Последно актуализиране :
27/04/2026
Антибиотик   Erythromycin lactobionate  
Инжекция/Инжекционен
Стабилност на разтвори Стабилност на смеси Фактори, повлияващи стабилността Съвместимост Път на въвеждане Библиография Pdf
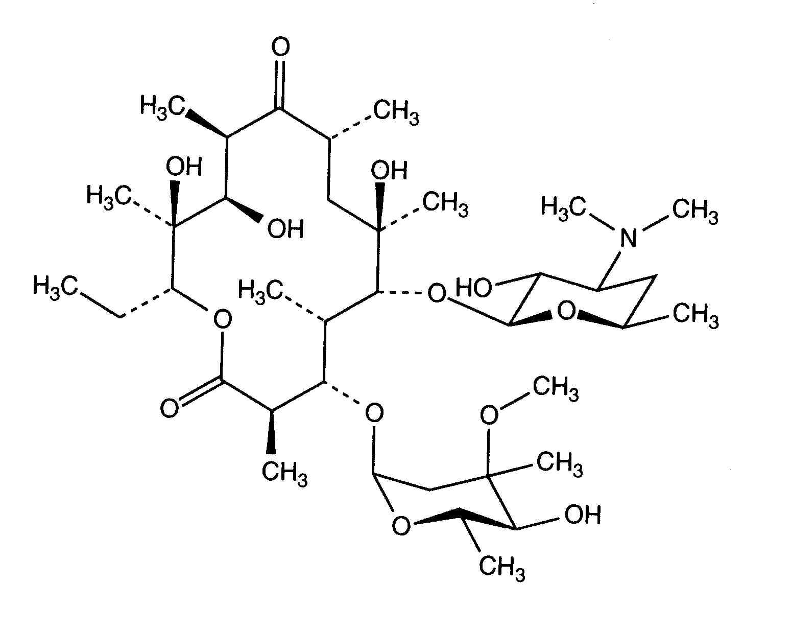
   Химична структура  

Търговско наименование   Търговско наименование     

Търговските имена са примерни и съставът на помощните вещества може да бъде различен в зависимост от държавата и лабораториите

Abboticin Дания, Норвегия, Финландия, Швеция
Eristin Аржентина
Erithromicina Чили
Erycinum Германия
Erythrocin Австралия, Австрия, Великобритания, Германия, Ирландия, Канада, нова Зеландия, Саудитска Арабия, Съединени Американски щати / САЩ
Erythrocin lactobionat ADD Vantage Австралия, Австрия
Erythrocine Белгия, Люксенбург, Тунис, Франция, Холандия
Erythromycin Великобритания, Германия, Саудитска Арабия, Съединени Американски щати / САЩ, Унгария
Erythromycine Люксенбург
Erythromycinum Полша
Pantomicina Испания, Чили
Съвместимост   Инжекция/Инжекционен   Съвместимост : Erythromycin lactobionate              
Този екран показва съвместимостта или несъвместимостта с, в този случай, вида на несъвместимостта (утаяване, промяна на цвета, модификация на емулсия и др.). Показаните тук съвместимости са предимно физически, като рядко се оценява химическата стабилност на всяка молекула. Оценката на тези смеси беше проучена, за да се разгледа възможността за приложение на Y-място на пациента. Тези данни не могат да се използват за предварително приготвяне на смеси в торбички или спринцовки. Този тип информация е достъпна на екрана "Стабилност в сместа".
Състав / молекула Разтворител Библиография
съвместим
Инжекция/Инжекционен Erythromycin lactobionate 4 mg/ml
Инжекция/Инжекционен Aciclovir sodium 5 mg/ml
Glucose 5% 336
Неопределена несъвместимост Несъвместим
Инжекция/Инжекционен Erythromycin lactobionate
Инжекция/Инжекционен Amikacin sulfate
3674
Неопределена несъвместимост Несъвместим
Инжекция/Инжекционен Erythromycin lactobionate
Инжекция/Инжекционен Amikacin sulfate
3549
Неопределена несъвместимост Несъвместим
Инжекция/Инжекционен Erythromycin lactobionate
Инжекция/Инжекционен Aminophylline
3674
съвместим
Инжекция/Инжекционен Erythromycin lactobionate 2 mg/ml
Инжекция/Инжекционен Amiodarone hydrochloride 4 mg/ml
Sodium chloride 0,9% 385
съвместим
Инжекция/Инжекционен Erythromycin lactobionate 2 mg/ml
Инжекция/Инжекционен Amiodarone hydrochloride 4 mg/ml
Glucose 5% 385
Неопределена несъвместимост Несъвместим
Инжекция/Инжекционен Erythromycin lactobionate
Инжекция/Инжекционен Amobarbital sodium
3674
Неопределена несъвместимост Несъвместим
Инжекция/Инжекционен Erythromycin lactobionate
Инжекция/Инжекционен Amoxicillin sodium
3674
Незабавни валежи Несъвместим
Инжекция/Инжекционен Erythromycin lactobionate 50 mg/ml
Инжекция/Инжекционен Amoxicillin sodium / clavulanic acid 100/10 mg/ml
3824
Неопределена несъвместимост Несъвместим
Инжекция/Инжекционен Erythromycin lactobionate
Инжекция/Инжекционен Amoxicillin sodium / clavulanic acid
3674
Неопределена несъвместимост Несъвместим
Инжекция/Инжекционен Erythromycin lactobionate
Инжекция/Инжекционен Ampicillin sodium
3674
Неопределена несъвместимост Несъвместим
Инжекция/Инжекционен Erythromycin lactobionate
Инжекция/Инжекционен Ampicillin sodium - sulbactam sodium
3674
съвместим
Инжекция/Инжекционен Erythromycin lactobionate 5 mg/ml
Инжекция/Инжекционен Anidulafungin 0.5 mg/ml
Glucose 5% 1982
Неопределена несъвместимост Несъвместим
Инжекция/Инжекционен Erythromycin lactobionate
Инжекция/Инжекционен Ascorbic acid
5089
Неопределена несъвместимост Несъвместим
Инжекция/Инжекционен Erythromycin lactobionate
Инжекция/Инжекционен Ascorbic acid
3674
Неопределена несъвместимост Несъвместим
Инжекция/Инжекционен Erythromycin lactobionate
Инжекция/Инжекционен Aztreonam
3674
съвместим
Инжекция/Инжекционен Erythromycin lactobionate 5 mg/ml
Инжекция/Инжекционен Bivalirudin 5 mg/ml
Glucose 5% 1713
съвместим
Инжекция/Инжекционен Erythromycin lactobionate
Sodium chloride 0,9% 3674
Незабавни валежи Несъвместим
Инжекция/Инжекционен Erythromycin lactobionate 50 mg/ml
Инжекция/Инжекционен Caffeine 10 mg/ml
Няма 3964
Неопределена несъвместимост Несъвместим
Инжекция/Инжекционен Erythromycin lactobionate
Инжекция/Инжекционен Cefalotin sodium
3674
Неопределена несъвместимост Несъвместим
Инжекция/Инжекционен Erythromycin lactobionate
Инжекция/Инжекционен Cefamandole nafate
3674
Неопределена несъвместимост Несъвместим
Инжекция/Инжекционен Erythromycin lactobionate
Инжекция/Инжекционен Cefazolin sodium
3674
Мътност за един час Несъвместим
Инжекция/Инжекционен Erythromycin lactobionate 20 mg/ml
Инжекция/Инжекционен Cefazolin sodium 220 mg/ml
805
Неопределена несъвместимост Несъвместим
Инжекция/Инжекционен Erythromycin lactobionate
Инжекция/Инжекционен Cefepime dihydrochloride
3674
Химическа нестабилност Несъвместим
Инжекция/Инжекционен Erythromycin lactobionate 5 mg/ml
Инжекция/Инжекционен Cefepime dihydrochloride 125 mg/ml
Вода за инжекции 2141
Неопределена несъвместимост Несъвместим
Инжекция/Инжекционен Erythromycin lactobionate
Инжекция/Инжекционен Cefmenoxime
3674
Неопределена несъвместимост Несъвместим
Инжекция/Инжекционен Erythromycin lactobionate
Инжекция/Инжекционен Cefmetazole sodium
3674
Незабавни валежи Несъвместим
Инжекция/Инжекционен Erythromycin lactobionate 10 & 50 mg/ml
Инжекция/Инжекционен Cefmetazole sodium 100 mg/ml
Вода за инжекции 93
Неопределена несъвместимост Несъвместим
Инжекция/Инжекционен Erythromycin lactobionate
Инжекция/Инжекционен Cefonicid sodium
3674
Неопределена несъвместимост Несъвместим
Инжекция/Инжекционен Erythromycin lactobionate
Инжекция/Инжекционен Cefoperazone sodium
3674
Неопределена несъвместимост Несъвместим
Инжекция/Инжекционен Erythromycin lactobionate
Инжекция/Инжекционен Ceforanide
3674
Неопределена несъвместимост Несъвместим
Инжекция/Инжекционен Erythromycin lactobionate
Инжекция/Инжекционен Cefotaxime sodium
3674
Неопределена несъвместимост Несъвместим
Инжекция/Инжекционен Erythromycin lactobionate
Инжекция/Инжекционен Cefoxitin sodium
3674
Неопределена несъвместимост Несъвместим
Инжекция/Инжекционен Erythromycin lactobionate
Инжекция/Инжекционен Cefpirome sulfate
3674
Неопределена несъвместимост Несъвместим
Инжекция/Инжекционен Erythromycin lactobionate
Инжекция/Инжекционен Ceftaroline fosamil
3674
Незабавни валежи Несъвместим
Инжекция/Инжекционен Erythromycin lactobionate 5 mg/ml
Инжекция/Инжекционен Ceftazidime 125 mg/ml
Вода за инжекции 2141
Неопределена несъвместимост Несъвместим
Инжекция/Инжекционен Erythromycin lactobionate
Инжекция/Инжекционен Ceftazidime
3674
Незабавни валежи Несъвместим
Инжекция/Инжекционен Erythromycin lactobionate 10 & 50 mg/ml
Инжекция/Инжекционен Ceftazidime 83.3 mg/ml
1759
Неопределена несъвместимост Несъвместим
Инжекция/Инжекционен Erythromycin lactobionate
Инжекция/Инжекционен Ceftazidime Avibactam
3674
Неопределена несъвместимост Несъвместим
Инжекция/Инжекционен Erythromycin lactobionate
Инжекция/Инжекционен Ceftizoxime sodium
3674
Неопределена несъвместимост Несъвместим
Инжекция/Инжекционен Erythromycin lactobionate
Инжекция/Инжекционен Ceftobiprole medocaril sodium
3674
Неопределена несъвместимост Несъвместим
Инжекция/Инжекционен Erythromycin lactobionate
Инжекция/Инжекционен Ceftolozane / tazobactam
3674
Неопределена несъвместимост Несъвместим
Инжекция/Инжекционен Erythromycin lactobionate
Инжекция/Инжекционен Ceftriaxone disodium
3674
Неопределена несъвместимост Несъвместим
Инжекция/Инжекционен Erythromycin lactobionate
Инжекция/Инжекционен Cefuroxime sodium
3674
Неопределена несъвместимост Несъвместим
Инжекция/Инжекционен Erythromycin lactobionate
Инжекция/Инжекционен Cefuzonam
3674
Неопределена несъвместимост Несъвместим
Инжекция/Инжекционен Erythromycin lactobionate
Инжекция/Инжекционен Chloramphenicol sodium succinate
3674
Неопределена несъвместимост Несъвместим
Инжекция/Инжекционен Erythromycin lactobionate
Инжекция/Инжекционен Chlorpromazine hydrochloride
3674
съвместим
Инжекция/Инжекционен Erythromycin lactobionate 5 & 50 mg/ml
Инжекция/Инжекционен Diltiazem hydrochloride 5 mg/ml
Sodium chloride 0,9% 198
Неопределена несъвместимост Несъвместим
Инжекция/Инжекционен Erythromycin lactobionate
Инжекция/Инжекционен Doripenem
3674
съвместим
Инжекция/Инжекционен Erythromycin lactobionate 10 mg/ml
Парентерално хранене (липидите безплатно) 939
съвместим
Инжекция/Инжекционен Erythromycin lactobionate 5 mg/ml
Инжекция/Инжекционен Cimetidine hydrochloride 3 mg/ml
Sodium chloride 0,9% 1201
Незабавни валежи Несъвместим
Инжекция/Инжекционен Erythromycin lactobionate 50 mg/ml
Инжекция/Инжекционен Cloxacillin sodium 100 mg/ml
Вода за инжекции 3012
Неопределена несъвместимост Несъвместим
Инжекция/Инжекционен Erythromycin lactobionate
Инжекция/Инжекционен Cloxacillin sodium
3674
Неопределена несъвместимост Несъвместим
Инжекция/Инжекционен Erythromycin lactobionate
Инжекция/Инжекционен Colistin mesilate sodium
3674
съвместим
Инжекция/Инжекционен Erythromycin lactobionate 5 mg/ml
Инжекция/Инжекционен Dexmedetomidine 4 µg/ml
Sodium chloride 0,9% 1712
съвместим
Инжекция/Инжекционен Erythromycin lactobionate 5 mg/ml
Инжекция/Инжекционен Doxapram hydrochloride 2 mg/ml
Glucose 5% 1802
Неопределена несъвместимост Несъвместим
Инжекция/Инжекционен Erythromycin lactobionate
Инжекция/Инжекционен Doxycycline hyclate
3674
съвместим
Инжекция/Инжекционен Erythromycin lactobionate 5 mg/ml
Инжекция/Инжекционен Enalaprilate 0.05 mg/ml
Sodium chloride 0,9% 1315
Неопределена несъвместимост Несъвместим
Инжекция/Инжекционен Erythromycin lactobionate
Инжекция/Инжекционен Ertapenem
3674
съвместим
Инжекция/Инжекционен Erythromycin lactobionate 5 mg/ml
Инжекция/Инжекционен Esmolol hydrochloride 10 mg/ml
Glucose 5% 384
съвместим
Инжекция/Инжекционен Erythromycin lactobionate 2 mg/ml
Инжекция/Инжекционен Famotidine
Glucose 5% 397
съвместим
Инжекция/Инжекционен Erythromycin lactobionate
Glucose 5% 3674
съвместим
Инжекция/Инжекционен Erythromycin lactobionate 5 mg/ml
Инжекция/Инжекционен Fenoldopam mesylate 80 µg/ml
Sodium chloride 0,9% 1803
Неопределена несъвместимост Несъвместим
Инжекция/Инжекционен Erythromycin lactobionate
Инжекция/Инжекционен Flucloxacillin sodium
3674
Незабавни валежи Несъвместим
Инжекция/Инжекционен Erythromycin lactobionate 5 mg/ml
Инжекция/Инжекционен Flucloxacillin sodium 20 mg/ml
Sodium chloride 0,9% 1232
Незабавни валежи Несъвместим
Инжекция/Инжекционен Erythromycin lactobionate 20 mg/ml
Инжекция/Инжекционен Fluconazole 2 mg/ml
Sodium chloride 0,9% 496
съвместим
Инжекция/Инжекционен Erythromycin lactobionate 20 mg/ml
Инжекция/Инжекционен Foscarnet sodium 24 mg/ml
Sodium chloride 0,9% 1135
съвместим
Инжекция/Инжекционен Erythromycin lactobionate 20 mg/ml
Инжекция/Инжекционен Foscarnet sodium 24 mg/ml
Няма 73
Незабавни валежи Несъвместим
Инжекция/Инжекционен Erythromycin lactobionate 5 mg/ml
Инжекция/Инжекционен Furosemide 1 mg/ml
Sodium chloride 0,9% 1232
Неопределена несъвместимост Несъвместим
Инжекция/Инжекционен Erythromycin lactobionate
Инжекция/Инжекционен Gentamicin sulfate
3643
Неопределена несъвместимост Несъвместим
Инжекция/Инжекционен Erythromycin lactobionate
Инжекция/Инжекционен Gentamicin sulfate
3520
Неопределена несъвместимост Несъвместим
Инжекция/Инжекционен Erythromycin lactobionate
Инжекция/Инжекционен Gentamicin sulfate
3674
Неопределена несъвместимост Несъвместим
Инжекция/Инжекционен Erythromycin lactobionate
Инжекция/Инжекционен Heparin sodium
3674
съвместим
Инжекция/Инжекционен Erythromycin lactobionate 50 mg/ml
Ринтер лактат 4603
съвместим
Инжекция/Инжекционен Erythromycin lactobionate 3.3 mg/ml
Инжекция/Инжекционен Heparin sodium 50 UI/ml
Няма 317
съвместим
Инжекция/Инжекционен Erythromycin lactobionate 50 mg/ml
Парентерално хранене (липидите безплатно) 999
Неопределена несъвместимост Несъвместим
Инжекция/Инжекционен Erythromycin lactobionate
Инжекция/Инжекционен Heparin sodium
3540
съвместим
Инжекция/Инжекционен Erythromycin lactobionate 5 mg/ml
Инжекция/Инжекционен Hetastarch 60 mg/ml
Специфична разтворител 1721
съвместим
Инжекция/Инжекционен Erythromycin lactobionate 5 mg/ml
Инжекция/Инжекционен Hydromorphone hydrochloride 0.2 mg/ml
Glucose 5% 405
съвместим
Инжекция/Инжекционен Erythromycin lactobionate 2 mg/ml
Инжекция/Инжекционен Idarubicin hydrochloride 1 mg/ml
Sodium chloride 0,9% 491
Неопределена несъвместимост Несъвместим
Инжекция/Инжекционен Erythromycin lactobionate
Инжекция/Инжекционен Imipenem - cilastatin sodium
3674
Неопределена несъвместимост Несъвместим
Инжекция/Инжекционен Erythromycin lactobionate
Инжекция/Инжекционен Kanamycin sulfate
3674
съвместим
Инжекция/Инжекционен Erythromycin lactobionate 5 mg/ml
Инжекция/Инжекционен Labetalol hydrochloride 1 mg/ml
Glucose 5% 386
Неопределена несъвместимост Несъвместим
Инжекция/Инжекционен Erythromycin lactobionate
Инжекция/Инжекционен Levomepromazine
3674
Химическа нестабилност Несъвместим
Инжекция/Инжекционен Erythromycin lactobionate 5 mg/ml
Инжекция/Инжекционен Linezolid 2 mg/ml
Няма 1607
Неопределена несъвместимост Несъвместим
Инжекция/Инжекционен Erythromycin lactobionate
Инжекция/Инжекционен Linezolid
3560
съвместим
Инжекция/Инжекционен Erythromycin lactobionate 5 mg/ml
Инжекция/Инжекционен Linezolid 2 mg/ml
Няма 1925
съвместим
Инжекция/Инжекционен Erythromycin lactobionate 5 mg/ml
Инжекция/Инжекционен Lorazepam 0.33 mg/ml
Sodium chloride 0,9% 186
съвместим
Инжекция/Инжекционен Erythromycin lactobionate 5 mg/ml
Инжекция/Инжекционен Magnesium sulfate 16.67 >> 100 mg/ml
Glucose 5% 1047
съвместим
Инжекция/Инжекционен Erythromycin lactobionate 50 mg/ml
Инжекция/Инжекционен Meropenem 50 mg/ml
Вода за инжекции 4319
Неопределена несъвместимост Несъвместим
Инжекция/Инжекционен Erythromycin lactobionate
Инжекция/Инжекционен Meropenem
3674
Неопределена несъвместимост Несъвместим
Инжекция/Инжекционен Erythromycin lactobionate
Инжекция/Инжекционен Mesna
3602
Неопределена несъвместимост Несъвместим
Инжекция/Инжекционен Erythromycin lactobionate
Инжекция/Инжекционен Metaraminol
5046
Неопределена несъвместимост Несъвместим
Инжекция/Инжекционен Erythromycin lactobionate
Инжекция/Инжекционен Methohexital sodium
3674
съвместим
Инжекция/Инжекционен Erythromycin lactobionate 5 mg/ml
Инжекция/Инжекционен Midazolam hydrochloride 5 mg/ml
Няма 186
Неопределена несъвместимост Несъвместим
Инжекция/Инжекционен Erythromycin lactobionate
Инжекция/Инжекционен Minocycline hydrochloride
3674
съвместим
Инжекция/Инжекционен Erythromycin lactobionate 5 mg/ml
Инжекция/Инжекционен Morphine sulfate 1 mg/ml
Glucose 5% 405
Неопределена несъвместимост Несъвместим
Инжекция/Инжекционен Erythromycin lactobionate
Инжекция/Инжекционен Moxalactam
3674
Неопределена несъвместимост Несъвместим
Инжекция/Инжекционен Erythromycin lactobionate
Инжекция/Инжекционен N-acetylcysteine 200 mg/ml
Няма 3766
Неопределена несъвместимост Несъвместим
Инжекция/Инжекционен Erythromycin lactobionate
Инжекция/Инжекционен Nafcillin sodium
3674
съвместим
Инжекция/Инжекционен Erythromycin lactobionate 50 mg/ml
Инжекция/Инжекционен Naloxone hydrochloride 0.4 mg/ml
Няма 3408
Неопределена несъвместимост Несъвместим
Инжекция/Инжекционен Erythromycin lactobionate
Инжекция/Инжекционен Netilmicin sulfate
3674
съвместим
Инжекция/Инжекционен Erythromycin lactobionate 5 mg/ml
Инжекция/Инжекционен Nicardipine hydrochloride 0.1 mg/ml
Sodium chloride 0,9% 1490
съвместим
Инжекция/Инжекционен Erythromycin lactobionate 5 mg/ml
Инжекция/Инжекционен Nicardipine hydrochloride 0.1 mg/ml
Glucose 5% 1490
Неопределена несъвместимост Несъвместим
Инжекция/Инжекционен Erythromycin lactobionate
Инжекция/Инжекционен Oxacillin sodium
3674
Неопределена несъвместимост Несъвместим
Инжекция/Инжекционен Erythromycin lactobionate
Инжекция/Инжекционен Oxytetracycline hydrochloride
3674
съвместим
Инжекция/Инжекционен Erythromycin lactobionate 50 mg/ml
Инжекция/Инжекционен Paracetamol 10 mg/ml
4742
Неопределена несъвместимост Несъвместим
Инжекция/Инжекционен Erythromycin lactobionate
Инжекция/Инжекционен Penicillin G potassium
3674
Неопределена несъвместимост Несъвместим
Инжекция/Инжекционен Erythromycin lactobionate
Инжекция/Инжекционен Penicillin G sodium
3674
Неопределена несъвместимост Несъвместим
Инжекция/Инжекционен Erythromycin lactobionate
Инжекция/Инжекционен Pentobarbital sodium
3674
съвместим
Инжекция/Инжекционен Erythromycin lactobionate 5 mg/ml
Инжекция/Инжекционен Pethidine hydrochloride 10 mg/ml
Glucose 5% 405
Неопределена несъвместимост Несъвместим
Инжекция/Инжекционен Erythromycin lactobionate
Инжекция/Инжекционен Phenobarbital sodium
3674
Неопределена несъвместимост Несъвместим
Инжекция/Инжекционен Erythromycin lactobionate
Инжекция/Инжекционен Phenytoin sodium
3674
Неопределена несъвместимост Несъвместим
Инжекция/Инжекционен Erythromycin lactobionate
Инжекция/Инжекционен Piperacillin sodium
3674
Неопределена несъвместимост Несъвместим
Инжекция/Инжекционен Erythromycin lactobionate
Инжекция/Инжекционен Piperacillin sodium / tazobactam
3674
Неопределена несъвместимост Несъвместим
Инжекция/Инжекционен Erythromycin lactobionate
Инжекция/Инжекционен Plazomicin sulfate
3674
Неопределена несъвместимост Несъвместим
Инжекция/Инжекционен Erythromycin lactobionate
Инжекция/Инжекционен Prochlorperazine edysilate
3674
Неопределена несъвместимост Несъвместим
Инжекция/Инжекционен Erythromycin lactobionate
Инжекция/Инжекционен Promethazine hydrochloride
3674
Неопределена несъвместимост Несъвместим
Инжекция/Инжекционен Erythromycin lactobionate
Инжекция/Инжекционен Pyridoxine hydrochloride
3674
Неопределена несъвместимост Несъвместим
Инжекция/Инжекционен Erythromycin lactobionate
Инжекция/Инжекционен Rocuronium bromide
3564
съвместим
Инжекция/Инжекционен Erythromycin lactobionate 50 mg/ml
Инжекция/Инжекционен Salbutamol sulfate 1 mg/ml
Няма 3216
Неопределена несъвместимост Несъвместим
Инжекция/Инжекционен Erythromycin lactobionate
Инжекция/Инжекционен Streptomycin sulfate
3674
съвместим
Инжекция/Инжекционен Erythromycin lactobionate 20 mg/ml
Инжекция/Инжекционен Tacrolimus 1000 µg/ml
Sodium chloride 0,9% 479
Неопределена несъвместимост Несъвместим
Инжекция/Инжекционен Erythromycin lactobionate
Инжекция/Инжекционен Temocilline
3674
съвместим
Инжекция/Инжекционен Erythromycin lactobionate 5 mg/ml
Инжекция/Инжекционен Temocilline 83.33 mg/ml
Вода за инжекции 2231
съвместим
Инжекция/Инжекционен Erythromycin lactobionate 3.3 mg/ml
Инжекция/Инжекционен Theophylline 4 mg/ml
Няма 317
Незабавни валежи Несъвместим
Инжекция/Инжекционен Erythromycin lactobionate 50 mg/ml
Инжекция/Инжекционен Thiopental sodium 25 mg/ml
Sodium chloride 0,9% 3767
Неопределена несъвместимост Несъвместим
Инжекция/Инжекционен Erythromycin lactobionate
Инжекция/Инжекционен Thiopental sodium
3674
Неопределена несъвместимост Несъвместим
Инжекция/Инжекционен Erythromycin lactobionate
Инжекция/Инжекционен Ticarcillin / clavulanic acid
3674
Неопределена несъвместимост Несъвместим
Инжекция/Инжекционен Erythromycin lactobionate
Инжекция/Инжекционен Tigecycline
3674
Неопределена несъвместимост Несъвместим
Инжекция/Инжекционен Erythromycin lactobionate
Инжекция/Инжекционен Tobramycin sulfate
3674
Неопределена несъвместимост Несъвместим
Инжекция/Инжекционен Erythromycin lactobionate
Инжекция/Инжекционен Triflupromazine hydrochloride
3674
съвместим
Инжекция/Инжекционен Erythromycin lactobionate 5 mg/ml
Инжекция/Инжекционен Vancomycin hydrochloride 10 mg/ml
Glucose 5% 3385
съвместим
Инжекция/Инжекционен Erythromycin lactobionate 2 mg/ml
Инжекция/Инжекционен Verapamil hydrochloride 0.08 mg/ml
Sodium chloride 0,9% 1057
съвместим
Инжекция/Инжекционен Erythromycin lactobionate 2 mg/ml
Инжекция/Инжекционен Verapamil hydrochloride 0.08 mg/ml
Glucose 5% 1057
съвместим
Инжекция/Инжекционен Erythromycin lactobionate 20 mg/ml
Инжекция/Инжекционен Zidovudine 4 mg/ml
Glucose 5% 337

  Mentions Légales