Pēdējā atjaunošana :
27/04/2026
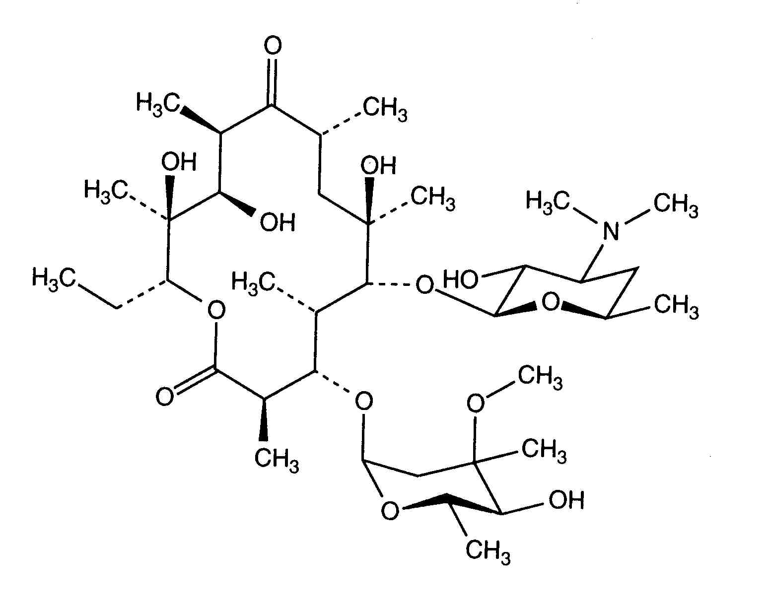
Antibiotika   Erythromycin lactobionate  
Injekcija
Šķīduma stabilitāte Maisījuma stabilitāte Stabilitāti ietekmējoši faktori Saderība Levadīšanas veids Literatūras saraksts pdf
   Ķīmiskā uzbūve   

Oriģinālais nosaukums   Oriģinālais nosaukums     

Tirdzniecības nosaukumi ir apzīmējoši un palīgvielas var atšķirties dažādām valstīm un laboratorijām

Abboticin Dānija, Norvēģija, Somija, Zviedrija
Eristin Argentīna
Erithromicina Čīle
Erycinum Vācija
Erythrocin Amerikas Savienotās Valstis, Austrālija, Austrija, Īrija, Jaunzēlande, Kanāda, Lielbritānija, Saūda Arābija, Vācija
Erythrocin lactobionat ADD Vantage Austrālija, Austrija
Erythrocine Beļģija, Francija, Holande, Luksemburga, Tunisija
Erythromycin Amerikas Savienotās Valstis, Lielbritānija, Saūda Arābija, Ungārija, Vācija
Erythromycine Luksemburga
Erythromycinum Polija
Pantomicina Čīle, Spānija
Saderība   Injekcija   Saderība : Erythromycin lactobionate              
Šī tabula parāda zāļu saderību vai nesaderību, pēc iespējas arī nesaderības tipu (precipitācija, krāsas maiņa, emulsijas sadalīšanās utt). Parādītas šeit saderības ir pārsvarā tikai fizikālās, pēc iespējas tiek parādīta ķīmiskā stabilitāte katrai molekulai. Šo maisījumu analīze tikai veikta, lai izprastu iespējamību ievadīt zāles Y-savienojuma vietā sistēmā pacientam. Šie dati nevar tikt izmantoti, lai pagatavot zāļu maisījumus vēlākai lietošanai maisos vai šļircēs. Šī informācija ir pieejama sadaļā "Maisījuma stabilitāte".
Savienojums Šķīdinātājs Literatūras saraksts
Savietojams
Injekcija Erythromycin lactobionate 4 mg/ml
Injekcija Aciclovir sodium 5 mg/ml
5% glikoze 336
Neprecizēta nesaderība Nesavienojams
Injekcija Erythromycin lactobionate
Injekcija Amikacin sulfate
3674
Neprecizēta nesaderība Nesavienojams
Injekcija Erythromycin lactobionate
Injekcija Amikacin sulfate
3549
Neprecizēta nesaderība Nesavienojams
Injekcija Erythromycin lactobionate
Injekcija Aminophylline
3674
Savietojams
Injekcija Erythromycin lactobionate 2 mg/ml
Injekcija Amiodarone hydrochloride 4 mg/ml
Nātrija hlorīds 0.9% 385
Savietojams
Injekcija Erythromycin lactobionate 2 mg/ml
Injekcija Amiodarone hydrochloride 4 mg/ml
5% glikoze 385
Neprecizēta nesaderība Nesavienojams
Injekcija Erythromycin lactobionate
Injekcija Amobarbital sodium
3674
Neprecizēta nesaderība Nesavienojams
Injekcija Erythromycin lactobionate
Injekcija Amoxicillin sodium
3674
Tūlītēji nokrišņi Nesavienojams
Injekcija Erythromycin lactobionate 50 mg/ml
Injekcija Amoxicillin sodium / clavulanic acid 100/10 mg/ml
3824
Neprecizēta nesaderība Nesavienojams
Injekcija Erythromycin lactobionate
Injekcija Amoxicillin sodium / clavulanic acid
3674
Neprecizēta nesaderība Nesavienojams
Injekcija Erythromycin lactobionate
Injekcija Ampicillin sodium
3674
Neprecizēta nesaderība Nesavienojams
Injekcija Erythromycin lactobionate
Injekcija Ampicillin sodium - sulbactam sodium
3674
Savietojams
Injekcija Erythromycin lactobionate 5 mg/ml
Injekcija Anidulafungin 0.5 mg/ml
5% glikoze 1982
Neprecizēta nesaderība Nesavienojams
Injekcija Erythromycin lactobionate
Injekcija Ascorbic acid
5089
Neprecizēta nesaderība Nesavienojams
Injekcija Erythromycin lactobionate
Injekcija Ascorbic acid
3674
Neprecizēta nesaderība Nesavienojams
Injekcija Erythromycin lactobionate
Injekcija Aztreonam
3674
Savietojams
Injekcija Erythromycin lactobionate 5 mg/ml
Injekcija Bivalirudin 5 mg/ml
5% glikoze 1713
Savietojams
Injekcija Erythromycin lactobionate
Nātrija hlorīds 0.9% 3674
Tūlītēji nokrišņi Nesavienojams
Injekcija Erythromycin lactobionate 50 mg/ml
Injekcija Caffeine 10 mg/ml
Nekāds 3964
Neprecizēta nesaderība Nesavienojams
Injekcija Erythromycin lactobionate
Injekcija Cefalotin sodium
3674
Neprecizēta nesaderība Nesavienojams
Injekcija Erythromycin lactobionate
Injekcija Cefamandole nafate
3674
Neprecizēta nesaderība Nesavienojams
Injekcija Erythromycin lactobionate
Injekcija Cefazolin sodium
3674
Duļķainums vienā stundā Nesavienojams
Injekcija Erythromycin lactobionate 20 mg/ml
Injekcija Cefazolin sodium 220 mg/ml
805
Neprecizēta nesaderība Nesavienojams
Injekcija Erythromycin lactobionate
Injekcija Cefepime dihydrochloride
3674
Ķīmiskā nestabilitāte Nesavienojams
Injekcija Erythromycin lactobionate 5 mg/ml
Injekcija Cefepime dihydrochloride 125 mg/ml
Ūdens injekcijām 2141
Neprecizēta nesaderība Nesavienojams
Injekcija Erythromycin lactobionate
Injekcija Cefmenoxime
3674
Neprecizēta nesaderība Nesavienojams
Injekcija Erythromycin lactobionate
Injekcija Cefmetazole sodium
3674
Tūlītēji nokrišņi Nesavienojams
Injekcija Erythromycin lactobionate 10 & 50 mg/ml
Injekcija Cefmetazole sodium 100 mg/ml
Ūdens injekcijām 93
Neprecizēta nesaderība Nesavienojams
Injekcija Erythromycin lactobionate
Injekcija Cefonicid sodium
3674
Neprecizēta nesaderība Nesavienojams
Injekcija Erythromycin lactobionate
Injekcija Cefoperazone sodium
3674
Neprecizēta nesaderība Nesavienojams
Injekcija Erythromycin lactobionate
Injekcija Ceforanide
3674
Neprecizēta nesaderība Nesavienojams
Injekcija Erythromycin lactobionate
Injekcija Cefotaxime sodium
3674
Neprecizēta nesaderība Nesavienojams
Injekcija Erythromycin lactobionate
Injekcija Cefoxitin sodium
3674
Neprecizēta nesaderība Nesavienojams
Injekcija Erythromycin lactobionate
Injekcija Cefpirome sulfate
3674
Neprecizēta nesaderība Nesavienojams
Injekcija Erythromycin lactobionate
Injekcija Ceftaroline fosamil
3674
Tūlītēji nokrišņi Nesavienojams
Injekcija Erythromycin lactobionate 5 mg/ml
Injekcija Ceftazidime 125 mg/ml
Ūdens injekcijām 2141
Neprecizēta nesaderība Nesavienojams
Injekcija Erythromycin lactobionate
Injekcija Ceftazidime
3674
Tūlītēji nokrišņi Nesavienojams
Injekcija Erythromycin lactobionate 10 & 50 mg/ml
Injekcija Ceftazidime 83.3 mg/ml
1759
Neprecizēta nesaderība Nesavienojams
Injekcija Erythromycin lactobionate
Injekcija Ceftazidime Avibactam
3674
Neprecizēta nesaderība Nesavienojams
Injekcija Erythromycin lactobionate
Injekcija Ceftizoxime sodium
3674
Neprecizēta nesaderība Nesavienojams
Injekcija Erythromycin lactobionate
Injekcija Ceftobiprole medocaril sodium
3674
Neprecizēta nesaderība Nesavienojams
Injekcija Erythromycin lactobionate
Injekcija Ceftolozane / tazobactam
3674
Neprecizēta nesaderība Nesavienojams
Injekcija Erythromycin lactobionate
Injekcija Ceftriaxone disodium
3674
Neprecizēta nesaderība Nesavienojams
Injekcija Erythromycin lactobionate
Injekcija Cefuroxime sodium
3674
Neprecizēta nesaderība Nesavienojams
Injekcija Erythromycin lactobionate
Injekcija Cefuzonam
3674
Neprecizēta nesaderība Nesavienojams
Injekcija Erythromycin lactobionate
Injekcija Chloramphenicol sodium succinate
3674
Neprecizēta nesaderība Nesavienojams
Injekcija Erythromycin lactobionate
Injekcija Chlorpromazine hydrochloride
3674
Savietojams
Injekcija Erythromycin lactobionate 5 & 50 mg/ml
Injekcija Diltiazem hydrochloride 5 mg/ml
Nātrija hlorīds 0.9% 198
Neprecizēta nesaderība Nesavienojams
Injekcija Erythromycin lactobionate
Injekcija Doripenem
3674
Savietojams
Injekcija Erythromycin lactobionate 10 mg/ml
Parenterāla barošana (lipīdu-free) 939
Savietojams
Injekcija Erythromycin lactobionate 5 mg/ml
Injekcija Cimetidine hydrochloride 3 mg/ml
Nātrija hlorīds 0.9% 1201
Tūlītēji nokrišņi Nesavienojams
Injekcija Erythromycin lactobionate 50 mg/ml
Injekcija Cloxacillin sodium 100 mg/ml
Ūdens injekcijām 3012
Neprecizēta nesaderība Nesavienojams
Injekcija Erythromycin lactobionate
Injekcija Cloxacillin sodium
3674
Neprecizēta nesaderība Nesavienojams
Injekcija Erythromycin lactobionate
Injekcija Colistin mesilate sodium
3674
Savietojams
Injekcija Erythromycin lactobionate 5 mg/ml
Injekcija Dexmedetomidine 4 µg/ml
Nātrija hlorīds 0.9% 1712
Savietojams
Injekcija Erythromycin lactobionate 5 mg/ml
Injekcija Doxapram hydrochloride 2 mg/ml
5% glikoze 1802
Neprecizēta nesaderība Nesavienojams
Injekcija Erythromycin lactobionate
Injekcija Doxycycline hyclate
3674
Savietojams
Injekcija Erythromycin lactobionate 5 mg/ml
Injekcija Enalaprilate 0.05 mg/ml
Nātrija hlorīds 0.9% 1315
Neprecizēta nesaderība Nesavienojams
Injekcija Erythromycin lactobionate
Injekcija Ertapenem
3674
Savietojams
Injekcija Erythromycin lactobionate 5 mg/ml
Injekcija Esmolol hydrochloride 10 mg/ml
5% glikoze 384
Savietojams
Injekcija Erythromycin lactobionate 2 mg/ml
Injekcija Famotidine
5% glikoze 397
Savietojams
Injekcija Erythromycin lactobionate
5% glikoze 3674
Savietojams
Injekcija Erythromycin lactobionate 5 mg/ml
Injekcija Fenoldopam mesylate 80 µg/ml
Nātrija hlorīds 0.9% 1803
Neprecizēta nesaderība Nesavienojams
Injekcija Erythromycin lactobionate
Injekcija Flucloxacillin sodium
3674
Tūlītēji nokrišņi Nesavienojams
Injekcija Erythromycin lactobionate 5 mg/ml
Injekcija Flucloxacillin sodium 20 mg/ml
Nātrija hlorīds 0.9% 1232
Tūlītēji nokrišņi Nesavienojams
Injekcija Erythromycin lactobionate 20 mg/ml
Injekcija Fluconazole 2 mg/ml
Nātrija hlorīds 0.9% 496
Savietojams
Injekcija Erythromycin lactobionate 20 mg/ml
Injekcija Foscarnet sodium 24 mg/ml
Nātrija hlorīds 0.9% 1135
Savietojams
Injekcija Erythromycin lactobionate 20 mg/ml
Injekcija Foscarnet sodium 24 mg/ml
Nekāds 73
Tūlītēji nokrišņi Nesavienojams
Injekcija Erythromycin lactobionate 5 mg/ml
Injekcija Furosemide 1 mg/ml
Nātrija hlorīds 0.9% 1232
Neprecizēta nesaderība Nesavienojams
Injekcija Erythromycin lactobionate
Injekcija Gentamicin sulfate
3643
Neprecizēta nesaderība Nesavienojams
Injekcija Erythromycin lactobionate
Injekcija Gentamicin sulfate
3520
Neprecizēta nesaderība Nesavienojams
Injekcija Erythromycin lactobionate
Injekcija Gentamicin sulfate
3674
Neprecizēta nesaderība Nesavienojams
Injekcija Erythromycin lactobionate
Injekcija Heparin sodium
3674
Savietojams
Injekcija Erythromycin lactobionate 50 mg/ml
Ringera laktāta šķīdums 4603
Savietojams
Injekcija Erythromycin lactobionate 3.3 mg/ml
Injekcija Heparin sodium 50 UI/ml
Nekāds 317
Savietojams
Injekcija Erythromycin lactobionate 50 mg/ml
Parenterāla barošana (lipīdu-free) 999
Neprecizēta nesaderība Nesavienojams
Injekcija Erythromycin lactobionate
Injekcija Heparin sodium
3540
Savietojams
Injekcija Erythromycin lactobionate 5 mg/ml
Injekcija Hetastarch 60 mg/ml
īpašu šķīdinātāju 1721
Savietojams
Injekcija Erythromycin lactobionate 5 mg/ml
Injekcija Hydromorphone hydrochloride 0.2 mg/ml
5% glikoze 405
Savietojams
Injekcija Erythromycin lactobionate 2 mg/ml
Injekcija Idarubicin hydrochloride 1 mg/ml
Nātrija hlorīds 0.9% 491
Neprecizēta nesaderība Nesavienojams
Injekcija Erythromycin lactobionate
Injekcija Imipenem - cilastatin sodium
3674
Neprecizēta nesaderība Nesavienojams
Injekcija Erythromycin lactobionate
Injekcija Kanamycin sulfate
3674
Savietojams
Injekcija Erythromycin lactobionate 5 mg/ml
Injekcija Labetalol hydrochloride 1 mg/ml
5% glikoze 386
Neprecizēta nesaderība Nesavienojams
Injekcija Erythromycin lactobionate
Injekcija Levomepromazine
3674
Ķīmiskā nestabilitāte Nesavienojams
Injekcija Erythromycin lactobionate 5 mg/ml
Injekcija Linezolid 2 mg/ml
Nekāds 1607
Neprecizēta nesaderība Nesavienojams
Injekcija Erythromycin lactobionate
Injekcija Linezolid
3560
Savietojams
Injekcija Erythromycin lactobionate 5 mg/ml
Injekcija Linezolid 2 mg/ml
Nekāds 1925
Savietojams
Injekcija Erythromycin lactobionate 5 mg/ml
Injekcija Lorazepam 0.33 mg/ml
Nātrija hlorīds 0.9% 186
Savietojams
Injekcija Erythromycin lactobionate 5 mg/ml
Injekcija Magnesium sulfate 16.67 >> 100 mg/ml
5% glikoze 1047
Savietojams
Injekcija Erythromycin lactobionate 50 mg/ml
Injekcija Meropenem 50 mg/ml
Ūdens injekcijām 4319
Neprecizēta nesaderība Nesavienojams
Injekcija Erythromycin lactobionate
Injekcija Meropenem
3674
Neprecizēta nesaderība Nesavienojams
Injekcija Erythromycin lactobionate
Injekcija Mesna
3602
Neprecizēta nesaderība Nesavienojams
Injekcija Erythromycin lactobionate
Injekcija Metaraminol
5046
Neprecizēta nesaderība Nesavienojams
Injekcija Erythromycin lactobionate
Injekcija Methohexital sodium
3674
Savietojams
Injekcija Erythromycin lactobionate 5 mg/ml
Injekcija Midazolam hydrochloride 5 mg/ml
Nekāds 186
Neprecizēta nesaderība Nesavienojams
Injekcija Erythromycin lactobionate
Injekcija Minocycline hydrochloride
3674
Savietojams
Injekcija Erythromycin lactobionate 5 mg/ml
Injekcija Morphine sulfate 1 mg/ml
5% glikoze 405
Neprecizēta nesaderība Nesavienojams
Injekcija Erythromycin lactobionate
Injekcija Moxalactam
3674
Neprecizēta nesaderība Nesavienojams
Injekcija Erythromycin lactobionate
Injekcija N-acetylcysteine 200 mg/ml
Nekāds 3766
Neprecizēta nesaderība Nesavienojams
Injekcija Erythromycin lactobionate
Injekcija Nafcillin sodium
3674
Savietojams
Injekcija Erythromycin lactobionate 50 mg/ml
Injekcija Naloxone hydrochloride 0.4 mg/ml
Nekāds 3408
Neprecizēta nesaderība Nesavienojams
Injekcija Erythromycin lactobionate
Injekcija Netilmicin sulfate
3674
Savietojams
Injekcija Erythromycin lactobionate 5 mg/ml
Injekcija Nicardipine hydrochloride 0.1 mg/ml
Nātrija hlorīds 0.9% 1490
Savietojams
Injekcija Erythromycin lactobionate 5 mg/ml
Injekcija Nicardipine hydrochloride 0.1 mg/ml
5% glikoze 1490
Neprecizēta nesaderība Nesavienojams
Injekcija Erythromycin lactobionate
Injekcija Oxacillin sodium
3674
Neprecizēta nesaderība Nesavienojams
Injekcija Erythromycin lactobionate
Injekcija Oxytetracycline hydrochloride
3674
Savietojams
Injekcija Erythromycin lactobionate 50 mg/ml
Injekcija Paracetamol 10 mg/ml
4742
Neprecizēta nesaderība Nesavienojams
Injekcija Erythromycin lactobionate
Injekcija Penicillin G potassium
3674
Neprecizēta nesaderība Nesavienojams
Injekcija Erythromycin lactobionate
Injekcija Penicillin G sodium
3674
Neprecizēta nesaderība Nesavienojams
Injekcija Erythromycin lactobionate
Injekcija Pentobarbital sodium
3674
Savietojams
Injekcija Erythromycin lactobionate 5 mg/ml
Injekcija Pethidine hydrochloride 10 mg/ml
5% glikoze 405
Neprecizēta nesaderība Nesavienojams
Injekcija Erythromycin lactobionate
Injekcija Phenobarbital sodium
3674
Neprecizēta nesaderība Nesavienojams
Injekcija Erythromycin lactobionate
Injekcija Phenytoin sodium
3674
Neprecizēta nesaderība Nesavienojams
Injekcija Erythromycin lactobionate
Injekcija Piperacillin sodium
3674
Neprecizēta nesaderība Nesavienojams
Injekcija Erythromycin lactobionate
Injekcija Piperacillin sodium / tazobactam
3674
Neprecizēta nesaderība Nesavienojams
Injekcija Erythromycin lactobionate
Injekcija Plazomicin sulfate
3674
Neprecizēta nesaderība Nesavienojams
Injekcija Erythromycin lactobionate
Injekcija Prochlorperazine edysilate
3674
Neprecizēta nesaderība Nesavienojams
Injekcija Erythromycin lactobionate
Injekcija Promethazine hydrochloride
3674
Neprecizēta nesaderība Nesavienojams
Injekcija Erythromycin lactobionate
Injekcija Pyridoxine hydrochloride
3674
Neprecizēta nesaderība Nesavienojams
Injekcija Erythromycin lactobionate
Injekcija Rocuronium bromide
3564
Savietojams
Injekcija Erythromycin lactobionate 50 mg/ml
Injekcija Salbutamol sulfate 1 mg/ml
Nekāds 3216
Neprecizēta nesaderība Nesavienojams
Injekcija Erythromycin lactobionate
Injekcija Streptomycin sulfate
3674
Savietojams
Injekcija Erythromycin lactobionate 20 mg/ml
Injekcija Tacrolimus 1000 µg/ml
Nātrija hlorīds 0.9% 479
Neprecizēta nesaderība Nesavienojams
Injekcija Erythromycin lactobionate
Injekcija Temocilline
3674
Savietojams
Injekcija Erythromycin lactobionate 5 mg/ml
Injekcija Temocilline 83.33 mg/ml
Ūdens injekcijām 2231
Savietojams
Injekcija Erythromycin lactobionate 3.3 mg/ml
Injekcija Theophylline 4 mg/ml
Nekāds 317
Tūlītēji nokrišņi Nesavienojams
Injekcija Erythromycin lactobionate 50 mg/ml
Injekcija Thiopental sodium 25 mg/ml
Nātrija hlorīds 0.9% 3767
Neprecizēta nesaderība Nesavienojams
Injekcija Erythromycin lactobionate
Injekcija Thiopental sodium
3674
Neprecizēta nesaderība Nesavienojams
Injekcija Erythromycin lactobionate
Injekcija Ticarcillin / clavulanic acid
3674
Neprecizēta nesaderība Nesavienojams
Injekcija Erythromycin lactobionate
Injekcija Tigecycline
3674
Neprecizēta nesaderība Nesavienojams
Injekcija Erythromycin lactobionate
Injekcija Tobramycin sulfate
3674
Neprecizēta nesaderība Nesavienojams
Injekcija Erythromycin lactobionate
Injekcija Triflupromazine hydrochloride
3674
Savietojams
Injekcija Erythromycin lactobionate 5 mg/ml
Injekcija Vancomycin hydrochloride 10 mg/ml
5% glikoze 3385
Savietojams
Injekcija Erythromycin lactobionate 2 mg/ml
Injekcija Verapamil hydrochloride 0.08 mg/ml
Nātrija hlorīds 0.9% 1057
Savietojams
Injekcija Erythromycin lactobionate 2 mg/ml
Injekcija Verapamil hydrochloride 0.08 mg/ml
5% glikoze 1057
Savietojams
Injekcija Erythromycin lactobionate 20 mg/ml
Injekcija Zidovudine 4 mg/ml
5% glikoze 337

  Mentions Légales