Utolsó frissítés :
27/04/2026
Antibiotikum   Erythromycin lactobionate  
Injekció
Az oldatok stabilitása A keverékek stabilitása Stabilitást befolyásoló tényezők Kompatibilitás Az alkalmazás módja Irodalom pdf
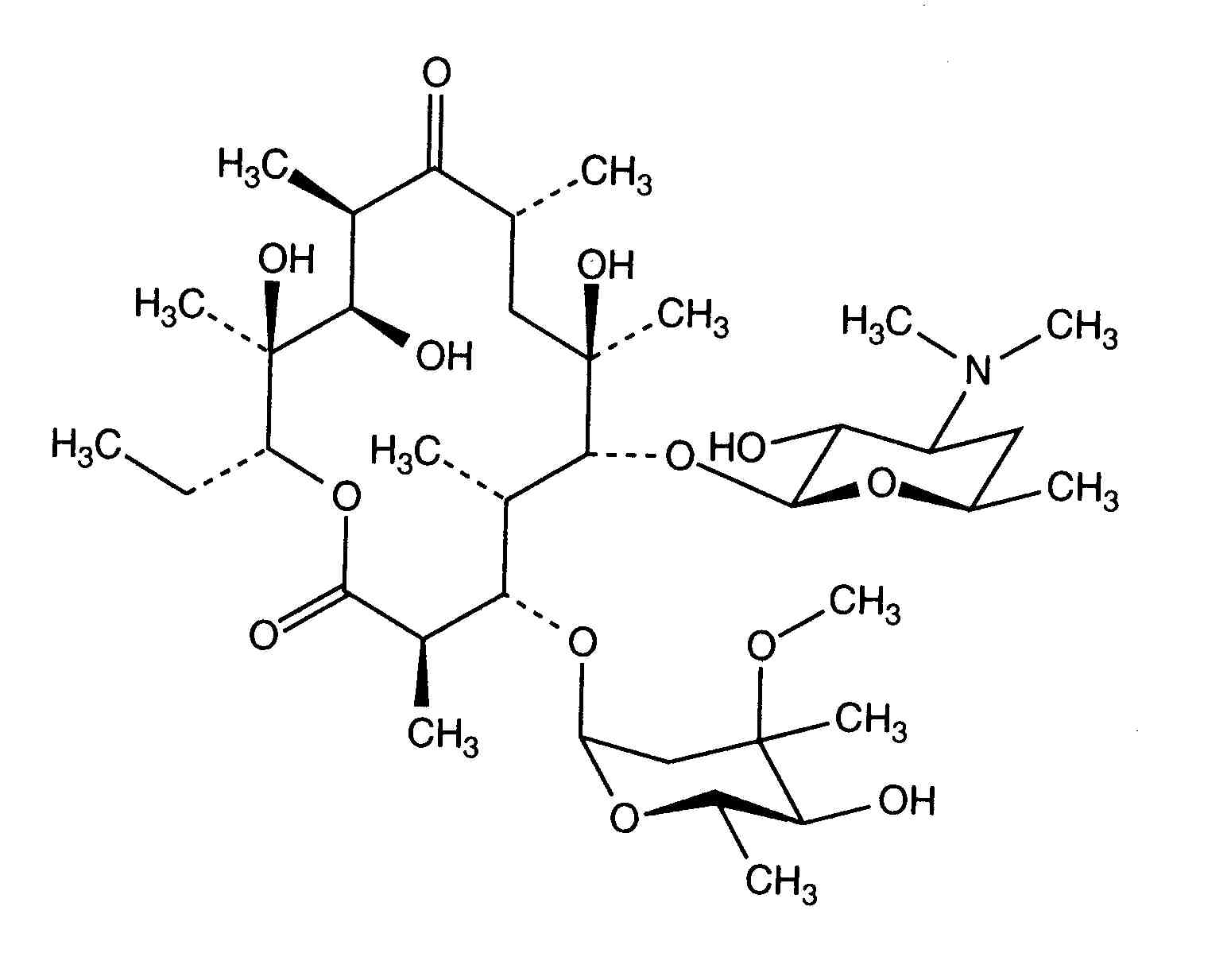
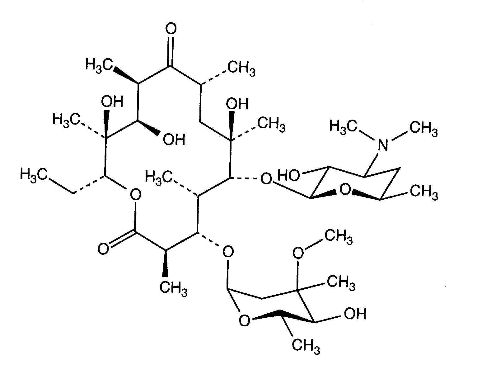
   Kémiai szerkezet   

Kereskedelmi név   Kereskedelmi név     

A kereskedelmi név meghatározó jelentőségű: a készítmények összetétele országonként, előállítóként eltérő lehet

Abboticin Dánia, Finnország, Norvégia, Svédország
Eristin Argentína
Erithromicina Chile
Erycinum Németország
Erythrocin Amerikai Egyesült Államok, Ausztrália, Ausztria, Írország, Kanada, Nagy-Britannia, Németország, Szaúd-Arábiában, új-Zéland
Erythrocin lactobionat ADD Vantage Ausztrália, Ausztria
Erythrocine Belgium, Franciaország, Hollandia, Luxemburg, Tunézia
Erythromycin Amerikai Egyesült Államok, Magyarország, Nagy-Britannia, Németország, Szaúd-Arábiában
Erythromycine Luxemburg
Erythromycinum Lengyelország
Pantomicina Chile, Spanyolország
Kompatibilitás   Injekció   Kompatibilitás : Erythromycin lactobionate              
Ovdje su prikazane kompatibilnosti ili nekompatibilnosti s tipom nekompatibilnosti (taloženje, promjena boje, modifikacija emulzije itd.) u ovom slučaju. Kompatibilnosti prikazane ovdje najčešće su fizikalne dok se kemijska stabilnost molekule rijetko procjenjuje. Procjena ovih mikstura je proučavana kako bi se razmotrila mogućnost primjene lijeka putem Y-mjesta. Ovi se podaci ne smiju koristiti za pripremu mikstura unaprijed u vrećicama ili štrcaljkama. Ova vrsta informacije se može pronaći u odjeljku « stabilnost u miksturama ».
Vegyület Oldószer Irodalom
Összeegyeztethető
Injekció Erythromycin lactobionate 4 mg/ml
Injekció Aciclovir sodium 5 mg/ml
5% glükóz 336
Meghatározatlan összeférhetetlenség Összeegyeztethetetlen
Injekció Erythromycin lactobionate
Injekció Amikacin sulfate
3674
Meghatározatlan összeférhetetlenség Összeegyeztethetetlen
Injekció Erythromycin lactobionate
Injekció Amikacin sulfate
3549
Meghatározatlan összeférhetetlenség Összeegyeztethetetlen
Injekció Erythromycin lactobionate
Injekció Aminophylline
3674
Összeegyeztethető
Injekció Erythromycin lactobionate 2 mg/ml
Injekció Amiodarone hydrochloride 4 mg/ml
0,9% nátrium-klorid 385
Összeegyeztethető
Injekció Erythromycin lactobionate 2 mg/ml
Injekció Amiodarone hydrochloride 4 mg/ml
5% glükóz 385
Meghatározatlan összeférhetetlenség Összeegyeztethetetlen
Injekció Erythromycin lactobionate
Injekció Amobarbital sodium
3674
Meghatározatlan összeférhetetlenség Összeegyeztethetetlen
Injekció Erythromycin lactobionate
Injekció Amoxicillin sodium
3674
Azonnali csapadék Összeegyeztethetetlen
Injekció Erythromycin lactobionate 50 mg/ml
Injekció Amoxicillin sodium / clavulanic acid 100/10 mg/ml
3824
Meghatározatlan összeférhetetlenség Összeegyeztethetetlen
Injekció Erythromycin lactobionate
Injekció Amoxicillin sodium / clavulanic acid
3674
Meghatározatlan összeférhetetlenség Összeegyeztethetetlen
Injekció Erythromycin lactobionate
Injekció Ampicillin sodium
3674
Meghatározatlan összeférhetetlenség Összeegyeztethetetlen
Injekció Erythromycin lactobionate
Injekció Ampicillin sodium - sulbactam sodium
3674
Összeegyeztethető
Injekció Erythromycin lactobionate 5 mg/ml
Injekció Anidulafungin 0.5 mg/ml
5% glükóz 1982
Meghatározatlan összeférhetetlenség Összeegyeztethetetlen
Injekció Erythromycin lactobionate
Injekció Ascorbic acid
5089
Meghatározatlan összeférhetetlenség Összeegyeztethetetlen
Injekció Erythromycin lactobionate
Injekció Ascorbic acid
3674
Meghatározatlan összeférhetetlenség Összeegyeztethetetlen
Injekció Erythromycin lactobionate
Injekció Aztreonam
3674
Összeegyeztethető
Injekció Erythromycin lactobionate 5 mg/ml
Injekció Bivalirudin 5 mg/ml
5% glükóz 1713
Összeegyeztethető
Injekció Erythromycin lactobionate
0,9% nátrium-klorid 3674
Azonnali csapadék Összeegyeztethetetlen
Injekció Erythromycin lactobionate 50 mg/ml
Injekció Caffeine 10 mg/ml
Egy sem 3964
Meghatározatlan összeférhetetlenség Összeegyeztethetetlen
Injekció Erythromycin lactobionate
Injekció Cefalotin sodium
3674
Meghatározatlan összeférhetetlenség Összeegyeztethetetlen
Injekció Erythromycin lactobionate
Injekció Cefamandole nafate
3674
Meghatározatlan összeférhetetlenség Összeegyeztethetetlen
Injekció Erythromycin lactobionate
Injekció Cefazolin sodium
3674
Zavarosság egy órán belül Összeegyeztethetetlen
Injekció Erythromycin lactobionate 20 mg/ml
Injekció Cefazolin sodium 220 mg/ml
805
Meghatározatlan összeférhetetlenség Összeegyeztethetetlen
Injekció Erythromycin lactobionate
Injekció Cefepime dihydrochloride
3674
Kémiai instabilitás Összeegyeztethetetlen
Injekció Erythromycin lactobionate 5 mg/ml
Injekció Cefepime dihydrochloride 125 mg/ml
Injekcióhoz való víz 2141
Meghatározatlan összeférhetetlenség Összeegyeztethetetlen
Injekció Erythromycin lactobionate
Injekció Cefmenoxime
3674
Meghatározatlan összeférhetetlenség Összeegyeztethetetlen
Injekció Erythromycin lactobionate
Injekció Cefmetazole sodium
3674
Azonnali csapadék Összeegyeztethetetlen
Injekció Erythromycin lactobionate 10 & 50 mg/ml
Injekció Cefmetazole sodium 100 mg/ml
Injekcióhoz való víz 93
Meghatározatlan összeférhetetlenség Összeegyeztethetetlen
Injekció Erythromycin lactobionate
Injekció Cefonicid sodium
3674
Meghatározatlan összeférhetetlenség Összeegyeztethetetlen
Injekció Erythromycin lactobionate
Injekció Cefoperazone sodium
3674
Meghatározatlan összeférhetetlenség Összeegyeztethetetlen
Injekció Erythromycin lactobionate
Injekció Ceforanide
3674
Meghatározatlan összeférhetetlenség Összeegyeztethetetlen
Injekció Erythromycin lactobionate
Injekció Cefotaxime sodium
3674
Meghatározatlan összeférhetetlenség Összeegyeztethetetlen
Injekció Erythromycin lactobionate
Injekció Cefoxitin sodium
3674
Meghatározatlan összeférhetetlenség Összeegyeztethetetlen
Injekció Erythromycin lactobionate
Injekció Cefpirome sulfate
3674
Meghatározatlan összeférhetetlenség Összeegyeztethetetlen
Injekció Erythromycin lactobionate
Injekció Ceftaroline fosamil
3674
Azonnali csapadék Összeegyeztethetetlen
Injekció Erythromycin lactobionate 5 mg/ml
Injekció Ceftazidime 125 mg/ml
Injekcióhoz való víz 2141
Meghatározatlan összeférhetetlenség Összeegyeztethetetlen
Injekció Erythromycin lactobionate
Injekció Ceftazidime
3674
Azonnali csapadék Összeegyeztethetetlen
Injekció Erythromycin lactobionate 10 & 50 mg/ml
Injekció Ceftazidime 83.3 mg/ml
1759
Meghatározatlan összeférhetetlenség Összeegyeztethetetlen
Injekció Erythromycin lactobionate
Injekció Ceftazidime Avibactam
3674
Meghatározatlan összeférhetetlenség Összeegyeztethetetlen
Injekció Erythromycin lactobionate
Injekció Ceftizoxime sodium
3674
Meghatározatlan összeférhetetlenség Összeegyeztethetetlen
Injekció Erythromycin lactobionate
Injekció Ceftobiprole medocaril sodium
3674
Meghatározatlan összeférhetetlenség Összeegyeztethetetlen
Injekció Erythromycin lactobionate
Injekció Ceftolozane / tazobactam
3674
Meghatározatlan összeférhetetlenség Összeegyeztethetetlen
Injekció Erythromycin lactobionate
Injekció Ceftriaxone disodium
3674
Meghatározatlan összeférhetetlenség Összeegyeztethetetlen
Injekció Erythromycin lactobionate
Injekció Cefuroxime sodium
3674
Meghatározatlan összeférhetetlenség Összeegyeztethetetlen
Injekció Erythromycin lactobionate
Injekció Cefuzonam
3674
Meghatározatlan összeférhetetlenség Összeegyeztethetetlen
Injekció Erythromycin lactobionate
Injekció Chloramphenicol sodium succinate
3674
Meghatározatlan összeférhetetlenség Összeegyeztethetetlen
Injekció Erythromycin lactobionate
Injekció Chlorpromazine hydrochloride
3674
Összeegyeztethető
Injekció Erythromycin lactobionate 5 & 50 mg/ml
Injekció Diltiazem hydrochloride 5 mg/ml
0,9% nátrium-klorid 198
Meghatározatlan összeférhetetlenség Összeegyeztethetetlen
Injekció Erythromycin lactobionate
Injekció Doripenem
3674
Összeegyeztethető
Injekció Erythromycin lactobionate 10 mg/ml
Parenterális táplálás (lipid-mentes) 939
Összeegyeztethető
Injekció Erythromycin lactobionate 5 mg/ml
Injekció Cimetidine hydrochloride 3 mg/ml
0,9% nátrium-klorid 1201
Azonnali csapadék Összeegyeztethetetlen
Injekció Erythromycin lactobionate 50 mg/ml
Injekció Cloxacillin sodium 100 mg/ml
Injekcióhoz való víz 3012
Meghatározatlan összeférhetetlenség Összeegyeztethetetlen
Injekció Erythromycin lactobionate
Injekció Cloxacillin sodium
3674
Meghatározatlan összeférhetetlenség Összeegyeztethetetlen
Injekció Erythromycin lactobionate
Injekció Colistin mesilate sodium
3674
Összeegyeztethető
Injekció Erythromycin lactobionate 5 mg/ml
Injekció Dexmedetomidine 4 µg/ml
0,9% nátrium-klorid 1712
Összeegyeztethető
Injekció Erythromycin lactobionate 5 mg/ml
Injekció Doxapram hydrochloride 2 mg/ml
5% glükóz 1802
Meghatározatlan összeférhetetlenség Összeegyeztethetetlen
Injekció Erythromycin lactobionate
Injekció Doxycycline hyclate
3674
Összeegyeztethető
Injekció Erythromycin lactobionate 5 mg/ml
Injekció Enalaprilate 0.05 mg/ml
0,9% nátrium-klorid 1315
Meghatározatlan összeférhetetlenség Összeegyeztethetetlen
Injekció Erythromycin lactobionate
Injekció Ertapenem
3674
Összeegyeztethető
Injekció Erythromycin lactobionate 5 mg/ml
Injekció Esmolol hydrochloride 10 mg/ml
5% glükóz 384
Összeegyeztethető
Injekció Erythromycin lactobionate 2 mg/ml
Injekció Famotidine
5% glükóz 397
Összeegyeztethető
Injekció Erythromycin lactobionate
5% glükóz 3674
Összeegyeztethető
Injekció Erythromycin lactobionate 5 mg/ml
Injekció Fenoldopam mesylate 80 µg/ml
0,9% nátrium-klorid 1803
Meghatározatlan összeférhetetlenség Összeegyeztethetetlen
Injekció Erythromycin lactobionate
Injekció Flucloxacillin sodium
3674
Azonnali csapadék Összeegyeztethetetlen
Injekció Erythromycin lactobionate 5 mg/ml
Injekció Flucloxacillin sodium 20 mg/ml
0,9% nátrium-klorid 1232
Azonnali csapadék Összeegyeztethetetlen
Injekció Erythromycin lactobionate 20 mg/ml
Injekció Fluconazole 2 mg/ml
0,9% nátrium-klorid 496
Összeegyeztethető
Injekció Erythromycin lactobionate 20 mg/ml
Injekció Foscarnet sodium 24 mg/ml
0,9% nátrium-klorid 1135
Összeegyeztethető
Injekció Erythromycin lactobionate 20 mg/ml
Injekció Foscarnet sodium 24 mg/ml
Egy sem 73
Azonnali csapadék Összeegyeztethetetlen
Injekció Erythromycin lactobionate 5 mg/ml
Injekció Furosemide 1 mg/ml
0,9% nátrium-klorid 1232
Meghatározatlan összeférhetetlenség Összeegyeztethetetlen
Injekció Erythromycin lactobionate
Injekció Gentamicin sulfate
3643
Meghatározatlan összeférhetetlenség Összeegyeztethetetlen
Injekció Erythromycin lactobionate
Injekció Gentamicin sulfate
3520
Meghatározatlan összeférhetetlenség Összeegyeztethetetlen
Injekció Erythromycin lactobionate
Injekció Gentamicin sulfate
3674
Meghatározatlan összeférhetetlenség Összeegyeztethetetlen
Injekció Erythromycin lactobionate
Injekció Heparin sodium
3674
Összeegyeztethető
Injekció Erythromycin lactobionate 50 mg/ml
Ringer-laktát oldat 4603
Összeegyeztethető
Injekció Erythromycin lactobionate 3.3 mg/ml
Injekció Heparin sodium 50 UI/ml
Egy sem 317
Összeegyeztethető
Injekció Erythromycin lactobionate 50 mg/ml
Parenterális táplálás (lipid-mentes) 999
Meghatározatlan összeférhetetlenség Összeegyeztethetetlen
Injekció Erythromycin lactobionate
Injekció Heparin sodium
3540
Összeegyeztethető
Injekció Erythromycin lactobionate 5 mg/ml
Injekció Hetastarch 60 mg/ml
egyedi oldószer 1721
Összeegyeztethető
Injekció Erythromycin lactobionate 5 mg/ml
Injekció Hydromorphone hydrochloride 0.2 mg/ml
5% glükóz 405
Összeegyeztethető
Injekció Erythromycin lactobionate 2 mg/ml
Injekció Idarubicin hydrochloride 1 mg/ml
0,9% nátrium-klorid 491
Meghatározatlan összeférhetetlenség Összeegyeztethetetlen
Injekció Erythromycin lactobionate
Injekció Imipenem - cilastatin sodium
3674
Meghatározatlan összeférhetetlenség Összeegyeztethetetlen
Injekció Erythromycin lactobionate
Injekció Kanamycin sulfate
3674
Összeegyeztethető
Injekció Erythromycin lactobionate 5 mg/ml
Injekció Labetalol hydrochloride 1 mg/ml
5% glükóz 386
Meghatározatlan összeférhetetlenség Összeegyeztethetetlen
Injekció Erythromycin lactobionate
Injekció Levomepromazine
3674
Kémiai instabilitás Összeegyeztethetetlen
Injekció Erythromycin lactobionate 5 mg/ml
Injekció Linezolid 2 mg/ml
Egy sem 1607
Meghatározatlan összeférhetetlenség Összeegyeztethetetlen
Injekció Erythromycin lactobionate
Injekció Linezolid
3560
Összeegyeztethető
Injekció Erythromycin lactobionate 5 mg/ml
Injekció Linezolid 2 mg/ml
Egy sem 1925
Összeegyeztethető
Injekció Erythromycin lactobionate 5 mg/ml
Injekció Lorazepam 0.33 mg/ml
0,9% nátrium-klorid 186
Összeegyeztethető
Injekció Erythromycin lactobionate 5 mg/ml
Injekció Magnesium sulfate 16.67 >> 100 mg/ml
5% glükóz 1047
Összeegyeztethető
Injekció Erythromycin lactobionate 50 mg/ml
Injekció Meropenem 50 mg/ml
Injekcióhoz való víz 4319
Meghatározatlan összeférhetetlenség Összeegyeztethetetlen
Injekció Erythromycin lactobionate
Injekció Meropenem
3674
Meghatározatlan összeférhetetlenség Összeegyeztethetetlen
Injekció Erythromycin lactobionate
Injekció Mesna
3602
Meghatározatlan összeférhetetlenség Összeegyeztethetetlen
Injekció Erythromycin lactobionate
Injekció Metaraminol
5046
Meghatározatlan összeférhetetlenség Összeegyeztethetetlen
Injekció Erythromycin lactobionate
Injekció Methohexital sodium
3674
Összeegyeztethető
Injekció Erythromycin lactobionate 5 mg/ml
Injekció Midazolam hydrochloride 5 mg/ml
Egy sem 186
Meghatározatlan összeférhetetlenség Összeegyeztethetetlen
Injekció Erythromycin lactobionate
Injekció Minocycline hydrochloride
3674
Összeegyeztethető
Injekció Erythromycin lactobionate 5 mg/ml
Injekció Morphine sulfate 1 mg/ml
5% glükóz 405
Meghatározatlan összeférhetetlenség Összeegyeztethetetlen
Injekció Erythromycin lactobionate
Injekció Moxalactam
3674
Meghatározatlan összeférhetetlenség Összeegyeztethetetlen
Injekció Erythromycin lactobionate
Injekció N-acetylcysteine 200 mg/ml
Egy sem 3766
Meghatározatlan összeférhetetlenség Összeegyeztethetetlen
Injekció Erythromycin lactobionate
Injekció Nafcillin sodium
3674
Összeegyeztethető
Injekció Erythromycin lactobionate 50 mg/ml
Injekció Naloxone hydrochloride 0.4 mg/ml
Egy sem 3408
Meghatározatlan összeférhetetlenség Összeegyeztethetetlen
Injekció Erythromycin lactobionate
Injekció Netilmicin sulfate
3674
Összeegyeztethető
Injekció Erythromycin lactobionate 5 mg/ml
Injekció Nicardipine hydrochloride 0.1 mg/ml
0,9% nátrium-klorid 1490
Összeegyeztethető
Injekció Erythromycin lactobionate 5 mg/ml
Injekció Nicardipine hydrochloride 0.1 mg/ml
5% glükóz 1490
Meghatározatlan összeférhetetlenség Összeegyeztethetetlen
Injekció Erythromycin lactobionate
Injekció Oxacillin sodium
3674
Meghatározatlan összeférhetetlenség Összeegyeztethetetlen
Injekció Erythromycin lactobionate
Injekció Oxytetracycline hydrochloride
3674
Összeegyeztethető
Injekció Erythromycin lactobionate 50 mg/ml
Injekció Paracetamol 10 mg/ml
4742
Meghatározatlan összeférhetetlenség Összeegyeztethetetlen
Injekció Erythromycin lactobionate
Injekció Penicillin G potassium
3674
Meghatározatlan összeférhetetlenség Összeegyeztethetetlen
Injekció Erythromycin lactobionate
Injekció Penicillin G sodium
3674
Meghatározatlan összeférhetetlenség Összeegyeztethetetlen
Injekció Erythromycin lactobionate
Injekció Pentobarbital sodium
3674
Összeegyeztethető
Injekció Erythromycin lactobionate 5 mg/ml
Injekció Pethidine hydrochloride 10 mg/ml
5% glükóz 405
Meghatározatlan összeférhetetlenség Összeegyeztethetetlen
Injekció Erythromycin lactobionate
Injekció Phenobarbital sodium
3674
Meghatározatlan összeférhetetlenség Összeegyeztethetetlen
Injekció Erythromycin lactobionate
Injekció Phenytoin sodium
3674
Meghatározatlan összeférhetetlenség Összeegyeztethetetlen
Injekció Erythromycin lactobionate
Injekció Piperacillin sodium
3674
Meghatározatlan összeférhetetlenség Összeegyeztethetetlen
Injekció Erythromycin lactobionate
Injekció Piperacillin sodium / tazobactam
3674
Meghatározatlan összeférhetetlenség Összeegyeztethetetlen
Injekció Erythromycin lactobionate
Injekció Plazomicin sulfate
3674
Meghatározatlan összeférhetetlenség Összeegyeztethetetlen
Injekció Erythromycin lactobionate
Injekció Prochlorperazine edysilate
3674
Meghatározatlan összeférhetetlenség Összeegyeztethetetlen
Injekció Erythromycin lactobionate
Injekció Promethazine hydrochloride
3674
Meghatározatlan összeférhetetlenség Összeegyeztethetetlen
Injekció Erythromycin lactobionate
Injekció Pyridoxine hydrochloride
3674
Meghatározatlan összeférhetetlenség Összeegyeztethetetlen
Injekció Erythromycin lactobionate
Injekció Rocuronium bromide
3564
Összeegyeztethető
Injekció Erythromycin lactobionate 50 mg/ml
Injekció Salbutamol sulfate 1 mg/ml
Egy sem 3216
Meghatározatlan összeférhetetlenség Összeegyeztethetetlen
Injekció Erythromycin lactobionate
Injekció Streptomycin sulfate
3674
Összeegyeztethető
Injekció Erythromycin lactobionate 20 mg/ml
Injekció Tacrolimus 1000 µg/ml
0,9% nátrium-klorid 479
Meghatározatlan összeférhetetlenség Összeegyeztethetetlen
Injekció Erythromycin lactobionate
Injekció Temocilline
3674
Összeegyeztethető
Injekció Erythromycin lactobionate 5 mg/ml
Injekció Temocilline 83.33 mg/ml
Injekcióhoz való víz 2231
Összeegyeztethető
Injekció Erythromycin lactobionate 3.3 mg/ml
Injekció Theophylline 4 mg/ml
Egy sem 317
Azonnali csapadék Összeegyeztethetetlen
Injekció Erythromycin lactobionate 50 mg/ml
Injekció Thiopental sodium 25 mg/ml
0,9% nátrium-klorid 3767
Meghatározatlan összeférhetetlenség Összeegyeztethetetlen
Injekció Erythromycin lactobionate
Injekció Thiopental sodium
3674
Meghatározatlan összeférhetetlenség Összeegyeztethetetlen
Injekció Erythromycin lactobionate
Injekció Ticarcillin / clavulanic acid
3674
Meghatározatlan összeférhetetlenség Összeegyeztethetetlen
Injekció Erythromycin lactobionate
Injekció Tigecycline
3674
Meghatározatlan összeférhetetlenség Összeegyeztethetetlen
Injekció Erythromycin lactobionate
Injekció Tobramycin sulfate
3674
Meghatározatlan összeférhetetlenség Összeegyeztethetetlen
Injekció Erythromycin lactobionate
Injekció Triflupromazine hydrochloride
3674
Összeegyeztethető
Injekció Erythromycin lactobionate 5 mg/ml
Injekció Vancomycin hydrochloride 10 mg/ml
5% glükóz 3385
Összeegyeztethető
Injekció Erythromycin lactobionate 2 mg/ml
Injekció Verapamil hydrochloride 0.08 mg/ml
0,9% nátrium-klorid 1057
Összeegyeztethető
Injekció Erythromycin lactobionate 2 mg/ml
Injekció Verapamil hydrochloride 0.08 mg/ml
5% glükóz 1057
Összeegyeztethető
Injekció Erythromycin lactobionate 20 mg/ml
Injekció Zidovudine 4 mg/ml
5% glükóz 337

  Mentions Légales