Laatste update :
27/01/2026
Antibioticum   Erythromycin lactobionate  
injecteerbaar geneesmiddel
Stabiliteit in oplossing Stabiliteit in mengsels Factoren die de stabiliteit beïnvloeden Verenigbaarheden Toedieningswijze Literatuur pdf
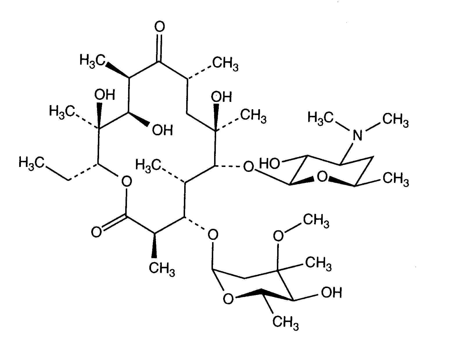
   Molecuulstructuur  

Merknamen in verschillende landen   Merknamen in verschillende landen     

Handelsnamen zijn slechts een indicatie; de samenstelling van hulpstoffen kan per land variëren afhankelijk van de fabrikant

Abboticin Denemarken, Finland, Noorwegen, Zweden
Eristin Argentinië
Erithromicina Chili
Erycinum Duitsland
Erythrocin Australië, Canada, Duitsland, Groot Britannië, Ierland, nieuw Zeeland, Oostenrijk, Saudi-Arabië, USA
Erythrocin lactobionat ADD Vantage Australië, Oostenrijk
Erythrocine België, Frankrijk, Luxemburg, Nederland, Tunisie
Erythromycin Duitsland, Groot Britannië, Hongarije, Saudi-Arabië, USA
Erythromycine Luxemburg
Erythromycinum Polen
Pantomicina Chili, Spanje
Verenigbaarheden   injecteerbaar geneesmiddel   Verenigbaarheden : Erythromycin lactobionate              
In dit scherm worden de verenigbaarheden en onverenigbaarheden weergegeven. In het geval van een onverenigbaarheid wordt ook het type (neerslag, kleurverandering, modificatie van een emulsie, etc) weergegeven. De weergegeven verenigbaarheden zijn meestal alleen op uiterlijk beoordeeld, er heeft zelden een chemische beoordeling van iedere component plaatsgevonden. De verenigbaarheden betreffen gelijktijdige toediening aan de patient middels de Y-site. De data kan niet gebruikt worden in de beoordeling van verenigbaarheden van componenten in infuuszakken of spuiten. Die informatie is te vinden onder ‘stabiliteit in mengsels’.
Stof Oplosmiddel Literatuur
Verenigbaar
injecteerbaar geneesmiddel Erythromycin lactobionate 4 mg/ml
injecteerbaar geneesmiddel Aciclovir sodium 5 mg/ml
Glucose 5% 336
Niet-gespecificeerde incompatibiliteit Onverenigbaar
injecteerbaar geneesmiddel Erythromycin lactobionate
injecteerbaar geneesmiddel Amikacin sulfate
3674
Niet-gespecificeerde incompatibiliteit Onverenigbaar
injecteerbaar geneesmiddel Erythromycin lactobionate
injecteerbaar geneesmiddel Amikacin sulfate
3549
Niet-gespecificeerde incompatibiliteit Onverenigbaar
injecteerbaar geneesmiddel Erythromycin lactobionate
injecteerbaar geneesmiddel Aminophylline
3674
Verenigbaar
injecteerbaar geneesmiddel Erythromycin lactobionate 2 mg/ml
injecteerbaar geneesmiddel Amiodarone hydrochloride 4 mg/ml
Natriumchloride 0,9% 385
Verenigbaar
injecteerbaar geneesmiddel Erythromycin lactobionate 2 mg/ml
injecteerbaar geneesmiddel Amiodarone hydrochloride 4 mg/ml
Glucose 5% 385
Niet-gespecificeerde incompatibiliteit Onverenigbaar
injecteerbaar geneesmiddel Erythromycin lactobionate
injecteerbaar geneesmiddel Amobarbital sodium
3674
Niet-gespecificeerde incompatibiliteit Onverenigbaar
injecteerbaar geneesmiddel Erythromycin lactobionate
injecteerbaar geneesmiddel Amoxicillin sodium
3674
Onmiddellijke neerslag Onverenigbaar
injecteerbaar geneesmiddel Erythromycin lactobionate 50 mg/ml
injecteerbaar geneesmiddel Amoxicillin sodium / clavulanic acid 100/10 mg/ml
3824
Niet-gespecificeerde incompatibiliteit Onverenigbaar
injecteerbaar geneesmiddel Erythromycin lactobionate
injecteerbaar geneesmiddel Amoxicillin sodium / clavulanic acid
3674
Niet-gespecificeerde incompatibiliteit Onverenigbaar
injecteerbaar geneesmiddel Erythromycin lactobionate
injecteerbaar geneesmiddel Ampicillin sodium
3674
Niet-gespecificeerde incompatibiliteit Onverenigbaar
injecteerbaar geneesmiddel Erythromycin lactobionate
injecteerbaar geneesmiddel Ampicillin sodium - sulbactam sodium
3674
Verenigbaar
injecteerbaar geneesmiddel Erythromycin lactobionate 5 mg/ml
injecteerbaar geneesmiddel Anidulafungin 0.5 mg/ml
Glucose 5% 1982
Niet-gespecificeerde incompatibiliteit Onverenigbaar
injecteerbaar geneesmiddel Erythromycin lactobionate
injecteerbaar geneesmiddel Ascorbic acid
5089
Niet-gespecificeerde incompatibiliteit Onverenigbaar
injecteerbaar geneesmiddel Erythromycin lactobionate
injecteerbaar geneesmiddel Ascorbic acid
3674
Niet-gespecificeerde incompatibiliteit Onverenigbaar
injecteerbaar geneesmiddel Erythromycin lactobionate
injecteerbaar geneesmiddel Aztreonam
3674
Verenigbaar
injecteerbaar geneesmiddel Erythromycin lactobionate 5 mg/ml
injecteerbaar geneesmiddel Bivalirudin 5 mg/ml
Glucose 5% 1713
Verenigbaar
injecteerbaar geneesmiddel Erythromycin lactobionate
Natriumchloride 0,9% 3674
Onmiddellijke neerslag Onverenigbaar
injecteerbaar geneesmiddel Erythromycin lactobionate 50 mg/ml
injecteerbaar geneesmiddel Caffeine 10 mg/ml
Geen 3964
Niet-gespecificeerde incompatibiliteit Onverenigbaar
injecteerbaar geneesmiddel Erythromycin lactobionate
injecteerbaar geneesmiddel Cefalotin sodium
3674
Niet-gespecificeerde incompatibiliteit Onverenigbaar
injecteerbaar geneesmiddel Erythromycin lactobionate
injecteerbaar geneesmiddel Cefamandole nafate
3674
Niet-gespecificeerde incompatibiliteit Onverenigbaar
injecteerbaar geneesmiddel Erythromycin lactobionate
injecteerbaar geneesmiddel Cefazolin sodium
3674
Troebelheid in een uur Onverenigbaar
injecteerbaar geneesmiddel Erythromycin lactobionate 20 mg/ml
injecteerbaar geneesmiddel Cefazolin sodium 220 mg/ml
805
Niet-gespecificeerde incompatibiliteit Onverenigbaar
injecteerbaar geneesmiddel Erythromycin lactobionate
injecteerbaar geneesmiddel Cefepime dihydrochloride
3674
Chemische instabiliteit Onverenigbaar
injecteerbaar geneesmiddel Erythromycin lactobionate 5 mg/ml
injecteerbaar geneesmiddel Cefepime dihydrochloride 125 mg/ml
Water voor injectie 2141
Niet-gespecificeerde incompatibiliteit Onverenigbaar
injecteerbaar geneesmiddel Erythromycin lactobionate
injecteerbaar geneesmiddel Cefmenoxime
3674
Niet-gespecificeerde incompatibiliteit Onverenigbaar
injecteerbaar geneesmiddel Erythromycin lactobionate
injecteerbaar geneesmiddel Cefmetazole sodium
3674
Onmiddellijke neerslag Onverenigbaar
injecteerbaar geneesmiddel Erythromycin lactobionate 10 & 50 mg/ml
injecteerbaar geneesmiddel Cefmetazole sodium 100 mg/ml
Water voor injectie 93
Niet-gespecificeerde incompatibiliteit Onverenigbaar
injecteerbaar geneesmiddel Erythromycin lactobionate
injecteerbaar geneesmiddel Cefonicid sodium
3674
Niet-gespecificeerde incompatibiliteit Onverenigbaar
injecteerbaar geneesmiddel Erythromycin lactobionate
injecteerbaar geneesmiddel Cefoperazone sodium
3674
Niet-gespecificeerde incompatibiliteit Onverenigbaar
injecteerbaar geneesmiddel Erythromycin lactobionate
injecteerbaar geneesmiddel Ceforanide
3674
Niet-gespecificeerde incompatibiliteit Onverenigbaar
injecteerbaar geneesmiddel Erythromycin lactobionate
injecteerbaar geneesmiddel Cefotaxime sodium
3674
Niet-gespecificeerde incompatibiliteit Onverenigbaar
injecteerbaar geneesmiddel Erythromycin lactobionate
injecteerbaar geneesmiddel Cefoxitin sodium
3674
Niet-gespecificeerde incompatibiliteit Onverenigbaar
injecteerbaar geneesmiddel Erythromycin lactobionate
injecteerbaar geneesmiddel Cefpirome sulfate
3674
Niet-gespecificeerde incompatibiliteit Onverenigbaar
injecteerbaar geneesmiddel Erythromycin lactobionate
injecteerbaar geneesmiddel Ceftaroline fosamil
3674
Onmiddellijke neerslag Onverenigbaar
injecteerbaar geneesmiddel Erythromycin lactobionate 5 mg/ml
injecteerbaar geneesmiddel Ceftazidime 125 mg/ml
Water voor injectie 2141
Niet-gespecificeerde incompatibiliteit Onverenigbaar
injecteerbaar geneesmiddel Erythromycin lactobionate
injecteerbaar geneesmiddel Ceftazidime
3674
Onmiddellijke neerslag Onverenigbaar
injecteerbaar geneesmiddel Erythromycin lactobionate 10 & 50 mg/ml
injecteerbaar geneesmiddel Ceftazidime 83.3 mg/ml
1759
Niet-gespecificeerde incompatibiliteit Onverenigbaar
injecteerbaar geneesmiddel Erythromycin lactobionate
injecteerbaar geneesmiddel Ceftazidime Avibactam
3674
Niet-gespecificeerde incompatibiliteit Onverenigbaar
injecteerbaar geneesmiddel Erythromycin lactobionate
injecteerbaar geneesmiddel Ceftizoxime sodium
3674
Niet-gespecificeerde incompatibiliteit Onverenigbaar
injecteerbaar geneesmiddel Erythromycin lactobionate
injecteerbaar geneesmiddel Ceftobiprole medocaril sodium
3674
Niet-gespecificeerde incompatibiliteit Onverenigbaar
injecteerbaar geneesmiddel Erythromycin lactobionate
injecteerbaar geneesmiddel Ceftolozane / tazobactam
3674
Niet-gespecificeerde incompatibiliteit Onverenigbaar
injecteerbaar geneesmiddel Erythromycin lactobionate
injecteerbaar geneesmiddel Ceftriaxone disodium
3674
Niet-gespecificeerde incompatibiliteit Onverenigbaar
injecteerbaar geneesmiddel Erythromycin lactobionate
injecteerbaar geneesmiddel Cefuroxime sodium
3674
Niet-gespecificeerde incompatibiliteit Onverenigbaar
injecteerbaar geneesmiddel Erythromycin lactobionate
injecteerbaar geneesmiddel Cefuzonam
3674
Niet-gespecificeerde incompatibiliteit Onverenigbaar
injecteerbaar geneesmiddel Erythromycin lactobionate
injecteerbaar geneesmiddel Chloramphenicol sodium succinate
3674
Niet-gespecificeerde incompatibiliteit Onverenigbaar
injecteerbaar geneesmiddel Erythromycin lactobionate
injecteerbaar geneesmiddel Chlorpromazine hydrochloride
3674
Verenigbaar
injecteerbaar geneesmiddel Erythromycin lactobionate 5 & 50 mg/ml
injecteerbaar geneesmiddel Diltiazem hydrochloride 5 mg/ml
Natriumchloride 0,9% 198
Niet-gespecificeerde incompatibiliteit Onverenigbaar
injecteerbaar geneesmiddel Erythromycin lactobionate
injecteerbaar geneesmiddel Doripenem
3674
Verenigbaar
injecteerbaar geneesmiddel Erythromycin lactobionate 10 mg/ml
Parenterale voeding (zonder vet) 939
Verenigbaar
injecteerbaar geneesmiddel Erythromycin lactobionate 5 mg/ml
injecteerbaar geneesmiddel Cimetidine hydrochloride 3 mg/ml
Natriumchloride 0,9% 1201
Onmiddellijke neerslag Onverenigbaar
injecteerbaar geneesmiddel Erythromycin lactobionate 50 mg/ml
injecteerbaar geneesmiddel Cloxacillin sodium 100 mg/ml
Water voor injectie 3012
Niet-gespecificeerde incompatibiliteit Onverenigbaar
injecteerbaar geneesmiddel Erythromycin lactobionate
injecteerbaar geneesmiddel Cloxacillin sodium
3674
Niet-gespecificeerde incompatibiliteit Onverenigbaar
injecteerbaar geneesmiddel Erythromycin lactobionate
injecteerbaar geneesmiddel Colistin mesilate sodium
3674
Verenigbaar
injecteerbaar geneesmiddel Erythromycin lactobionate 5 mg/ml
injecteerbaar geneesmiddel Dexmedetomidine 4 µg/ml
Natriumchloride 0,9% 1712
Verenigbaar
injecteerbaar geneesmiddel Erythromycin lactobionate 5 mg/ml
injecteerbaar geneesmiddel Doxapram hydrochloride 2 mg/ml
Glucose 5% 1802
Niet-gespecificeerde incompatibiliteit Onverenigbaar
injecteerbaar geneesmiddel Erythromycin lactobionate
injecteerbaar geneesmiddel Doxycycline hyclate
3674
Verenigbaar
injecteerbaar geneesmiddel Erythromycin lactobionate 5 mg/ml
injecteerbaar geneesmiddel Enalaprilate 0.05 mg/ml
Natriumchloride 0,9% 1315
Niet-gespecificeerde incompatibiliteit Onverenigbaar
injecteerbaar geneesmiddel Erythromycin lactobionate
injecteerbaar geneesmiddel Ertapenem
3674
Verenigbaar
injecteerbaar geneesmiddel Erythromycin lactobionate 5 mg/ml
injecteerbaar geneesmiddel Esmolol hydrochloride 10 mg/ml
Glucose 5% 384
Verenigbaar
injecteerbaar geneesmiddel Erythromycin lactobionate 2 mg/ml
injecteerbaar geneesmiddel Famotidine
Glucose 5% 397
Verenigbaar
injecteerbaar geneesmiddel Erythromycin lactobionate
Glucose 5% 3674
Verenigbaar
injecteerbaar geneesmiddel Erythromycin lactobionate 5 mg/ml
injecteerbaar geneesmiddel Fenoldopam mesylate 80 µg/ml
Natriumchloride 0,9% 1803
Niet-gespecificeerde incompatibiliteit Onverenigbaar
injecteerbaar geneesmiddel Erythromycin lactobionate
injecteerbaar geneesmiddel Flucloxacillin sodium
3674
Onmiddellijke neerslag Onverenigbaar
injecteerbaar geneesmiddel Erythromycin lactobionate 5 mg/ml
injecteerbaar geneesmiddel Flucloxacillin sodium 20 mg/ml
Natriumchloride 0,9% 1232
Onmiddellijke neerslag Onverenigbaar
injecteerbaar geneesmiddel Erythromycin lactobionate 20 mg/ml
injecteerbaar geneesmiddel Fluconazole 2 mg/ml
Natriumchloride 0,9% 496
Verenigbaar
injecteerbaar geneesmiddel Erythromycin lactobionate 20 mg/ml
injecteerbaar geneesmiddel Foscarnet sodium 24 mg/ml
Natriumchloride 0,9% 1135
Verenigbaar
injecteerbaar geneesmiddel Erythromycin lactobionate 20 mg/ml
injecteerbaar geneesmiddel Foscarnet sodium 24 mg/ml
Geen 73
Onmiddellijke neerslag Onverenigbaar
injecteerbaar geneesmiddel Erythromycin lactobionate 5 mg/ml
injecteerbaar geneesmiddel Furosemide 1 mg/ml
Natriumchloride 0,9% 1232
Niet-gespecificeerde incompatibiliteit Onverenigbaar
injecteerbaar geneesmiddel Erythromycin lactobionate
injecteerbaar geneesmiddel Gentamicin sulfate
3643
Niet-gespecificeerde incompatibiliteit Onverenigbaar
injecteerbaar geneesmiddel Erythromycin lactobionate
injecteerbaar geneesmiddel Gentamicin sulfate
3520
Niet-gespecificeerde incompatibiliteit Onverenigbaar
injecteerbaar geneesmiddel Erythromycin lactobionate
injecteerbaar geneesmiddel Gentamicin sulfate
3674
Niet-gespecificeerde incompatibiliteit Onverenigbaar
injecteerbaar geneesmiddel Erythromycin lactobionate
injecteerbaar geneesmiddel Heparin sodium
3674
Verenigbaar
injecteerbaar geneesmiddel Erythromycin lactobionate 50 mg/ml
Ringer-lactaat 4603
Verenigbaar
injecteerbaar geneesmiddel Erythromycin lactobionate 3.3 mg/ml
injecteerbaar geneesmiddel Heparin sodium 50 UI/ml
Geen 317
Verenigbaar
injecteerbaar geneesmiddel Erythromycin lactobionate 50 mg/ml
Parenterale voeding (zonder vet) 999
Niet-gespecificeerde incompatibiliteit Onverenigbaar
injecteerbaar geneesmiddel Erythromycin lactobionate
injecteerbaar geneesmiddel Heparin sodium
3540
Verenigbaar
injecteerbaar geneesmiddel Erythromycin lactobionate 5 mg/ml
injecteerbaar geneesmiddel Hetastarch 60 mg/ml
specifieke solvent 1721
Verenigbaar
injecteerbaar geneesmiddel Erythromycin lactobionate 5 mg/ml
injecteerbaar geneesmiddel Hydromorphone hydrochloride 0.2 mg/ml
Glucose 5% 405
Verenigbaar
injecteerbaar geneesmiddel Erythromycin lactobionate 2 mg/ml
injecteerbaar geneesmiddel Idarubicin hydrochloride 1 mg/ml
Natriumchloride 0,9% 491
Niet-gespecificeerde incompatibiliteit Onverenigbaar
injecteerbaar geneesmiddel Erythromycin lactobionate
injecteerbaar geneesmiddel Imipenem - cilastatin sodium
3674
Niet-gespecificeerde incompatibiliteit Onverenigbaar
injecteerbaar geneesmiddel Erythromycin lactobionate
injecteerbaar geneesmiddel Kanamycin sulfate
3674
Verenigbaar
injecteerbaar geneesmiddel Erythromycin lactobionate 5 mg/ml
injecteerbaar geneesmiddel Labetalol hydrochloride 1 mg/ml
Glucose 5% 386
Niet-gespecificeerde incompatibiliteit Onverenigbaar
injecteerbaar geneesmiddel Erythromycin lactobionate
injecteerbaar geneesmiddel Levomepromazine
3674
Chemische instabiliteit Onverenigbaar
injecteerbaar geneesmiddel Erythromycin lactobionate 5 mg/ml
injecteerbaar geneesmiddel Linezolid 2 mg/ml
Geen 1607
Niet-gespecificeerde incompatibiliteit Onverenigbaar
injecteerbaar geneesmiddel Erythromycin lactobionate
injecteerbaar geneesmiddel Linezolid
3560
Verenigbaar
injecteerbaar geneesmiddel Erythromycin lactobionate 5 mg/ml
injecteerbaar geneesmiddel Linezolid 2 mg/ml
Geen 1925
Verenigbaar
injecteerbaar geneesmiddel Erythromycin lactobionate 5 mg/ml
injecteerbaar geneesmiddel Lorazepam 0.33 mg/ml
Natriumchloride 0,9% 186
Verenigbaar
injecteerbaar geneesmiddel Erythromycin lactobionate 5 mg/ml
injecteerbaar geneesmiddel Magnesium sulfate 16.67 >> 100 mg/ml
Glucose 5% 1047
Verenigbaar
injecteerbaar geneesmiddel Erythromycin lactobionate 50 mg/ml
injecteerbaar geneesmiddel Meropenem 50 mg/ml
Water voor injectie 4319
Niet-gespecificeerde incompatibiliteit Onverenigbaar
injecteerbaar geneesmiddel Erythromycin lactobionate
injecteerbaar geneesmiddel Meropenem
3674
Niet-gespecificeerde incompatibiliteit Onverenigbaar
injecteerbaar geneesmiddel Erythromycin lactobionate
injecteerbaar geneesmiddel Mesna
3602
Niet-gespecificeerde incompatibiliteit Onverenigbaar
injecteerbaar geneesmiddel Erythromycin lactobionate
injecteerbaar geneesmiddel Metaraminol
5046
Niet-gespecificeerde incompatibiliteit Onverenigbaar
injecteerbaar geneesmiddel Erythromycin lactobionate
injecteerbaar geneesmiddel Methohexital sodium
3674
Verenigbaar
injecteerbaar geneesmiddel Erythromycin lactobionate 5 mg/ml
injecteerbaar geneesmiddel Midazolam hydrochloride 5 mg/ml
Geen 186
Niet-gespecificeerde incompatibiliteit Onverenigbaar
injecteerbaar geneesmiddel Erythromycin lactobionate
injecteerbaar geneesmiddel Minocycline hydrochloride
3674
Verenigbaar
injecteerbaar geneesmiddel Erythromycin lactobionate 5 mg/ml
injecteerbaar geneesmiddel Morphine sulfate 1 mg/ml
Glucose 5% 405
Niet-gespecificeerde incompatibiliteit Onverenigbaar
injecteerbaar geneesmiddel Erythromycin lactobionate
injecteerbaar geneesmiddel Moxalactam
3674
Niet-gespecificeerde incompatibiliteit Onverenigbaar
injecteerbaar geneesmiddel Erythromycin lactobionate
injecteerbaar geneesmiddel N-acetylcysteine 200 mg/ml
Geen 3766
Niet-gespecificeerde incompatibiliteit Onverenigbaar
injecteerbaar geneesmiddel Erythromycin lactobionate
injecteerbaar geneesmiddel Nafcillin sodium
3674
Verenigbaar
injecteerbaar geneesmiddel Erythromycin lactobionate 50 mg/ml
injecteerbaar geneesmiddel Naloxone hydrochloride 0.4 mg/ml
Geen 3408
Niet-gespecificeerde incompatibiliteit Onverenigbaar
injecteerbaar geneesmiddel Erythromycin lactobionate
injecteerbaar geneesmiddel Netilmicin sulfate
3674
Verenigbaar
injecteerbaar geneesmiddel Erythromycin lactobionate 5 mg/ml
injecteerbaar geneesmiddel Nicardipine hydrochloride 0.1 mg/ml
Natriumchloride 0,9% 1490
Verenigbaar
injecteerbaar geneesmiddel Erythromycin lactobionate 5 mg/ml
injecteerbaar geneesmiddel Nicardipine hydrochloride 0.1 mg/ml
Glucose 5% 1490
Niet-gespecificeerde incompatibiliteit Onverenigbaar
injecteerbaar geneesmiddel Erythromycin lactobionate
injecteerbaar geneesmiddel Oxacillin sodium
3674
Niet-gespecificeerde incompatibiliteit Onverenigbaar
injecteerbaar geneesmiddel Erythromycin lactobionate
injecteerbaar geneesmiddel Oxytetracycline hydrochloride
3674
Verenigbaar
injecteerbaar geneesmiddel Erythromycin lactobionate 50 mg/ml
injecteerbaar geneesmiddel Paracetamol 10 mg/ml
4742
Niet-gespecificeerde incompatibiliteit Onverenigbaar
injecteerbaar geneesmiddel Erythromycin lactobionate
injecteerbaar geneesmiddel Penicillin G potassium
3674
Niet-gespecificeerde incompatibiliteit Onverenigbaar
injecteerbaar geneesmiddel Erythromycin lactobionate
injecteerbaar geneesmiddel Penicillin G sodium
3674
Niet-gespecificeerde incompatibiliteit Onverenigbaar
injecteerbaar geneesmiddel Erythromycin lactobionate
injecteerbaar geneesmiddel Pentobarbital sodium
3674
Verenigbaar
injecteerbaar geneesmiddel Erythromycin lactobionate 5 mg/ml
injecteerbaar geneesmiddel Pethidine hydrochloride 10 mg/ml
Glucose 5% 405
Niet-gespecificeerde incompatibiliteit Onverenigbaar
injecteerbaar geneesmiddel Erythromycin lactobionate
injecteerbaar geneesmiddel Phenobarbital sodium
3674
Niet-gespecificeerde incompatibiliteit Onverenigbaar
injecteerbaar geneesmiddel Erythromycin lactobionate
injecteerbaar geneesmiddel Phenytoin sodium
3674
Niet-gespecificeerde incompatibiliteit Onverenigbaar
injecteerbaar geneesmiddel Erythromycin lactobionate
injecteerbaar geneesmiddel Piperacillin sodium
3674
Niet-gespecificeerde incompatibiliteit Onverenigbaar
injecteerbaar geneesmiddel Erythromycin lactobionate
injecteerbaar geneesmiddel Piperacillin sodium / tazobactam
3674
Niet-gespecificeerde incompatibiliteit Onverenigbaar
injecteerbaar geneesmiddel Erythromycin lactobionate
injecteerbaar geneesmiddel Plazomicin sulfate
3674
Niet-gespecificeerde incompatibiliteit Onverenigbaar
injecteerbaar geneesmiddel Erythromycin lactobionate
injecteerbaar geneesmiddel Prochlorperazine edysilate
3674
Niet-gespecificeerde incompatibiliteit Onverenigbaar
injecteerbaar geneesmiddel Erythromycin lactobionate
injecteerbaar geneesmiddel Promethazine hydrochloride
3674
Niet-gespecificeerde incompatibiliteit Onverenigbaar
injecteerbaar geneesmiddel Erythromycin lactobionate
injecteerbaar geneesmiddel Pyridoxine hydrochloride
3674
Niet-gespecificeerde incompatibiliteit Onverenigbaar
injecteerbaar geneesmiddel Erythromycin lactobionate
injecteerbaar geneesmiddel Rocuronium bromide
3564
Verenigbaar
injecteerbaar geneesmiddel Erythromycin lactobionate 50 mg/ml
injecteerbaar geneesmiddel Salbutamol sulfate 1 mg/ml
Geen 3216
Niet-gespecificeerde incompatibiliteit Onverenigbaar
injecteerbaar geneesmiddel Erythromycin lactobionate
injecteerbaar geneesmiddel Streptomycin sulfate
3674
Verenigbaar
injecteerbaar geneesmiddel Erythromycin lactobionate 20 mg/ml
injecteerbaar geneesmiddel Tacrolimus 1000 µg/ml
Natriumchloride 0,9% 479
Niet-gespecificeerde incompatibiliteit Onverenigbaar
injecteerbaar geneesmiddel Erythromycin lactobionate
injecteerbaar geneesmiddel Temocilline
3674
Verenigbaar
injecteerbaar geneesmiddel Erythromycin lactobionate 5 mg/ml
injecteerbaar geneesmiddel Temocilline 83.33 mg/ml
Water voor injectie 2231
Verenigbaar
injecteerbaar geneesmiddel Erythromycin lactobionate 3.3 mg/ml
injecteerbaar geneesmiddel Theophylline 4 mg/ml
Geen 317
Onmiddellijke neerslag Onverenigbaar
injecteerbaar geneesmiddel Erythromycin lactobionate 50 mg/ml
injecteerbaar geneesmiddel Thiopental sodium 25 mg/ml
Natriumchloride 0,9% 3767
Niet-gespecificeerde incompatibiliteit Onverenigbaar
injecteerbaar geneesmiddel Erythromycin lactobionate
injecteerbaar geneesmiddel Thiopental sodium
3674
Niet-gespecificeerde incompatibiliteit Onverenigbaar
injecteerbaar geneesmiddel Erythromycin lactobionate
injecteerbaar geneesmiddel Ticarcillin / clavulanic acid
3674
Niet-gespecificeerde incompatibiliteit Onverenigbaar
injecteerbaar geneesmiddel Erythromycin lactobionate
injecteerbaar geneesmiddel Tigecycline
3674
Niet-gespecificeerde incompatibiliteit Onverenigbaar
injecteerbaar geneesmiddel Erythromycin lactobionate
injecteerbaar geneesmiddel Tobramycin sulfate
3674
Niet-gespecificeerde incompatibiliteit Onverenigbaar
injecteerbaar geneesmiddel Erythromycin lactobionate
injecteerbaar geneesmiddel Triflupromazine hydrochloride
3674
Verenigbaar
injecteerbaar geneesmiddel Erythromycin lactobionate 5 mg/ml
injecteerbaar geneesmiddel Vancomycin hydrochloride 10 mg/ml
Glucose 5% 3385
Verenigbaar
injecteerbaar geneesmiddel Erythromycin lactobionate 2 mg/ml
injecteerbaar geneesmiddel Verapamil hydrochloride 0.08 mg/ml
Natriumchloride 0,9% 1057
Verenigbaar
injecteerbaar geneesmiddel Erythromycin lactobionate 2 mg/ml
injecteerbaar geneesmiddel Verapamil hydrochloride 0.08 mg/ml
Glucose 5% 1057
Verenigbaar
injecteerbaar geneesmiddel Erythromycin lactobionate 20 mg/ml
injecteerbaar geneesmiddel Zidovudine 4 mg/ml
Glucose 5% 337

  Mentions Légales