ml
Įpurškimas Linezolid 2 mg/ml
Nėra 1607
Nepatikslintas nesuderinamumas Nesuderinamas
Įpurškimas Erythromycin lactobionate
Įpurškimas Linezolid
3560
Suderinamas
Įpurškimas Erythromycin lactobionate 5 mg/ml
Įpurškimas Linezolid 2 mg/ml
Nėra 1925
Suderinamas
Įpurškimas Erythromycin lactobionate 5 mg/ml
Įpurškimas Lorazepam 0.33 mg/ml
Natrio chloridas 0,9% 186
Suderinamas
Įpurškimas Erythromycin lactobionate 5 mg/ml
Įpurškimas Magnesium sulfate 16.67 >> 100 mg/ml
Gliukozė 5% 1047
Suderinamas
Įpurškimas Erythromycin lactobionate 50 mg/ml
Įpurškimas Meropenem 50 mg/ml
Vanduo injekcijoms 4319
Nepatikslintas nesuderinamumas Nesuderinamas
Įpurškimas Erythromycin lactobionate
Įpurškimas Meropenem
3674
Nepatikslintas nesuderinamumas Nesuderinamas
Įpurškimas Erythromycin lactobionate
Įpurškimas Mesna
3602
Nepatikslintas nesuderinamumas Nesuderinamas
Įpurškimas Erythromycin lactobionate
Įpurškimas Metaraminol
5046
Nepatikslintas nesuderinamumas Nesuderinamas
Įpurškimas Erythromycin lactobionate
Įpurškimas Methohexital sodium
3674
Suderinamas
Įpurškimas Erythromycin lactobionate 5 mg/ml
Įpurškimas Midazolam hydrochloride 5 mg/ml
Nėra 186
Nepatikslintas nesuderinamumas Nesuderinamas
Įpurškimas Erythromycin lactobionate
Įpurškimas Minocycline hydrochloride
3674
Suderinamas
Įpurškimas Erythromycin lactobionate 5 mg/ml
Įpurškimas Morphine sulfate 1 mg/ml
Gliukozė 5% 405
Nepatikslintas nesuderinamumas Nesuderinamas
Įpurškimas Erythromycin lactobionate
Įpurškimas Moxalactam
3674
Nepatikslintas nesuderinamumas Nesuderinamas
Įpurškimas Erythromycin lactobionate
Įpurškimas N-acetylcysteine 200 mg/ml
Nėra 3766
Nepatikslintas nesuderinamumas Nesuderinamas
Įpurškimas Erythromycin lactobionate
Įpurškimas Nafcillin sodium
3674
Suderinamas
Įpurškimas Erythromycin lactobionate 50 mg/ml
Įpurškimas Naloxone hydrochloride 0.4 mg/ml
Nėra 3408
Nepatikslintas nesuderinamumas Nesuderinamas
Įpurškimas Erythromycin lactobionate
Įpurškimas Netilmicin sulfate
3674
Suderinamas
Įpurškimas Erythromycin lactobionate 5 mg/ml
Įpurškimas Nicardipine hydrochloride 0.1 mg/ml
Natrio chloridas 0,9% 1490
Suderinamas
Įpurškimas Erythromycin lactobionate 5 mg/ml
Įpurškimas Nicardipine hydrochloride 0.1 mg/ml
Gliukozė 5% 1490
Nepatikslintas nesuderinamumas Nesuderinamas
Įpurškimas Erythromycin lactobionate
Įpurškimas Oxacillin sodium
3674
Nepatikslintas nesuderinamumas Nesuderinamas
Įpurškimas Erythromycin lactobionate
Įpurškimas Oxytetracycline hydrochloride
3674
Suderinamas
Įpurškimas Erythromycin lactobionate 50 mg/ml
Įpurškimas Paracetamol 10 mg/ml
4742
Nepatikslintas nesuderinamumas Nesuderinamas
Įpurškimas Erythromycin lactobionate
Įpurškimas Penicillin G potassium
3674
Nepatikslintas nesuderinamumas Nesuderinamas
Įpurškimas Erythromycin lactobionate
Įpurškimas Penicillin G sodium
3674
Nepatikslintas nesuderinamumas Nesuderinamas
Įpurškimas Erythromycin lactobionate
Įpurškimas Pentobarbital sodium
3674
Suderinamas
Įpurškimas Erythromycin lactobionate 5 mg/ml
Įpurškimas Pethidine hydrochloride 10 mg/ml
Gliukozė 5% 405
Nepatikslintas nesuderinamumas Nesuderinamas
Įpurškimas Erythromycin lactobionate
Įpurškimas Phenobarbital sodium
3674
Nepatikslintas nesuderinamumas Nesuderinamas
Įpurškimas Erythromycin lactobionate
Įpurškimas Phenytoin sodium
3674
Nepatikslintas nesuderinamumas Nesuderinamas
Įpurškimas Erythromycin lactobionate
Įpurškimas Piperacillin sodium
3674
Nepatikslintas nesuderinamumas Nesuderinamas
Įpurškimas Erythromycin lactobionate
Įpurškimas Piperacillin sodium / tazobactam
3674
Nepatikslintas nesuderinamumas Nesuderinamas
Įpurškimas Erythromycin lactobionate
Įpurškimas Plazomicin sulfate
3674
Nepatikslintas nesuderinamumas Nesuderinamas
Įpurškimas Erythromycin lactobionate
Įpurškimas Prochlorperazine edysilate
3674
Nepatikslintas nesuderinamumas Nesuderinamas
Įpurškimas Erythromycin lactobionate
Įpurškimas Promethazine hydrochloride
3674
Nepatikslintas nesuderinamumas Nesuderinamas
Įpurškimas Erythromycin lactobionate
Įpurškimas Pyridoxine hydrochloride
3674
Nepatikslintas nesuderinamumas Nesuderinamas
Įpurškimas Erythromycin lactobionate
Įpurškimas Rocuronium bromide
3564
Suderinamas
Įpurškimas Erythromycin lactobionate 50 mg/ml
Įpurškimas Salbutamol sulfate 1 mg/ml
Nėra 3216
Nepatikslintas nesuderinamumas Nesuderinamas
Įpurškimas Erythromycin lactobionate
Įpurškimas Streptomycin sulfate
3674
Suderinamas
Įpurškimas Erythromycin lactobionate 20 mg/ml
Įpurškimas Tacrolimus 1000 µg/ml
Natrio chloridas 0,9% 479
Nepatikslintas nesuderinamumas Nesuderinamas
Įpurškimas Erythromycin lactobionate
Įpurškimas Temocilline
3674
Suderinamas
Įpurškimas Erythromycin lactobionate 5 mg/ml
Įpurškimas Temocilline 83.33 mg/ml
Vanduo injekcijoms 2231
Suderinamas
Įpurškimas Erythromycin lactobionate 3.3 mg/ml
Įpurškimas Theophylline 4 mg/ml
Nėra 317
Nedelsiant krituliai Nesuderinamas
Įpurškimas Erythromycin lactobionate 50 mg/ml
Įpurškimas Thiopental sodium 25 mg/ml
Natrio chloridas 0,9% 3767
Nepatikslintas nesuderinamumas Nesuderinamas
Įpurškimas Erythromycin lactobionate
Įpurškimas Thiopental sodium
3674
Nepatikslintas nesuderinamumas Nesuderinamas
Įpurškimas Erythromycin lactobionate
Įpurškimas Ticarcillin / clavulanic acid
3674
Nepatikslintas nesuderinamumas Nesuderinamas
Įpurškimas Erythromycin lactobionate
Įpurškimas Tigecycline
3674
Nepatikslintas nesuderinamumas Nesuderinamas
Įpurškimas Erythromycin lactobionate
Įpurškimas Tobramycin sulfate
3674
Nepatikslintas nesuderinamumas Nesuderinamas
Įpurškimas Erythromycin lactobionate
Įpurškimas Triflupromazine hydrochloride
3674
Suderinamas
Įpurškimas Erythromycin lactobionate 5 mg/ml
Įpurškimas Vancomycin hydrochloride 10 mg/ml
Gliukozė 5% 3385
Suderinamas
Įpurškimas Erythromycin lactobionate 2 mg/ml
Įpurškimas Verapamil hydrochloride 0.08 mg/ml
Natrio chloridas 0,9% 1057
Suderinamas
Įpurškimas Erythromycin lactobionate 2 mg/ml
Įpurškimas Verapamil hydrochloride 0.08 mg/ml
Gliukozė 5% 1057
Suderinamas
Įpurškimas Erythromycin lactobionate 20 mg/ml
Įpurškimas Zidovudine 4 mg/ml
Gliukozė 5% 337

  Mentions Légales