Ultimele actualizari :
27/04/2026
Antibiotic   Erythromycin lactobionate  
Injectabil
Stabilitatea in solutie Stabilitatea in amestec Factorii care influenteaza stabilitatea Compatibilitate Microunde Bibliografie pdf
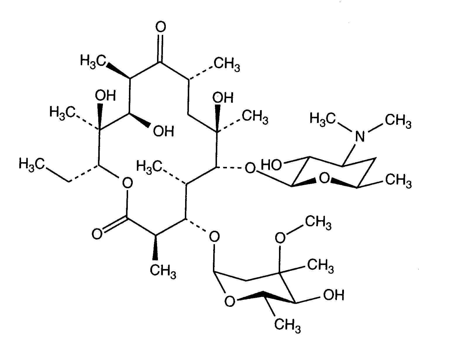
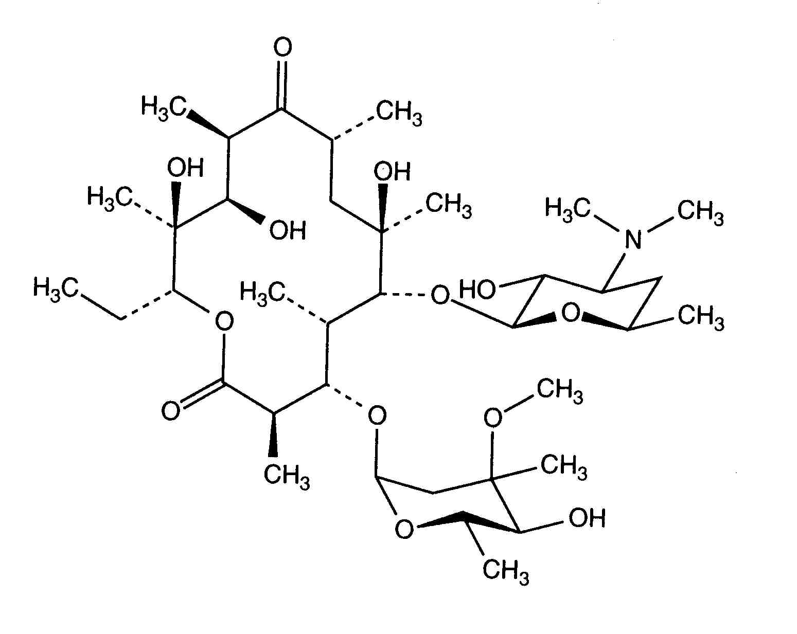
   Formula chimica  

Denumirea comerciala   Denumirea comerciala     

Trade names are indicative and excipients composition can be different depending on the country and manufacturers

Abboticin Danemarca, Finlanda, Norvegia, Suedia
Eristin Argentina
Erithromicina Chilli
Erycinum Germania
Erythrocin Arabia Saudita, Australia, Austria, Canada, Germania, Irlanda, Marea Britanie, noua Zeelandă, SUA
Erythrocin lactobionat ADD Vantage Australia, Austria
Erythrocine Belgia, Franta, Luxemburg, Olanda, Tunisia
Erythromycin Arabia Saudita, Germania, Marea Britanie, SUA, Ungaria
Erythromycine Luxemburg
Erythromycinum Polonia
Pantomicina Chilli, Spania
Compatibilitate   Injectabil   Compatibilitate : Erythromycin lactobionate              
Acest ecran indică compatibilitățile sau incompatibilitățile cu, în acest caz, tipul de incompatibilitate (precipitații, schimbarea culorii, modificarea unei emulsii etc.). Compatibilitățile prezentate aici sunt în mare parte numai fizice, stabilitatea chimică a fiecărei molecule fiind rareori evaluată. Evaluarea acestor amestecuri a fost studiată pentru a lua în considerare posibilitatea administrării site-ului Y la pacient. Aceste date nu pot fi utilizate pentru prepararea în prealabil a amestecurilor în pungi sau seringi. Acest tip de informații este disponibil în ecranul „Stabilitate în amestec».
Molecula (substanta activa) Solvent Bibiografie
Compatibil
Injectabil Erythromycin lactobionate 4 mg/ml
Injectabil Aciclovir sodium 5 mg/ml
Glucoza 5% 336
Incompatibilitate nespecificată Incompatibil
Injectabil Erythromycin lactobionate
Injectabil Amikacin sulfate
3674
Incompatibilitate nespecificată Incompatibil
Injectabil Erythromycin lactobionate
Injectabil Amikacin sulfate
3549
Incompatibilitate nespecificată Incompatibil
Injectabil Erythromycin lactobionate
Injectabil Aminophylline
3674
Compatibil
Injectabil Erythromycin lactobionate 2 mg/ml
Injectabil Amiodarone hydrochloride 4 mg/ml
clorura de sodiu 0,9% 385
Compatibil
Injectabil Erythromycin lactobionate 2 mg/ml
Injectabil Amiodarone hydrochloride 4 mg/ml
Glucoza 5% 385
Incompatibilitate nespecificată Incompatibil
Injectabil Erythromycin lactobionate
Injectabil Amobarbital sodium
3674
Incompatibilitate nespecificată Incompatibil
Injectabil Erythromycin lactobionate
Injectabil Amoxicillin sodium
3674
Precipitații imediate Incompatibil
Injectabil Erythromycin lactobionate 50 mg/ml
Injectabil Amoxicillin sodium / clavulanic acid 100/10 mg/ml
3824
Incompatibilitate nespecificată Incompatibil
Injectabil Erythromycin lactobionate
Injectabil Amoxicillin sodium / clavulanic acid
3674
Incompatibilitate nespecificată Incompatibil
Injectabil Erythromycin lactobionate
Injectabil Ampicillin sodium
3674
Incompatibilitate nespecificată Incompatibil
Injectabil Erythromycin lactobionate
Injectabil Ampicillin sodium - sulbactam sodium
3674
Compatibil
Injectabil Erythromycin lactobionate 5 mg/ml
Injectabil Anidulafungin 0.5 mg/ml
Glucoza 5% 1982
Incompatibilitate nespecificată Incompatibil
Injectabil Erythromycin lactobionate
Injectabil Ascorbic acid
5089
Incompatibilitate nespecificată Incompatibil
Injectabil Erythromycin lactobionate
Injectabil Ascorbic acid
3674
Incompatibilitate nespecificată Incompatibil
Injectabil Erythromycin lactobionate
Injectabil Aztreonam
3674
Compatibil
Injectabil Erythromycin lactobionate 5 mg/ml
Injectabil Bivalirudin 5 mg/ml
Glucoza 5% 1713
Compatibil
Injectabil Erythromycin lactobionate
clorura de sodiu 0,9% 3674
Precipitații imediate Incompatibil
Injectabil Erythromycin lactobionate 50 mg/ml
Injectabil Caffeine 10 mg/ml
fara 3964
Incompatibilitate nespecificată Incompatibil
Injectabil Erythromycin lactobionate
Injectabil Cefalotin sodium
3674
Incompatibilitate nespecificată Incompatibil
Injectabil Erythromycin lactobionate
Injectabil Cefamandole nafate
3674
Incompatibilitate nespecificată Incompatibil
Injectabil Erythromycin lactobionate
Injectabil Cefazolin sodium
3674
Turbiditate într-o oră Incompatibil
Injectabil Erythromycin lactobionate 20 mg/ml
Injectabil Cefazolin sodium 220 mg/ml
805
Incompatibilitate nespecificată Incompatibil
Injectabil Erythromycin lactobionate
Injectabil Cefepime dihydrochloride
3674
Instabilitate chimică Incompatibil
Injectabil Erythromycin lactobionate 5 mg/ml
Injectabil Cefepime dihydrochloride 125 mg/ml
apa pentru preparate injectabile 2141
Incompatibilitate nespecificată Incompatibil
Injectabil Erythromycin lactobionate
Injectabil Cefmenoxime
3674
Incompatibilitate nespecificată Incompatibil
Injectabil Erythromycin lactobionate
Injectabil Cefmetazole sodium
3674
Precipitații imediate Incompatibil
Injectabil Erythromycin lactobionate 10 & 50 mg/ml
Injectabil Cefmetazole sodium 100 mg/ml
apa pentru preparate injectabile 93
Incompatibilitate nespecificată Incompatibil
Injectabil Erythromycin lactobionate
Injectabil Cefonicid sodium
3674
Incompatibilitate nespecificată Incompatibil
Injectabil Erythromycin lactobionate
Injectabil Cefoperazone sodium
3674
Incompatibilitate nespecificată Incompatibil
Injectabil Erythromycin lactobionate
Injectabil Ceforanide
3674
Incompatibilitate nespecificată Incompatibil
Injectabil Erythromycin lactobionate
Injectabil Cefotaxime sodium
3674
Incompatibilitate nespecificată Incompatibil
Injectabil Erythromycin lactobionate
Injectabil Cefoxitin sodium
3674
Incompatibilitate nespecificată Incompatibil
Injectabil Erythromycin lactobionate
Injectabil Cefpirome sulfate
3674
Incompatibilitate nespecificată Incompatibil
Injectabil Erythromycin lactobionate
Injectabil Ceftaroline fosamil
3674
Precipitații imediate Incompatibil
Injectabil Erythromycin lactobionate 5 mg/ml
Injectabil Ceftazidime 125 mg/ml
apa pentru preparate injectabile 2141
Incompatibilitate nespecificată Incompatibil
Injectabil Erythromycin lactobionate
Injectabil Ceftazidime
3674
Precipitații imediate Incompatibil
Injectabil Erythromycin lactobionate 10 & 50 mg/ml
Injectabil Ceftazidime 83.3 mg/ml
1759
Incompatibilitate nespecificată Incompatibil
Injectabil Erythromycin lactobionate
Injectabil Ceftazidime Avibactam
3674
Incompatibilitate nespecificată Incompatibil
Injectabil Erythromycin lactobionate
Injectabil Ceftizoxime sodium
3674
Incompatibilitate nespecificată Incompatibil
Injectabil Erythromycin lactobionate
Injectabil Ceftobiprole medocaril sodium
3674
Incompatibilitate nespecificată Incompatibil
Injectabil Erythromycin lactobionate
Injectabil Ceftolozane / tazobactam
3674
Incompatibilitate nespecificată Incompatibil
Injectabil Erythromycin lactobionate
Injectabil Ceftriaxone disodium
3674
Incompatibilitate nespecificată Incompatibil
Injectabil Erythromycin lactobionate
Injectabil Cefuroxime sodium
3674
Incompatibilitate nespecificată Incompatibil
Injectabil Erythromycin lactobionate
Injectabil Cefuzonam
3674
Incompatibilitate nespecificată Incompatibil
Injectabil Erythromycin lactobionate
Injectabil Chloramphenicol sodium succinate
3674
Incompatibilitate nespecificată Incompatibil
Injectabil Erythromycin lactobionate
Injectabil Chlorpromazine hydrochloride
3674
Compatibil
Injectabil Erythromycin lactobionate 5 & 50 mg/ml
Injectabil Diltiazem hydrochloride 5 mg/ml
clorura de sodiu 0,9% 198
Incompatibilitate nespecificată Incompatibil
Injectabil Erythromycin lactobionate
Injectabil Doripenem
3674
Compatibil
Injectabil Erythromycin lactobionate 10 mg/ml
Nutritie parenterala (amestec binar) 939
Compatibil
Injectabil Erythromycin lactobionate 5 mg/ml
Injectabil Cimetidine hydrochloride 3 mg/ml
clorura de sodiu 0,9% 1201
Precipitații imediate Incompatibil
Injectabil Erythromycin lactobionate 50 mg/ml
Injectabil Cloxacillin sodium 100 mg/ml
apa pentru preparate injectabile 3012
Incompatibilitate nespecificată Incompatibil
Injectabil Erythromycin lactobionate
Injectabil Cloxacillin sodium
3674
Incompatibilitate nespecificată Incompatibil
Injectabil Erythromycin lactobionate
Injectabil Colistin mesilate sodium
3674
Compatibil
Injectabil Erythromycin lactobionate 5 mg/ml
Injectabil Dexmedetomidine 4 µg/ml
clorura de sodiu 0,9% 1712
Compatibil
Injectabil Erythromycin lactobionate 5 mg/ml
Injectabil Doxapram hydrochloride 2 mg/ml
Glucoza 5% 1802
Incompatibilitate nespecificată Incompatibil
Injectabil Erythromycin lactobionate
Injectabil Doxycycline hyclate
3674
Compatibil
Injectabil Erythromycin lactobionate 5 mg/ml
Injectabil Enalaprilate 0.05 mg/ml
clorura de sodiu 0,9% 1315
Incompatibilitate nespecificată Incompatibil
Injectabil Erythromycin lactobionate
Injectabil Ertapenem
3674
Compatibil
Injectabil Erythromycin lactobionate 5 mg/ml
Injectabil Esmolol hydrochloride 10 mg/ml
Glucoza 5% 384
Compatibil
Injectabil Erythromycin lactobionate 2 mg/ml
Injectabil Famotidine
Glucoza 5% 397
Compatibil
Injectabil Erythromycin lactobionate
Glucoza 5% 3674
Compatibil
Injectabil Erythromycin lactobionate 5 mg/ml
Injectabil Fenoldopam mesylate 80 µg/ml
clorura de sodiu 0,9% 1803
Incompatibilitate nespecificată Incompatibil
Injectabil Erythromycin lactobionate
Injectabil Flucloxacillin sodium
3674
Precipitații imediate Incompatibil
Injectabil Erythromycin lactobionate 5 mg/ml
Injectabil Flucloxacillin sodium 20 mg/ml
clorura de sodiu 0,9% 1232
Precipitații imediate Incompatibil
Injectabil Erythromycin lactobionate 20 mg/ml
Injectabil Fluconazole 2 mg/ml
clorura de sodiu 0,9% 496
Compatibil
Injectabil Erythromycin lactobionate 20 mg/ml
Injectabil Foscarnet sodium 24 mg/ml
clorura de sodiu 0,9% 1135
Compatibil
Injectabil Erythromycin lactobionate 20 mg/ml
Injectabil Foscarnet sodium 24 mg/ml
fara 73
Precipitații imediate Incompatibil
Injectabil Erythromycin lactobionate 5 mg/ml
Injectabil Furosemide 1 mg/ml
clorura de sodiu 0,9% 1232
Incompatibilitate nespecificată Incompatibil
Injectabil Erythromycin lactobionate
Injectabil Gentamicin sulfate
3643
Incompatibilitate nespecificată Incompatibil
Injectabil Erythromycin lactobionate
Injectabil Gentamicin sulfate
3520
Incompatibilitate nespecificată Incompatibil
Injectabil Erythromycin lactobionate
Injectabil Gentamicin sulfate
3674
Incompatibilitate nespecificată Incompatibil
Injectabil Erythromycin lactobionate
Injectabil Heparin sodium
3674
Compatibil
Injectabil Erythromycin lactobionate 50 mg/ml
Solutie Ringer lactat 4603
Compatibil
Injectabil Erythromycin lactobionate 3.3 mg/ml
Injectabil Heparin sodium 50 UI/ml
fara 317
Compatibil
Injectabil Erythromycin lactobionate 50 mg/ml
Nutritie parenterala (amestec binar) 999
Incompatibilitate nespecificată Incompatibil
Injectabil Erythromycin lactobionate
Injectabil Heparin sodium
3540
Compatibil
Injectabil Erythromycin lactobionate 5 mg/ml
Injectabil Hetastarch 60 mg/ml
specific de solvent 1721
Compatibil
Injectabil Erythromycin lactobionate 5 mg/ml
Injectabil Hydromorphone hydrochloride 0.2 mg/ml
Glucoza 5% 405
Compatibil
Injectabil Erythromycin lactobionate 2 mg/ml
Injectabil Idarubicin hydrochloride 1 mg/ml
clorura de sodiu 0,9% 491
Incompatibilitate nespecificată Incompatibil
Injectabil Erythromycin lactobionate
Injectabil Imipenem - cilastatin sodium
3674
Incompatibilitate nespecificată Incompatibil
Injectabil Erythromycin lactobionate
Injectabil Kanamycin sulfate
3674
Compatibil
Injectabil Erythromycin lactobionate 5 mg/ml
Injectabil Labetalol hydrochloride 1 mg/ml
Glucoza 5% 386
Incompatibilitate nespecificată Incompatibil
Injectabil Erythromycin lactobionate
Injectabil Levomepromazine
3674
Instabilitate chimică Incompatibil
Injectabil Erythromycin lactobionate 5 mg/ml
Injectabil Linezolid 2 mg/ml
fara 1607
Incompatibilitate nespecificată Incompatibil
Injectabil Erythromycin lactobionate
Injectabil Linezolid
3560
Compatibil
Injectabil Erythromycin lactobionate 5 mg/ml
Injectabil Linezolid 2 mg/ml
fara 1925
Compatibil
Injectabil Erythromycin lactobionate 5 mg/ml
Injectabil Lorazepam 0.33 mg/ml
clorura de sodiu 0,9% 186
Compatibil
Injectabil Erythromycin lactobionate 5 mg/ml
Injectabil Magnesium sulfate 16.67 >> 100 mg/ml
Glucoza 5% 1047
Compatibil
Injectabil Erythromycin lactobionate 50 mg/ml
Injectabil Meropenem 50 mg/ml
apa pentru preparate injectabile 4319
Incompatibilitate nespecificată Incompatibil
Injectabil Erythromycin lactobionate
Injectabil Meropenem
3674
Incompatibilitate nespecificată Incompatibil
Injectabil Erythromycin lactobionate
Injectabil Mesna
3602
Incompatibilitate nespecificată Incompatibil
Injectabil Erythromycin lactobionate
Injectabil Metaraminol
5046
Incompatibilitate nespecificată Incompatibil
Injectabil Erythromycin lactobionate
Injectabil Methohexital sodium
3674
Compatibil
Injectabil Erythromycin lactobionate 5 mg/ml
Injectabil Midazolam hydrochloride 5 mg/ml
fara 186
Incompatibilitate nespecificată Incompatibil
Injectabil Erythromycin lactobionate
Injectabil Minocycline hydrochloride
3674
Compatibil
Injectabil Erythromycin lactobionate 5 mg/ml
Injectabil Morphine sulfate 1 mg/ml
Glucoza 5% 405
Incompatibilitate nespecificată Incompatibil
Injectabil Erythromycin lactobionate
Injectabil Moxalactam
3674
Incompatibilitate nespecificată Incompatibil
Injectabil Erythromycin lactobionate
Injectabil N-acetylcysteine 200 mg/ml
fara 3766
Incompatibilitate nespecificată Incompatibil
Injectabil Erythromycin lactobionate
Injectabil Nafcillin sodium
3674
Compatibil
Injectabil Erythromycin lactobionate 50 mg/ml
Injectabil Naloxone hydrochloride 0.4 mg/ml
fara 3408
Incompatibilitate nespecificată Incompatibil
Injectabil Erythromycin lactobionate
Injectabil Netilmicin sulfate
3674
Compatibil
Injectabil Erythromycin lactobionate 5 mg/ml
Injectabil Nicardipine hydrochloride 0.1 mg/ml
clorura de sodiu 0,9% 1490
Compatibil
Injectabil Erythromycin lactobionate 5 mg/ml
Injectabil Nicardipine hydrochloride 0.1 mg/ml
Glucoza 5% 1490
Incompatibilitate nespecificată Incompatibil
Injectabil Erythromycin lactobionate
Injectabil Oxacillin sodium
3674
Incompatibilitate nespecificată Incompatibil
Injectabil Erythromycin lactobionate
Injectabil Oxytetracycline hydrochloride
3674
Compatibil
Injectabil Erythromycin lactobionate 50 mg/ml
Injectabil Paracetamol 10 mg/ml
4742
Incompatibilitate nespecificată Incompatibil
Injectabil Erythromycin lactobionate
Injectabil Penicillin G potassium
3674
Incompatibilitate nespecificată Incompatibil
Injectabil Erythromycin lactobionate
Injectabil Penicillin G sodium
3674
Incompatibilitate nespecificată Incompatibil
Injectabil Erythromycin lactobionate
Injectabil Pentobarbital sodium
3674
Compatibil
Injectabil Erythromycin lactobionate 5 mg/ml
Injectabil Pethidine hydrochloride 10 mg/ml
Glucoza 5% 405
Incompatibilitate nespecificată Incompatibil
Injectabil Erythromycin lactobionate
Injectabil Phenobarbital sodium
3674
Incompatibilitate nespecificată Incompatibil
Injectabil Erythromycin lactobionate
Injectabil Phenytoin sodium
3674
Incompatibilitate nespecificată Incompatibil
Injectabil Erythromycin lactobionate
Injectabil Piperacillin sodium
3674
Incompatibilitate nespecificată Incompatibil
Injectabil Erythromycin lactobionate
Injectabil Piperacillin sodium / tazobactam
3674
Incompatibilitate nespecificată Incompatibil
Injectabil Erythromycin lactobionate
Injectabil Plazomicin sulfate
3674
Incompatibilitate nespecificată Incompatibil
Injectabil Erythromycin lactobionate
Injectabil Prochlorperazine edysilate
3674
Incompatibilitate nespecificată Incompatibil
Injectabil Erythromycin lactobionate
Injectabil Promethazine hydrochloride
3674
Incompatibilitate nespecificată Incompatibil
Injectabil Erythromycin lactobionate
Injectabil Pyridoxine hydrochloride
3674
Incompatibilitate nespecificată Incompatibil
Injectabil Erythromycin lactobionate
Injectabil Rocuronium bromide
3564
Compatibil
Injectabil Erythromycin lactobionate 50 mg/ml
Injectabil Salbutamol sulfate 1 mg/ml
fara 3216
Incompatibilitate nespecificată Incompatibil
Injectabil Erythromycin lactobionate
Injectabil Streptomycin sulfate
3674
Compatibil
Injectabil Erythromycin lactobionate 20 mg/ml
Injectabil Tacrolimus 1000 µg/ml
clorura de sodiu 0,9% 479
Incompatibilitate nespecificată Incompatibil
Injectabil Erythromycin lactobionate
Injectabil Temocilline
3674
Compatibil
Injectabil Erythromycin lactobionate 5 mg/ml
Injectabil Temocilline 83.33 mg/ml
apa pentru preparate injectabile 2231
Compatibil
Injectabil Erythromycin lactobionate 3.3 mg/ml
Injectabil Theophylline 4 mg/ml
fara 317
Precipitații imediate Incompatibil
Injectabil Erythromycin lactobionate 50 mg/ml
Injectabil Thiopental sodium 25 mg/ml
clorura de sodiu 0,9% 3767
Incompatibilitate nespecificată Incompatibil
Injectabil Erythromycin lactobionate
Injectabil Thiopental sodium
3674
Incompatibilitate nespecificată Incompatibil
Injectabil Erythromycin lactobionate
Injectabil Ticarcillin / clavulanic acid
3674
Incompatibilitate nespecificată Incompatibil
Injectabil Erythromycin lactobionate
Injectabil Tigecycline
3674
Incompatibilitate nespecificată Incompatibil
Injectabil Erythromycin lactobionate
Injectabil Tobramycin sulfate
3674
Incompatibilitate nespecificată Incompatibil
Injectabil Erythromycin lactobionate
Injectabil Triflupromazine hydrochloride
3674
Compatibil
Injectabil Erythromycin lactobionate 5 mg/ml
Injectabil Vancomycin hydrochloride 10 mg/ml
Glucoza 5% 3385
Compatibil
Injectabil Erythromycin lactobionate 2 mg/ml
Injectabil Verapamil hydrochloride 0.08 mg/ml
clorura de sodiu 0,9% 1057
Compatibil
Injectabil Erythromycin lactobionate 2 mg/ml
Injectabil Verapamil hydrochloride 0.08 mg/ml
Glucoza 5% 1057
Compatibil
Injectabil Erythromycin lactobionate 20 mg/ml
Injectabil Zidovudine 4 mg/ml
Glucoza 5% 337

  Mentions Légales