Letztes “update” :
27/04/2026
Antibiotikum   Erythromycin lactobionate  
Injektion
Stabilität der Lösung Gemengestabilität Stabilitätbeeinflussende Faktoren Kompatibilitäten Applikationsart Literaturverzeichnis pdf
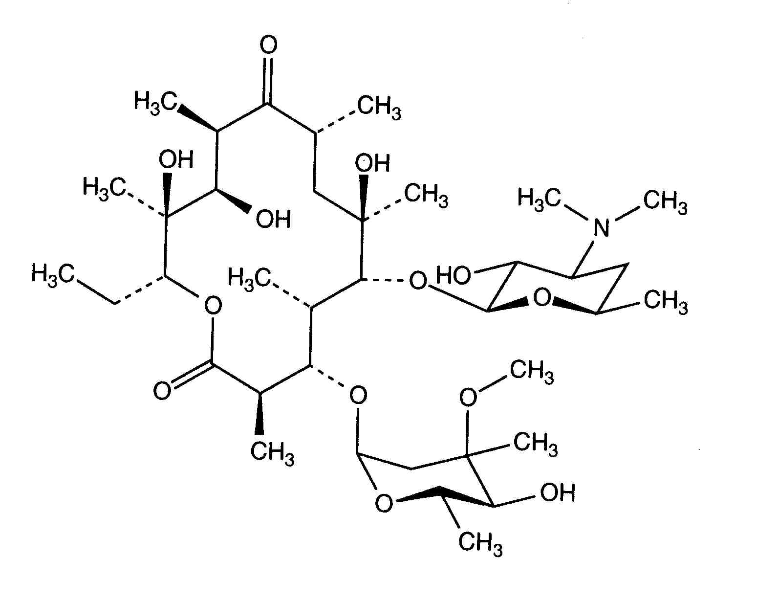
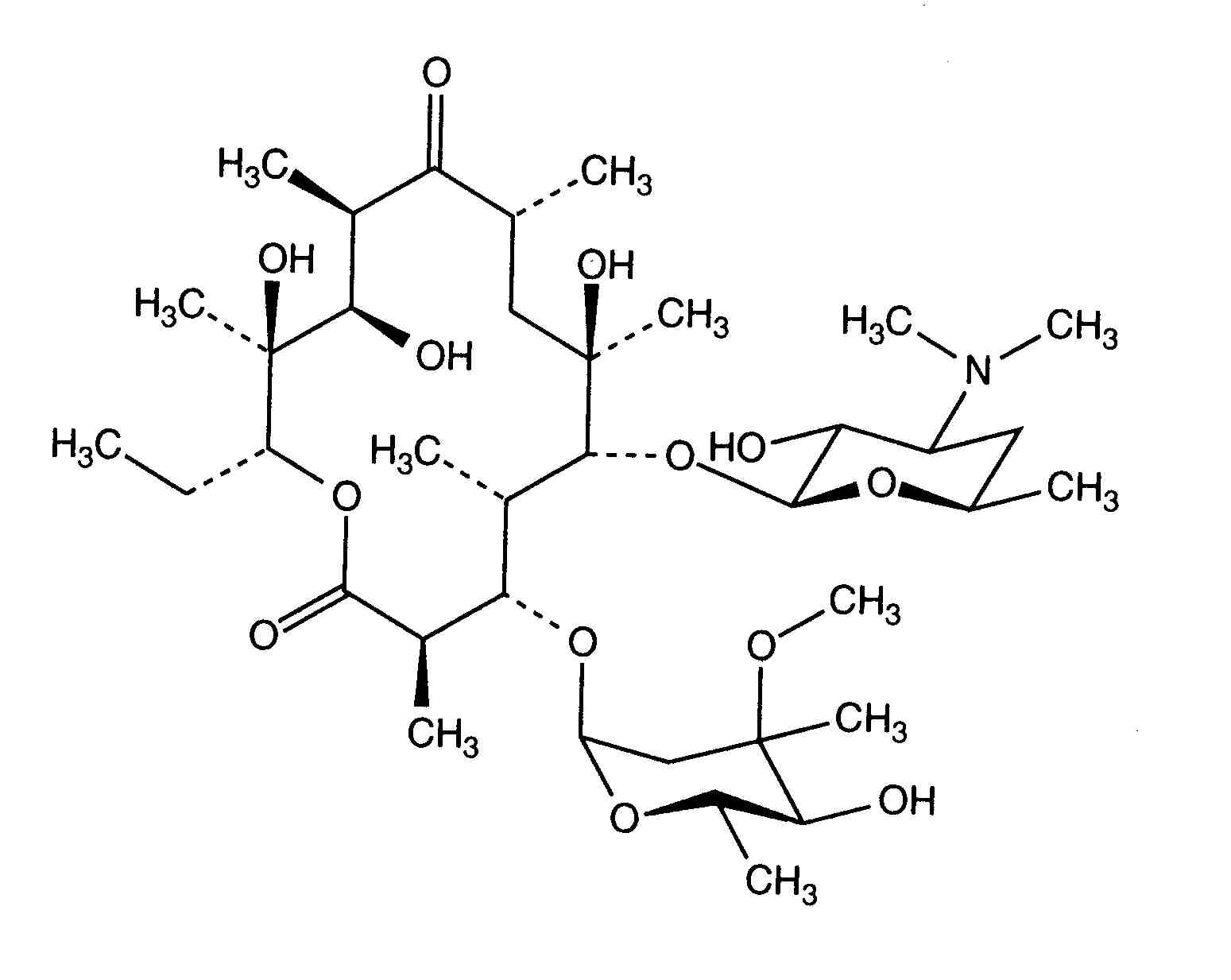
   Chemische Struktur  

Handelsmarke   Handelsmarke     

Handelsnamen sind als beispielhaft anzusehen. Sonstige Bestandteile können je nach Hersteller oder Land verschieden sein

Abboticin Dänemark, Finnland, Norwegen, Schweden
Eristin Argentinien
Erithromicina Chile
Erycinum Deutschland
Erythrocin Australien, Deutschland, Großbritannien, Irland, Kanada, Neuseeland, Österreich, Saudi-Arabien, Vereinigte Staaten von Amerika
Erythrocin lactobionat ADD Vantage Australien, Österreich
Erythrocine Belgien, Frankreich, Luxemburg, Niederlande, Tunesien
Erythromycin Deutschland, Großbritannien, Saudi-Arabien, Ungarn, Vereinigte Staaten von Amerika
Erythromycine Luxemburg
Erythromycinum Polen
Pantomicina Chile, Spanien
Kompatibilitäten   Injektion   Kompatibilitäten : Erythromycin lactobionate              
Dieser Bildschirm zeigt die Kompatibilitäten oder Inkompatibilitäten mit der Art der Inkompatibilität (hier: Ausfällung, Farbänderung, Modifikation einer Emulsion usw.) an. Die hier gezeigten Kompatibilitäten sind meist nur physikalisch, wobei die chemische Stabilität jedes Moleküls selten bewertet wird. Die Bewertung dieser Gemische wurde untersucht, um die Möglichkeit einer Verabreichung über eine Y-Verbindung zu berücksichtigen. Diese Daten können daher nicht zur Herstellung von Mischungen im Voraus in Beuteln oder Spritzen verwendet werden. Sie finden diese Informationen auf dem Bildschirm "Stabilität in Mischung».
Molekül Lösungsmittel Literaturverzeichnis
kompatibel
Injektion Erythromycin lactobionate 4 mg/ml
Injektion Aciclovir sodium 5 mg/ml
5% Glucose 336
Nicht spezifizierte Inkompatibilität nicht kompatibel
Injektion Erythromycin lactobionate
Injektion Amikacin sulfate
3674
Nicht spezifizierte Inkompatibilität nicht kompatibel
Injektion Erythromycin lactobionate
Injektion Amikacin sulfate
3549
Nicht spezifizierte Inkompatibilität nicht kompatibel
Injektion Erythromycin lactobionate
Injektion Aminophylline
3674
kompatibel
Injektion Erythromycin lactobionate 2 mg/ml
Injektion Amiodarone hydrochloride 4 mg/ml
0,9% Natriumchlorid 385
kompatibel
Injektion Erythromycin lactobionate 2 mg/ml
Injektion Amiodarone hydrochloride 4 mg/ml
5% Glucose 385
Nicht spezifizierte Inkompatibilität nicht kompatibel
Injektion Erythromycin lactobionate
Injektion Amobarbital sodium
3674
Nicht spezifizierte Inkompatibilität nicht kompatibel
Injektion Erythromycin lactobionate
Injektion Amoxicillin sodium
3674
Sofortiger Niederschlag nicht kompatibel
Injektion Erythromycin lactobionate 50 mg/ml
Injektion Amoxicillin sodium / clavulanic acid 100/10 mg/ml
3824
Nicht spezifizierte Inkompatibilität nicht kompatibel
Injektion Erythromycin lactobionate
Injektion Amoxicillin sodium / clavulanic acid
3674
Nicht spezifizierte Inkompatibilität nicht kompatibel
Injektion Erythromycin lactobionate
Injektion Ampicillin sodium
3674
Nicht spezifizierte Inkompatibilität nicht kompatibel
Injektion Erythromycin lactobionate
Injektion Ampicillin sodium - sulbactam sodium
3674
kompatibel
Injektion Erythromycin lactobionate 5 mg/ml
Injektion Anidulafungin 0.5 mg/ml
5% Glucose 1982
Nicht spezifizierte Inkompatibilität nicht kompatibel
Injektion Erythromycin lactobionate
Injektion Ascorbic acid
5089
Nicht spezifizierte Inkompatibilität nicht kompatibel
Injektion Erythromycin lactobionate
Injektion Ascorbic acid
3674
Nicht spezifizierte Inkompatibilität nicht kompatibel
Injektion Erythromycin lactobionate
Injektion Aztreonam
3674
kompatibel
Injektion Erythromycin lactobionate 5 mg/ml
Injektion Bivalirudin 5 mg/ml
5% Glucose 1713
kompatibel
Injektion Erythromycin lactobionate
0,9% Natriumchlorid 3674
Sofortiger Niederschlag nicht kompatibel
Injektion Erythromycin lactobionate 50 mg/ml
Injektion Caffeine 10 mg/ml
Kein 3964
Nicht spezifizierte Inkompatibilität nicht kompatibel
Injektion Erythromycin lactobionate
Injektion Cefalotin sodium
3674
Nicht spezifizierte Inkompatibilität nicht kompatibel
Injektion Erythromycin lactobionate
Injektion Cefamandole nafate
3674
Nicht spezifizierte Inkompatibilität nicht kompatibel
Injektion Erythromycin lactobionate
Injektion Cefazolin sodium
3674
Trübung in einer Stunde nicht kompatibel
Injektion Erythromycin lactobionate 20 mg/ml
Injektion Cefazolin sodium 220 mg/ml
805
Nicht spezifizierte Inkompatibilität nicht kompatibel
Injektion Erythromycin lactobionate
Injektion Cefepime dihydrochloride
3674
Chemische Instabilität nicht kompatibel
Injektion Erythromycin lactobionate 5 mg/ml
Injektion Cefepime dihydrochloride 125 mg/ml
Wasser für injektable präparate 2141
Nicht spezifizierte Inkompatibilität nicht kompatibel
Injektion Erythromycin lactobionate
Injektion Cefmenoxime
3674
Nicht spezifizierte Inkompatibilität nicht kompatibel
Injektion Erythromycin lactobionate
Injektion Cefmetazole sodium
3674
Sofortiger Niederschlag nicht kompatibel
Injektion Erythromycin lactobionate 10 & 50 mg/ml
Injektion Cefmetazole sodium 100 mg/ml
Wasser für injektable präparate 93
Nicht spezifizierte Inkompatibilität nicht kompatibel
Injektion Erythromycin lactobionate
Injektion Cefonicid sodium
3674
Nicht spezifizierte Inkompatibilität nicht kompatibel
Injektion Erythromycin lactobionate
Injektion Cefoperazone sodium
3674
Nicht spezifizierte Inkompatibilität nicht kompatibel
Injektion Erythromycin lactobionate
Injektion Ceforanide
3674
Nicht spezifizierte Inkompatibilität nicht kompatibel
Injektion Erythromycin lactobionate
Injektion Cefotaxime sodium
3674
Nicht spezifizierte Inkompatibilität nicht kompatibel
Injektion Erythromycin lactobionate
Injektion Cefoxitin sodium
3674
Nicht spezifizierte Inkompatibilität nicht kompatibel
Injektion Erythromycin lactobionate
Injektion Cefpirome sulfate
3674
Nicht spezifizierte Inkompatibilität nicht kompatibel
Injektion Erythromycin lactobionate
Injektion Ceftaroline fosamil
3674
Sofortiger Niederschlag nicht kompatibel
Injektion Erythromycin lactobionate 5 mg/ml
Injektion Ceftazidime 125 mg/ml
Wasser für injektable präparate 2141
Nicht spezifizierte Inkompatibilität nicht kompatibel
Injektion Erythromycin lactobionate
Injektion Ceftazidime
3674
Sofortiger Niederschlag nicht kompatibel
Injektion Erythromycin lactobionate 10 & 50 mg/ml
Injektion Ceftazidime 83.3 mg/ml
1759
Nicht spezifizierte Inkompatibilität nicht kompatibel
Injektion Erythromycin lactobionate
Injektion Ceftazidime Avibactam
3674
Nicht spezifizierte Inkompatibilität nicht kompatibel
Injektion Erythromycin lactobionate
Injektion Ceftizoxime sodium
3674
Nicht spezifizierte Inkompatibilität nicht kompatibel
Injektion Erythromycin lactobionate
Injektion Ceftobiprole medocaril sodium
3674
Nicht spezifizierte Inkompatibilität nicht kompatibel
Injektion Erythromycin lactobionate
Injektion Ceftolozane / tazobactam
3674
Nicht spezifizierte Inkompatibilität nicht kompatibel
Injektion Erythromycin lactobionate
Injektion Ceftriaxone disodium
3674
Nicht spezifizierte Inkompatibilität nicht kompatibel
Injektion Erythromycin lactobionate
Injektion Cefuroxime sodium
3674
Nicht spezifizierte Inkompatibilität nicht kompatibel
Injektion Erythromycin lactobionate
Injektion Cefuzonam
3674
Nicht spezifizierte Inkompatibilität nicht kompatibel
Injektion Erythromycin lactobionate
Injektion Chloramphenicol sodium succinate
3674
Nicht spezifizierte Inkompatibilität nicht kompatibel
Injektion Erythromycin lactobionate
Injektion Chlorpromazine hydrochloride
3674
kompatibel
Injektion Erythromycin lactobionate 5 & 50 mg/ml
Injektion Diltiazem hydrochloride 5 mg/ml
0,9% Natriumchlorid 198
Nicht spezifizierte Inkompatibilität nicht kompatibel
Injektion Erythromycin lactobionate
Injektion Doripenem
3674
kompatibel
Injektion Erythromycin lactobionate 10 mg/ml
Parenterale Ernährung (Lipid-frei) 939
kompatibel
Injektion Erythromycin lactobionate 5 mg/ml
Injektion Cimetidine hydrochloride 3 mg/ml
0,9% Natriumchlorid 1201
Sofortiger Niederschlag nicht kompatibel
Injektion Erythromycin lactobionate 50 mg/ml
Injektion Cloxacillin sodium 100 mg/ml
Wasser für injektable präparate 3012
Nicht spezifizierte Inkompatibilität nicht kompatibel
Injektion Erythromycin lactobionate
Injektion Cloxacillin sodium
3674
Nicht spezifizierte Inkompatibilität nicht kompatibel
Injektion Erythromycin lactobionate
Injektion Colistin mesilate sodium
3674
kompatibel
Injektion Erythromycin lactobionate 5 mg/ml
Injektion Dexmedetomidine 4 µg/ml
0,9% Natriumchlorid 1712
kompatibel
Injektion Erythromycin lactobionate 5 mg/ml
Injektion Doxapram hydrochloride 2 mg/ml
5% Glucose 1802
Nicht spezifizierte Inkompatibilität nicht kompatibel
Injektion Erythromycin lactobionate
Injektion Doxycycline hyclate
3674
kompatibel
Injektion Erythromycin lactobionate 5 mg/ml
Injektion Enalaprilate 0.05 mg/ml
0,9% Natriumchlorid 1315
Nicht spezifizierte Inkompatibilität nicht kompatibel
Injektion Erythromycin lactobionate
Injektion Ertapenem
3674
kompatibel
Injektion Erythromycin lactobionate 5 mg/ml
Injektion Esmolol hydrochloride 10 mg/ml
5% Glucose 384
kompatibel
Injektion Erythromycin lactobionate 2 mg/ml
Injektion Famotidine
5% Glucose 397
kompatibel
Injektion Erythromycin lactobionate
5% Glucose 3674
kompatibel
Injektion Erythromycin lactobionate 5 mg/ml
Injektion Fenoldopam mesylate 80 µg/ml
0,9% Natriumchlorid 1803
Nicht spezifizierte Inkompatibilität nicht kompatibel
Injektion Erythromycin lactobionate
Injektion Flucloxacillin sodium
3674
Sofortiger Niederschlag nicht kompatibel
Injektion Erythromycin lactobionate 5 mg/ml
Injektion Flucloxacillin sodium 20 mg/ml
0,9% Natriumchlorid 1232
Sofortiger Niederschlag nicht kompatibel
Injektion Erythromycin lactobionate 20 mg/ml
Injektion Fluconazole 2 mg/ml
0,9% Natriumchlorid 496
kompatibel
Injektion Erythromycin lactobionate 20 mg/ml
Injektion Foscarnet sodium 24 mg/ml
0,9% Natriumchlorid 1135
kompatibel
Injektion Erythromycin lactobionate 20 mg/ml
Injektion Foscarnet sodium 24 mg/ml
Kein 73
Sofortiger Niederschlag nicht kompatibel
Injektion Erythromycin lactobionate 5 mg/ml
Injektion Furosemide 1 mg/ml
0,9% Natriumchlorid 1232
Nicht spezifizierte Inkompatibilität nicht kompatibel
Injektion Erythromycin lactobionate
Injektion Gentamicin sulfate
3643
Nicht spezifizierte Inkompatibilität nicht kompatibel
Injektion Erythromycin lactobionate
Injektion Gentamicin sulfate
3520
Nicht spezifizierte Inkompatibilität nicht kompatibel
Injektion Erythromycin lactobionate
Injektion Gentamicin sulfate
3674
Nicht spezifizierte Inkompatibilität nicht kompatibel
Injektion Erythromycin lactobionate
Injektion Heparin sodium
3674
kompatibel
Injektion Erythromycin lactobionate 50 mg/ml
Ringer Lactat - Lösung 4603
kompatibel
Injektion Erythromycin lactobionate 3.3 mg/ml
Injektion Heparin sodium 50 UI/ml
Kein 317
kompatibel
Injektion Erythromycin lactobionate 50 mg/ml
Parenterale Ernährung (Lipid-frei) 999
Nicht spezifizierte Inkompatibilität nicht kompatibel
Injektion Erythromycin lactobionate
Injektion Heparin sodium
3540
kompatibel
Injektion Erythromycin lactobionate 5 mg/ml
Injektion Hetastarch 60 mg/ml
spezifische Lösungsmittel 1721
kompatibel
Injektion Erythromycin lactobionate 5 mg/ml
Injektion Hydromorphone hydrochloride 0.2 mg/ml
5% Glucose 405
kompatibel
Injektion Erythromycin lactobionate 2 mg/ml
Injektion Idarubicin hydrochloride 1 mg/ml
0,9% Natriumchlorid 491
Nicht spezifizierte Inkompatibilität nicht kompatibel
Injektion Erythromycin lactobionate
Injektion Imipenem - cilastatin sodium
3674
Nicht spezifizierte Inkompatibilität nicht kompatibel
Injektion Erythromycin lactobionate
Injektion Kanamycin sulfate
3674
kompatibel
Injektion Erythromycin lactobionate 5 mg/ml
Injektion Labetalol hydrochloride 1 mg/ml
5% Glucose 386
Nicht spezifizierte Inkompatibilität nicht kompatibel
Injektion Erythromycin lactobionate
Injektion Levomepromazine
3674
Chemische Instabilität nicht kompatibel
Injektion Erythromycin lactobionate 5 mg/ml
Injektion Linezolid 2 mg/ml
Kein 1607
Nicht spezifizierte Inkompatibilität nicht kompatibel
Injektion Erythromycin lactobionate
Injektion Linezolid
3560
kompatibel
Injektion Erythromycin lactobionate 5 mg/ml
Injektion Linezolid 2 mg/ml
Kein 1925
kompatibel
Injektion Erythromycin lactobionate 5 mg/ml
Injektion Lorazepam 0.33 mg/ml
0,9% Natriumchlorid 186
kompatibel
Injektion Erythromycin lactobionate 5 mg/ml
Injektion Magnesium sulfate 16.67 >> 100 mg/ml
5% Glucose 1047
kompatibel
Injektion Erythromycin lactobionate 50 mg/ml
Injektion Meropenem 50 mg/ml
Wasser für injektable präparate 4319
Nicht spezifizierte Inkompatibilität nicht kompatibel
Injektion Erythromycin lactobionate
Injektion Meropenem
3674
Nicht spezifizierte Inkompatibilität nicht kompatibel
Injektion Erythromycin lactobionate
Injektion Mesna
3602
Nicht spezifizierte Inkompatibilität nicht kompatibel
Injektion Erythromycin lactobionate
Injektion Metaraminol
5046
Nicht spezifizierte Inkompatibilität nicht kompatibel
Injektion Erythromycin lactobionate
Injektion Methohexital sodium
3674
kompatibel
Injektion Erythromycin lactobionate 5 mg/ml
Injektion Midazolam hydrochloride 5 mg/ml
Kein 186
Nicht spezifizierte Inkompatibilität nicht kompatibel
Injektion Erythromycin lactobionate
Injektion Minocycline hydrochloride
3674
kompatibel
Injektion Erythromycin lactobionate 5 mg/ml
Injektion Morphine sulfate 1 mg/ml
5% Glucose 405
Nicht spezifizierte Inkompatibilität nicht kompatibel
Injektion Erythromycin lactobionate
Injektion Moxalactam
3674
Nicht spezifizierte Inkompatibilität nicht kompatibel
Injektion Erythromycin lactobionate
Injektion N-acetylcysteine 200 mg/ml
Kein 3766
Nicht spezifizierte Inkompatibilität nicht kompatibel
Injektion Erythromycin lactobionate
Injektion Nafcillin sodium
3674
kompatibel
Injektion Erythromycin lactobionate 50 mg/ml
Injektion Naloxone hydrochloride 0.4 mg/ml
Kein 3408
Nicht spezifizierte Inkompatibilität nicht kompatibel
Injektion Erythromycin lactobionate
Injektion Netilmicin sulfate
3674
kompatibel
Injektion Erythromycin lactobionate 5 mg/ml
Injektion Nicardipine hydrochloride 0.1 mg/ml
0,9% Natriumchlorid 1490
kompatibel
Injektion Erythromycin lactobionate 5 mg/ml
Injektion Nicardipine hydrochloride 0.1 mg/ml
5% Glucose 1490
Nicht spezifizierte Inkompatibilität nicht kompatibel
Injektion Erythromycin lactobionate
Injektion Oxacillin sodium
3674
Nicht spezifizierte Inkompatibilität nicht kompatibel
Injektion Erythromycin lactobionate
Injektion Oxytetracycline hydrochloride
3674
kompatibel
Injektion Erythromycin lactobionate 50 mg/ml
Injektion Paracetamol 10 mg/ml
4742
Nicht spezifizierte Inkompatibilität nicht kompatibel
Injektion Erythromycin lactobionate
Injektion Penicillin G potassium
3674
Nicht spezifizierte Inkompatibilität nicht kompatibel
Injektion Erythromycin lactobionate
Injektion Penicillin G sodium
3674
Nicht spezifizierte Inkompatibilität nicht kompatibel
Injektion Erythromycin lactobionate
Injektion Pentobarbital sodium
3674
kompatibel
Injektion Erythromycin lactobionate 5 mg/ml
Injektion Pethidine hydrochloride 10 mg/ml
5% Glucose 405
Nicht spezifizierte Inkompatibilität nicht kompatibel
Injektion Erythromycin lactobionate
Injektion Phenobarbital sodium
3674
Nicht spezifizierte Inkompatibilität nicht kompatibel
Injektion Erythromycin lactobionate
Injektion Phenytoin sodium
3674
Nicht spezifizierte Inkompatibilität nicht kompatibel
Injektion Erythromycin lactobionate
Injektion Piperacillin sodium
3674
Nicht spezifizierte Inkompatibilität nicht kompatibel
Injektion Erythromycin lactobionate
Injektion Piperacillin sodium / tazobactam
3674
Nicht spezifizierte Inkompatibilität nicht kompatibel
Injektion Erythromycin lactobionate
Injektion Plazomicin sulfate
3674
Nicht spezifizierte Inkompatibilität nicht kompatibel
Injektion Erythromycin lactobionate
Injektion Prochlorperazine edysilate
3674
Nicht spezifizierte Inkompatibilität nicht kompatibel
Injektion Erythromycin lactobionate
Injektion Promethazine hydrochloride
3674
Nicht spezifizierte Inkompatibilität nicht kompatibel
Injektion Erythromycin lactobionate
Injektion Pyridoxine hydrochloride
3674
Nicht spezifizierte Inkompatibilität nicht kompatibel
Injektion Erythromycin lactobionate
Injektion Rocuronium bromide
3564
kompatibel
Injektion Erythromycin lactobionate 50 mg/ml
Injektion Salbutamol sulfate 1 mg/ml
Kein 3216
Nicht spezifizierte Inkompatibilität nicht kompatibel
Injektion Erythromycin lactobionate
Injektion Streptomycin sulfate
3674
kompatibel
Injektion Erythromycin lactobionate 20 mg/ml
Injektion Tacrolimus 1000 µg/ml
0,9% Natriumchlorid 479
Nicht spezifizierte Inkompatibilität nicht kompatibel
Injektion Erythromycin lactobionate
Injektion Temocilline
3674
kompatibel
Injektion Erythromycin lactobionate 5 mg/ml
Injektion Temocilline 83.33 mg/ml
Wasser für injektable präparate 2231
kompatibel
Injektion Erythromycin lactobionate 3.3 mg/ml
Injektion Theophylline 4 mg/ml
Kein 317
Sofortiger Niederschlag nicht kompatibel
Injektion Erythromycin lactobionate 50 mg/ml
Injektion Thiopental sodium 25 mg/ml
0,9% Natriumchlorid 3767
Nicht spezifizierte Inkompatibilität nicht kompatibel
Injektion Erythromycin lactobionate
Injektion Thiopental sodium
3674
Nicht spezifizierte Inkompatibilität nicht kompatibel
Injektion Erythromycin lactobionate
Injektion Ticarcillin / clavulanic acid
3674
Nicht spezifizierte Inkompatibilität nicht kompatibel
Injektion Erythromycin lactobionate
Injektion Tigecycline
3674
Nicht spezifizierte Inkompatibilität nicht kompatibel
Injektion Erythromycin lactobionate
Injektion Tobramycin sulfate
3674
Nicht spezifizierte Inkompatibilität nicht kompatibel
Injektion Erythromycin lactobionate
Injektion Triflupromazine hydrochloride
3674
kompatibel
Injektion Erythromycin lactobionate 5 mg/ml
Injektion Vancomycin hydrochloride 10 mg/ml
5% Glucose 3385
kompatibel
Injektion Erythromycin lactobionate 2 mg/ml
Injektion Verapamil hydrochloride 0.08 mg/ml
0,9% Natriumchlorid 1057
kompatibel
Injektion Erythromycin lactobionate 2 mg/ml
Injektion Verapamil hydrochloride 0.08 mg/ml
5% Glucose 1057
kompatibel
Injektion Erythromycin lactobionate 20 mg/ml
Injektion Zidovudine 4 mg/ml
5% Glucose 337

  Mentions Légales