viimane versioon :
27/04/2026
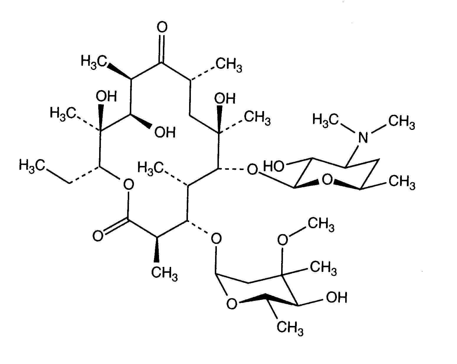
antibiootikum   Erythromycin lactobionate  
Süsteravim
Stabiilsus lahustes Stabiilsust mõjutavad tegurid stabiilsust mõjutavad faktorid Sobimatus Manustamis viis Viited pdf
   keemiline struktuur  

Kaubanduslikud nimed erinevates maades   Kaubanduslikud nimed erinevates maades     

Preparaatide nimed on näitlikud ja abianete sisaldus võib erineda sõltuvalt riigist ja laborist

Abboticin Norra, Rootsi, Soome, Taani
Eristin Argentiina
Erithromicina Tšiili
Erycinum Saksamaa
Erythrocin Ameerika ühendriigid, Austraalia, Austria, Iirimaa, Kanada, Saksamaa, Saudi Araabia, Suurbritannia, uus-Meremaa
Erythrocin lactobionat ADD Vantage Austraalia, Austria
Erythrocine Belgia, Holland, Luksemburg, Prantsusmaa, Tuneesia
Erythromycin Ameerika ühendriigid, Saksamaa, Saudi Araabia, Suurbritannia, Ungari
Erythromycine Luksemburg
Erythromycinum Poola
Pantomicina Hispaania, Tšiili
Sobimatus   Süsteravim   Sobimatus : Erythromycin lactobionate              
Sellel lehel kuvatakse sobimatusi ja sobimatuse tüüpi (sadenemine, värvuse muutus, emulsiooni modifitseerumine jne). Enamasti on siin lehel kuvatud füüsikalised sobimatused, kuna molekulide keemilist stabiilsust hinnatakse harva. Hinnatud on segude sobivust Y-liinis. Antud infot ei saa kasutada ravimite sobivuse hindamiseks juhul, kui ravimid on segatud süstaldes või infusioonikottides. See info on lehel « stabiilsus segudes ».
ingredient lahusti Viited
Ühilduv
Süsteravim Erythromycin lactobionate 4 mg/ml
Süsteravim Aciclovir sodium 5 mg/ml
glükoos 5% 336
Täpsustamata sobimatus Sobimatu
Süsteravim Erythromycin lactobionate
Süsteravim Amikacin sulfate
3674
Täpsustamata sobimatus Sobimatu
Süsteravim Erythromycin lactobionate
Süsteravim Amikacin sulfate
3549
Täpsustamata sobimatus Sobimatu
Süsteravim Erythromycin lactobionate
Süsteravim Aminophylline
3674
Ühilduv
Süsteravim Erythromycin lactobionate 2 mg/ml
Süsteravim Amiodarone hydrochloride 4 mg/ml
naatriumkloriid 0.9% 385
Ühilduv
Süsteravim Erythromycin lactobionate 2 mg/ml
Süsteravim Amiodarone hydrochloride 4 mg/ml
glükoos 5% 385
Täpsustamata sobimatus Sobimatu
Süsteravim Erythromycin lactobionate
Süsteravim Amobarbital sodium
3674
Täpsustamata sobimatus Sobimatu
Süsteravim Erythromycin lactobionate
Süsteravim Amoxicillin sodium
3674
Kohene sade Sobimatu
Süsteravim Erythromycin lactobionate 50 mg/ml
Süsteravim Amoxicillin sodium / clavulanic acid 100/10 mg/ml
3824
Täpsustamata sobimatus Sobimatu
Süsteravim Erythromycin lactobionate
Süsteravim Amoxicillin sodium / clavulanic acid
3674
Täpsustamata sobimatus Sobimatu
Süsteravim Erythromycin lactobionate
Süsteravim Ampicillin sodium
3674
Täpsustamata sobimatus Sobimatu
Süsteravim Erythromycin lactobionate
Süsteravim Ampicillin sodium - sulbactam sodium
3674
Ühilduv
Süsteravim Erythromycin lactobionate 5 mg/ml
Süsteravim Anidulafungin 0.5 mg/ml
glükoos 5% 1982
Täpsustamata sobimatus Sobimatu
Süsteravim Erythromycin lactobionate
Süsteravim Ascorbic acid
5089
Täpsustamata sobimatus Sobimatu
Süsteravim Erythromycin lactobionate
Süsteravim Ascorbic acid
3674
Täpsustamata sobimatus Sobimatu
Süsteravim Erythromycin lactobionate
Süsteravim Aztreonam
3674
Ühilduv
Süsteravim Erythromycin lactobionate 5 mg/ml
Süsteravim Bivalirudin 5 mg/ml
glükoos 5% 1713
Ühilduv
Süsteravim Erythromycin lactobionate
naatriumkloriid 0.9% 3674
Kohene sade Sobimatu
Süsteravim Erythromycin lactobionate 50 mg/ml
Süsteravim Caffeine 10 mg/ml
mitte ükski 3964
Täpsustamata sobimatus Sobimatu
Süsteravim Erythromycin lactobionate
Süsteravim Cefalotin sodium
3674
Täpsustamata sobimatus Sobimatu
Süsteravim Erythromycin lactobionate
Süsteravim Cefamandole nafate
3674
Täpsustamata sobimatus Sobimatu
Süsteravim Erythromycin lactobionate
Süsteravim Cefazolin sodium
3674
Hägusus ühe tunni jooksul Sobimatu
Süsteravim Erythromycin lactobionate 20 mg/ml
Süsteravim Cefazolin sodium 220 mg/ml
805
Täpsustamata sobimatus Sobimatu
Süsteravim Erythromycin lactobionate
Süsteravim Cefepime dihydrochloride
3674
Keemiline ebastabiilsus Sobimatu
Süsteravim Erythromycin lactobionate 5 mg/ml
Süsteravim Cefepime dihydrochloride 125 mg/ml
süstevesi 2141
Täpsustamata sobimatus Sobimatu
Süsteravim Erythromycin lactobionate
Süsteravim Cefmenoxime
3674
Täpsustamata sobimatus Sobimatu
Süsteravim Erythromycin lactobionate
Süsteravim Cefmetazole sodium
3674
Kohene sade Sobimatu
Süsteravim Erythromycin lactobionate 10 & 50 mg/ml
Süsteravim Cefmetazole sodium 100 mg/ml
süstevesi 93
Täpsustamata sobimatus Sobimatu
Süsteravim Erythromycin lactobionate
Süsteravim Cefonicid sodium
3674
Täpsustamata sobimatus Sobimatu
Süsteravim Erythromycin lactobionate
Süsteravim Cefoperazone sodium
3674
Täpsustamata sobimatus Sobimatu
Süsteravim Erythromycin lactobionate
Süsteravim Ceforanide
3674
Täpsustamata sobimatus Sobimatu
Süsteravim Erythromycin lactobionate
Süsteravim Cefotaxime sodium
3674
Täpsustamata sobimatus Sobimatu
Süsteravim Erythromycin lactobionate
Süsteravim Cefoxitin sodium
3674
Täpsustamata sobimatus Sobimatu
Süsteravim Erythromycin lactobionate
Süsteravim Cefpirome sulfate
3674
Täpsustamata sobimatus Sobimatu
Süsteravim Erythromycin lactobionate
Süsteravim Ceftaroline fosamil
3674
Kohene sade Sobimatu
Süsteravim Erythromycin lactobionate 5 mg/ml
Süsteravim Ceftazidime 125 mg/ml
süstevesi 2141
Täpsustamata sobimatus Sobimatu
Süsteravim Erythromycin lactobionate
Süsteravim Ceftazidime
3674
Kohene sade Sobimatu
Süsteravim Erythromycin lactobionate 10 & 50 mg/ml
Süsteravim Ceftazidime 83.3 mg/ml
1759
Täpsustamata sobimatus Sobimatu
Süsteravim Erythromycin lactobionate
Süsteravim Ceftazidime Avibactam
3674
Täpsustamata sobimatus Sobimatu
Süsteravim Erythromycin lactobionate
Süsteravim Ceftizoxime sodium
3674
Täpsustamata sobimatus Sobimatu
Süsteravim Erythromycin lactobionate
Süsteravim Ceftobiprole medocaril sodium
3674
Täpsustamata sobimatus Sobimatu
Süsteravim Erythromycin lactobionate
Süsteravim Ceftolozane / tazobactam
3674
Täpsustamata sobimatus Sobimatu
Süsteravim Erythromycin lactobionate
Süsteravim Ceftriaxone disodium
3674
Täpsustamata sobimatus Sobimatu
Süsteravim Erythromycin lactobionate
Süsteravim Cefuroxime sodium
3674
Täpsustamata sobimatus Sobimatu
Süsteravim Erythromycin lactobionate
Süsteravim Cefuzonam
3674
Täpsustamata sobimatus Sobimatu
Süsteravim Erythromycin lactobionate
Süsteravim Chloramphenicol sodium succinate
3674
Täpsustamata sobimatus Sobimatu
Süsteravim Erythromycin lactobionate
Süsteravim Chlorpromazine hydrochloride
3674
Ühilduv
Süsteravim Erythromycin lactobionate 5 & 50 mg/ml
Süsteravim Diltiazem hydrochloride 5 mg/ml
naatriumkloriid 0.9% 198
Täpsustamata sobimatus Sobimatu
Süsteravim Erythromycin lactobionate
Süsteravim Doripenem
3674
Ühilduv
Süsteravim Erythromycin lactobionate 10 mg/ml
Parenteraalse toitmise (lipiide tasuta) 939
Ühilduv
Süsteravim Erythromycin lactobionate 5 mg/ml
Süsteravim Cimetidine hydrochloride 3 mg/ml
naatriumkloriid 0.9% 1201
Kohene sade Sobimatu
Süsteravim Erythromycin lactobionate 50 mg/ml
Süsteravim Cloxacillin sodium 100 mg/ml
süstevesi 3012
Täpsustamata sobimatus Sobimatu
Süsteravim Erythromycin lactobionate
Süsteravim Cloxacillin sodium
3674
Täpsustamata sobimatus Sobimatu
Süsteravim Erythromycin lactobionate
Süsteravim Colistin mesilate sodium
3674
Ühilduv
Süsteravim Erythromycin lactobionate 5 mg/ml
Süsteravim Dexmedetomidine 4 µg/ml
naatriumkloriid 0.9% 1712
Ühilduv
Süsteravim Erythromycin lactobionate 5 mg/ml
Süsteravim Doxapram hydrochloride 2 mg/ml
glükoos 5% 1802
Täpsustamata sobimatus Sobimatu
Süsteravim Erythromycin lactobionate
Süsteravim Doxycycline hyclate
3674
Ühilduv
Süsteravim Erythromycin lactobionate 5 mg/ml
Süsteravim Enalaprilate 0.05 mg/ml
naatriumkloriid 0.9% 1315
Täpsustamata sobimatus Sobimatu
Süsteravim Erythromycin lactobionate
Süsteravim Ertapenem
3674
Ühilduv
Süsteravim Erythromycin lactobionate 5 mg/ml
Süsteravim Esmolol hydrochloride 10 mg/ml
glükoos 5% 384
Ühilduv
Süsteravim Erythromycin lactobionate 2 mg/ml
Süsteravim Famotidine
glükoos 5% 397
Ühilduv
Süsteravim Erythromycin lactobionate
glükoos 5% 3674
Ühilduv
Süsteravim Erythromycin lactobionate 5 mg/ml
Süsteravim Fenoldopam mesylate 80 µg/ml
naatriumkloriid 0.9% 1803
Täpsustamata sobimatus Sobimatu
Süsteravim Erythromycin lactobionate
Süsteravim Flucloxacillin sodium
3674
Kohene sade Sobimatu
Süsteravim Erythromycin lactobionate 5 mg/ml
Süsteravim Flucloxacillin sodium 20 mg/ml
naatriumkloriid 0.9% 1232
Kohene sade Sobimatu
Süsteravim Erythromycin lactobionate 20 mg/ml
Süsteravim Fluconazole 2 mg/ml
naatriumkloriid 0.9% 496
Ühilduv
Süsteravim Erythromycin lactobionate 20 mg/ml
Süsteravim Foscarnet sodium 24 mg/ml
naatriumkloriid 0.9% 1135
Ühilduv
Süsteravim Erythromycin lactobionate 20 mg/ml
Süsteravim Foscarnet sodium 24 mg/ml
mitte ükski 73
Kohene sade Sobimatu
Süsteravim Erythromycin lactobionate 5 mg/ml
Süsteravim Furosemide 1 mg/ml
naatriumkloriid 0.9% 1232
Täpsustamata sobimatus Sobimatu
Süsteravim Erythromycin lactobionate
Süsteravim Gentamicin sulfate
3643
Täpsustamata sobimatus Sobimatu
Süsteravim Erythromycin lactobionate
Süsteravim Gentamicin sulfate
3520
Täpsustamata sobimatus Sobimatu
Süsteravim Erythromycin lactobionate
Süsteravim Gentamicin sulfate
3674
Täpsustamata sobimatus Sobimatu
Süsteravim Erythromycin lactobionate
Süsteravim Heparin sodium
3674
Ühilduv
Süsteravim Erythromycin lactobionate 50 mg/ml
Ringer laktaat 4603
Ühilduv
Süsteravim Erythromycin lactobionate 3.3 mg/ml
Süsteravim Heparin sodium 50 UI/ml
mitte ükski 317
Ühilduv
Süsteravim Erythromycin lactobionate 50 mg/ml
Parenteraalse toitmise (lipiide tasuta) 999
Täpsustamata sobimatus Sobimatu
Süsteravim Erythromycin lactobionate
Süsteravim Heparin sodium
3540
Ühilduv
Süsteravim Erythromycin lactobionate 5 mg/ml
Süsteravim Hetastarch 60 mg/ml
konkreetsed lahusti 1721
Ühilduv
Süsteravim Erythromycin lactobionate 5 mg/ml
Süsteravim Hydromorphone hydrochloride 0.2 mg/ml
glükoos 5% 405
Ühilduv
Süsteravim Erythromycin lactobionate 2 mg/ml
Süsteravim Idarubicin hydrochloride 1 mg/ml
naatriumkloriid 0.9% 491
Täpsustamata sobimatus Sobimatu
Süsteravim Erythromycin lactobionate
Süsteravim Imipenem - cilastatin sodium
3674
Täpsustamata sobimatus Sobimatu
Süsteravim Erythromycin lactobionate
Süsteravim Kanamycin sulfate
3674
Ühilduv
Süsteravim Erythromycin lactobionate 5 mg/ml
Süsteravim Labetalol hydrochloride 1 mg/ml
glükoos 5% 386
Täpsustamata sobimatus Sobimatu
Süsteravim Erythromycin lactobionate
Süsteravim Levomepromazine
3674
Keemiline ebastabiilsus Sobimatu
Süsteravim Erythromycin lactobionate 5 mg/ml
Süsteravim Linezolid 2 mg/ml
mitte ükski 1607
Täpsustamata sobimatus Sobimatu
Süsteravim Erythromycin lactobionate
Süsteravim Linezolid
3560
Ühilduv
Süsteravim Erythromycin lactobionate 5 mg/ml
Süsteravim Linezolid 2 mg/ml
mitte ükski 1925
Ühilduv
Süsteravim Erythromycin lactobionate 5 mg/ml
Süsteravim Lorazepam 0.33 mg/ml
naatriumkloriid 0.9% 186
Ühilduv
Süsteravim Erythromycin lactobionate 5 mg/ml
Süsteravim Magnesium sulfate 16.67 >> 100 mg/ml
glükoos 5% 1047
Ühilduv
Süsteravim Erythromycin lactobionate 50 mg/ml
Süsteravim Meropenem 50 mg/ml
süstevesi 4319
Täpsustamata sobimatus Sobimatu
Süsteravim Erythromycin lactobionate
Süsteravim Meropenem
3674
Täpsustamata sobimatus Sobimatu
Süsteravim Erythromycin lactobionate
Süsteravim Mesna
3602
Täpsustamata sobimatus Sobimatu
Süsteravim Erythromycin lactobionate
Süsteravim Metaraminol
5046
Täpsustamata sobimatus Sobimatu
Süsteravim Erythromycin lactobionate
Süsteravim Methohexital sodium
3674
Ühilduv
Süsteravim Erythromycin lactobionate 5 mg/ml
Süsteravim Midazolam hydrochloride 5 mg/ml
mitte ükski 186
Täpsustamata sobimatus Sobimatu
Süsteravim Erythromycin lactobionate
Süsteravim Minocycline hydrochloride
3674
Ühilduv
Süsteravim Erythromycin lactobionate 5 mg/ml
Süsteravim Morphine sulfate 1 mg/ml
glükoos 5% 405
Täpsustamata sobimatus Sobimatu
Süsteravim Erythromycin lactobionate
Süsteravim Moxalactam
3674
Täpsustamata sobimatus Sobimatu
Süsteravim Erythromycin lactobionate
Süsteravim N-acetylcysteine 200 mg/ml
mitte ükski 3766
Täpsustamata sobimatus Sobimatu
Süsteravim Erythromycin lactobionate
Süsteravim Nafcillin sodium
3674
Ühilduv
Süsteravim Erythromycin lactobionate 50 mg/ml
Süsteravim Naloxone hydrochloride 0.4 mg/ml
mitte ükski 3408
Täpsustamata sobimatus Sobimatu
Süsteravim Erythromycin lactobionate
Süsteravim Netilmicin sulfate
3674
Ühilduv
Süsteravim Erythromycin lactobionate 5 mg/ml
Süsteravim Nicardipine hydrochloride 0.1 mg/ml
naatriumkloriid 0.9% 1490
Ühilduv
Süsteravim Erythromycin lactobionate 5 mg/ml
Süsteravim Nicardipine hydrochloride 0.1 mg/ml
glükoos 5% 1490
Täpsustamata sobimatus Sobimatu
Süsteravim Erythromycin lactobionate
Süsteravim Oxacillin sodium
3674
Täpsustamata sobimatus Sobimatu
Süsteravim Erythromycin lactobionate
Süsteravim Oxytetracycline hydrochloride
3674
Ühilduv
Süsteravim Erythromycin lactobionate 50 mg/ml
Süsteravim Paracetamol 10 mg/ml
4742
Täpsustamata sobimatus Sobimatu
Süsteravim Erythromycin lactobionate
Süsteravim Penicillin G potassium
3674
Täpsustamata sobimatus Sobimatu
Süsteravim Erythromycin lactobionate
Süsteravim Penicillin G sodium
3674
Täpsustamata sobimatus Sobimatu
Süsteravim Erythromycin lactobionate
Süsteravim Pentobarbital sodium
3674
Ühilduv
Süsteravim Erythromycin lactobionate 5 mg/ml
Süsteravim Pethidine hydrochloride 10 mg/ml
glükoos 5% 405
Täpsustamata sobimatus Sobimatu
Süsteravim Erythromycin lactobionate
Süsteravim Phenobarbital sodium
3674
Täpsustamata sobimatus Sobimatu
Süsteravim Erythromycin lactobionate
Süsteravim Phenytoin sodium
3674
Täpsustamata sobimatus Sobimatu
Süsteravim Erythromycin lactobionate
Süsteravim Piperacillin sodium
3674
Täpsustamata sobimatus Sobimatu
Süsteravim Erythromycin lactobionate
Süsteravim Piperacillin sodium / tazobactam
3674
Täpsustamata sobimatus Sobimatu
Süsteravim Erythromycin lactobionate
Süsteravim Plazomicin sulfate
3674
Täpsustamata sobimatus Sobimatu
Süsteravim Erythromycin lactobionate
Süsteravim Prochlorperazine edysilate
3674
Täpsustamata sobimatus Sobimatu
Süsteravim Erythromycin lactobionate
Süsteravim Promethazine hydrochloride
3674
Täpsustamata sobimatus Sobimatu
Süsteravim Erythromycin lactobionate
Süsteravim Pyridoxine hydrochloride
3674
Täpsustamata sobimatus Sobimatu
Süsteravim Erythromycin lactobionate
Süsteravim Rocuronium bromide
3564
Ühilduv
Süsteravim Erythromycin lactobionate 50 mg/ml
Süsteravim Salbutamol sulfate 1 mg/ml
mitte ükski 3216
Täpsustamata sobimatus Sobimatu
Süsteravim Erythromycin lactobionate
Süsteravim Streptomycin sulfate
3674
Ühilduv
Süsteravim Erythromycin lactobionate 20 mg/ml
Süsteravim Tacrolimus 1000 µg/ml
naatriumkloriid 0.9% 479
Täpsustamata sobimatus Sobimatu
Süsteravim Erythromycin lactobionate
Süsteravim Temocilline
3674
Ühilduv
Süsteravim Erythromycin lactobionate 5 mg/ml
Süsteravim Temocilline 83.33 mg/ml
süstevesi 2231
Ühilduv
Süsteravim Erythromycin lactobionate 3.3 mg/ml
Süsteravim Theophylline 4 mg/ml
mitte ükski 317
Kohene sade Sobimatu
Süsteravim Erythromycin lactobionate 50 mg/ml
Süsteravim Thiopental sodium 25 mg/ml
naatriumkloriid 0.9% 3767
Täpsustamata sobimatus Sobimatu
Süsteravim Erythromycin lactobionate
Süsteravim Thiopental sodium
3674
Täpsustamata sobimatus Sobimatu
Süsteravim Erythromycin lactobionate
Süsteravim Ticarcillin / clavulanic acid
3674
Täpsustamata sobimatus Sobimatu
Süsteravim Erythromycin lactobionate
Süsteravim Tigecycline
3674
Täpsustamata sobimatus Sobimatu
Süsteravim Erythromycin lactobionate
Süsteravim Tobramycin sulfate
3674
Täpsustamata sobimatus Sobimatu
Süsteravim Erythromycin lactobionate
Süsteravim Triflupromazine hydrochloride
3674
Ühilduv
Süsteravim Erythromycin lactobionate 5 mg/ml
Süsteravim Vancomycin hydrochloride 10 mg/ml
glükoos 5% 3385
Ühilduv
Süsteravim Erythromycin lactobionate 2 mg/ml
Süsteravim Verapamil hydrochloride 0.08 mg/ml
naatriumkloriid 0.9% 1057
Ühilduv
Süsteravim Erythromycin lactobionate 2 mg/ml
Süsteravim Verapamil hydrochloride 0.08 mg/ml
glükoos 5% 1057
Ühilduv
Süsteravim Erythromycin lactobionate 20 mg/ml
Süsteravim Zidovudine 4 mg/ml
glükoos 5% 337

  Mentions Légales