آخر تحديث :
27/04/2026
مضاد حيوي   Erythromycin lactobionate  
حقن
الاستقرار في حلول استقرار مخاليط العوامل التي تؤثر على الاستقرار التوافق طريقة التعاطي مراجع pdf
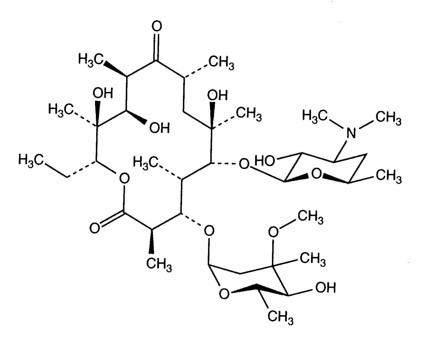
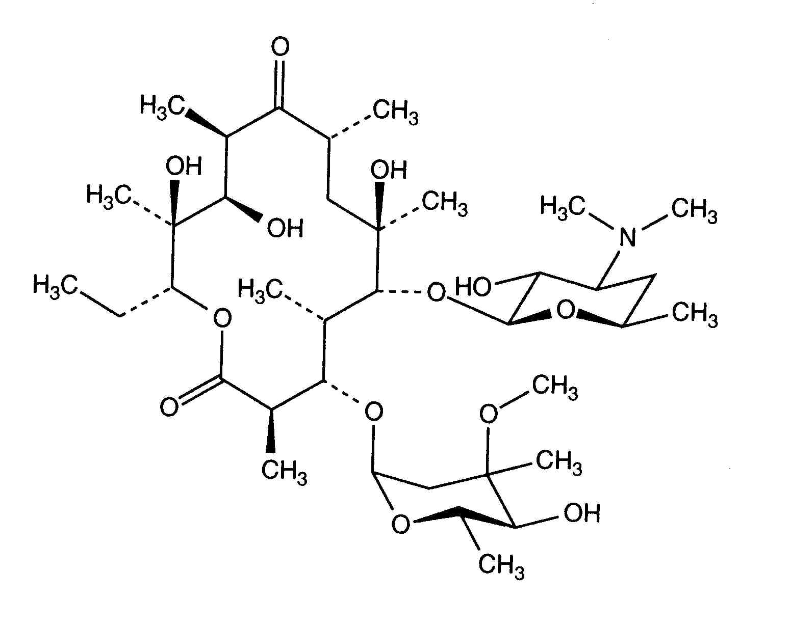
   التركيب الكيميائي  

حجز الاسم التجاري   حجز الاسم التجاري     

تحذير الأسماء التجاريه المختلفه قد تحتوي علي محتوي إضافات مختلفة حسب الدوله و المعمل

Abboticin الدنمارك, السويد, النرويج, فنلندا
Eristin الأرجنتين
Erithromicina تشيلي
Erycinum ألمانيا
Erythrocin أستراليا, ألمانيا, العربية السعودية, النمسا, الولايات المتحدة, ايرلندا, بريطانيا العظمي, زيلاندا الجديدة, كندا
Erythrocin lactobionat ADD Vantage أستراليا, النمسا
Erythrocine بلجيكا, تونس, فرنسا, لوكسمبورغ, هولندا
Erythromycin ألمانيا, العربية السعودية, الولايات المتحدة, بريطانيا العظمي, هنغاريا
Erythromycine لوكسمبورغ
Erythromycinum بولندا
Pantomicina إسبانيا, تشيلي
التوافق   حقن   التوافق : Erythromycin lactobionate              
This screen indicates the compatibilities or incompatibilities with, in this case, the type of incompatibility (precipitation, color change, modification of an emulsion, etc.). The compatibilities shown here are mostly physical only, with the chemical stability of each molecule rarely being assessed. The evaluation of these mixtures was studied to consider the possibility of Y-site administration to the patient. These data cannot be used for making mixtures in advance in bags or syringes. This type of information is available in the screen "Stability in mixture ».
مركب مذيب مراجع
kompatibel
حقن Erythromycin lactobionate 4 mg/ml
حقن Aciclovir sodium 5 mg/ml
الجلوكوز %5 336
عدم توافق غير محدد غير متوافق
حقن Erythromycin lactobionate
حقن Amikacin sulfate
3674
عدم توافق غير محدد غير متوافق
حقن Erythromycin lactobionate
حقن Amikacin sulfate
3549
عدم توافق غير محدد غير متوافق
حقن Erythromycin lactobionate
حقن Aminophylline
3674
kompatibel
حقن Erythromycin lactobionate 2 mg/ml
حقن Amiodarone hydrochloride 4 mg/ml
كلوريد الصوديوم 0.9% 385
kompatibel
حقن Erythromycin lactobionate 2 mg/ml
حقن Amiodarone hydrochloride 4 mg/ml
الجلوكوز %5 385
عدم توافق غير محدد غير متوافق
حقن Erythromycin lactobionate
حقن Amobarbital sodium
3674
عدم توافق غير محدد غير متوافق
حقن Erythromycin lactobionate
حقن Amoxicillin sodium
3674
هطول فوري غير متوافق
حقن Erythromycin lactobionate 50 mg/ml
حقن Amoxicillin sodium / clavulanic acid 100/10 mg/ml
3824
عدم توافق غير محدد غير متوافق
حقن Erythromycin lactobionate
حقن Amoxicillin sodium / clavulanic acid
3674
عدم توافق غير محدد غير متوافق
حقن Erythromycin lactobionate
حقن Ampicillin sodium
3674
عدم توافق غير محدد غير متوافق
حقن Erythromycin lactobionate
حقن Ampicillin sodium - sulbactam sodium
3674
kompatibel
حقن Erythromycin lactobionate 5 mg/ml
حقن Anidulafungin 0.5 mg/ml
الجلوكوز %5 1982
عدم توافق غير محدد غير متوافق
حقن Erythromycin lactobionate
حقن Ascorbic acid
5089
عدم توافق غير محدد غير متوافق
حقن Erythromycin lactobionate
حقن Ascorbic acid
3674
عدم توافق غير محدد غير متوافق
حقن Erythromycin lactobionate
حقن Aztreonam
3674
kompatibel
حقن Erythromycin lactobionate 5 mg/ml
حقن Bivalirudin 5 mg/ml
الجلوكوز %5 1713
kompatibel
حقن Erythromycin lactobionate
كلوريد الصوديوم 0.9% 3674
هطول فوري غير متوافق
حقن Erythromycin lactobionate 50 mg/ml
حقن Caffeine 10 mg/ml
لا شيء 3964
عدم توافق غير محدد غير متوافق
حقن Erythromycin lactobionate
حقن Cefalotin sodium
3674
عدم توافق غير محدد غير متوافق
حقن Erythromycin lactobionate
حقن Cefamandole nafate
3674
عدم توافق غير محدد غير متوافق
حقن Erythromycin lactobionate
حقن Cefazolin sodium
3674
العكارة في ساعة واحدة غير متوافق
حقن Erythromycin lactobionate 20 mg/ml
حقن Cefazolin sodium 220 mg/ml
805
عدم توافق غير محدد غير متوافق
حقن Erythromycin lactobionate
حقن Cefepime dihydrochloride
3674
عدم الاستقرار الكيميائي غير متوافق
حقن Erythromycin lactobionate 5 mg/ml
حقن Cefepime dihydrochloride 125 mg/ml
حقن المياه لل 2141
عدم توافق غير محدد غير متوافق
حقن Erythromycin lactobionate
حقن Cefmenoxime
3674
عدم توافق غير محدد غير متوافق
حقن Erythromycin lactobionate
حقن Cefmetazole sodium
3674
هطول فوري غير متوافق
حقن Erythromycin lactobionate 10 & 50 mg/ml
حقن Cefmetazole sodium 100 mg/ml
حقن المياه لل 93
عدم توافق غير محدد غير متوافق
حقن Erythromycin lactobionate
حقن Cefonicid sodium
3674
عدم توافق غير محدد غير متوافق
حقن Erythromycin lactobionate
حقن Cefoperazone sodium
3674
عدم توافق غير محدد غير متوافق
حقن Erythromycin lactobionate
حقن Ceforanide
3674
عدم توافق غير محدد غير متوافق
حقن Erythromycin lactobionate
حقن Cefotaxime sodium
3674
عدم توافق غير محدد غير متوافق
حقن Erythromycin lactobionate
حقن Cefoxitin sodium
3674
عدم توافق غير محدد غير متوافق
حقن Erythromycin lactobionate
حقن Cefpirome sulfate
3674
عدم توافق غير محدد غير متوافق
حقن Erythromycin lactobionate
حقن Ceftaroline fosamil
3674
هطول فوري غير متوافق
حقن Erythromycin lactobionate 5 mg/ml
حقن Ceftazidime 125 mg/ml
حقن المياه لل 2141
عدم توافق غير محدد غير متوافق
حقن Erythromycin lactobionate
حقن Ceftazidime
3674
هطول فوري غير متوافق
حقن Erythromycin lactobionate 10 & 50 mg/ml
حقن Ceftazidime 83.3 mg/ml
1759
عدم توافق غير محدد غير متوافق
حقن Erythromycin lactobionate
حقن Ceftazidime Avibactam
3674
عدم توافق غير محدد غير متوافق
حقن Erythromycin lactobionate
حقن Ceftizoxime sodium
3674
عدم توافق غير محدد غير متوافق
حقن Erythromycin lactobionate
حقن Ceftobiprole medocaril sodium
3674
عدم توافق غير محدد غير متوافق
حقن Erythromycin lactobionate
حقن Ceftolozane / tazobactam
3674
عدم توافق غير محدد غير متوافق
حقن Erythromycin lactobionate
حقن Ceftriaxone disodium
3674
عدم توافق غير محدد غير متوافق
حقن Erythromycin lactobionate
حقن Cefuroxime sodium
3674
عدم توافق غير محدد غير متوافق
حقن Erythromycin lactobionate
حقن Cefuzonam
3674
عدم توافق غير محدد غير متوافق
حقن Erythromycin lactobionate
حقن Chloramphenicol sodium succinate
3674
عدم توافق غير محدد غير متوافق
حقن Erythromycin lactobionate
حقن Chlorpromazine hydrochloride
3674
kompatibel
حقن Erythromycin lactobionate 5 & 50 mg/ml
حقن Diltiazem hydrochloride 5 mg/ml
كلوريد الصوديوم 0.9% 198
عدم توافق غير محدد غير متوافق
حقن Erythromycin lactobionate
حقن Doripenem
3674
kompatibel
حقن Erythromycin lactobionate 10 mg/ml
 التغذية الوريدية (خالية من الدهن) 939
kompatibel
حقن Erythromycin lactobionate 5 mg/ml
حقن Cimetidine hydrochloride 3 mg/ml
كلوريد الصوديوم 0.9% 1201
هطول فوري غير متوافق
حقن Erythromycin lactobionate 50 mg/ml
حقن Cloxacillin sodium 100 mg/ml
حقن المياه لل 3012
عدم توافق غير محدد غير متوافق
حقن Erythromycin lactobionate
حقن Cloxacillin sodium
3674
عدم توافق غير محدد غير متوافق
حقن Erythromycin lactobionate
حقن Colistin mesilate sodium
3674
kompatibel
حقن Erythromycin lactobionate 5 mg/ml
حقن Dexmedetomidine 4 µg/ml
كلوريد الصوديوم 0.9% 1712
kompatibel
حقن Erythromycin lactobionate 5 mg/ml
حقن Doxapram hydrochloride 2 mg/ml
الجلوكوز %5 1802
عدم توافق غير محدد غير متوافق
حقن Erythromycin lactobionate
حقن Doxycycline hyclate
3674
kompatibel
حقن Erythromycin lactobionate 5 mg/ml
حقن Enalaprilate 0.05 mg/ml
كلوريد الصوديوم 0.9% 1315
عدم توافق غير محدد غير متوافق
حقن Erythromycin lactobionate
حقن Ertapenem
3674
kompatibel
حقن Erythromycin lactobionate 5 mg/ml
حقن Esmolol hydrochloride 10 mg/ml
الجلوكوز %5 384
kompatibel
حقن Erythromycin lactobionate 2 mg/ml
حقن Famotidine
الجلوكوز %5 397
kompatibel
حقن Erythromycin lactobionate
الجلوكوز %5 3674
kompatibel
حقن Erythromycin lactobionate 5 mg/ml
حقن Fenoldopam mesylate 80 µg/ml
كلوريد الصوديوم 0.9% 1803
عدم توافق غير محدد غير متوافق
حقن Erythromycin lactobionate
حقن Flucloxacillin sodium
3674
هطول فوري غير متوافق
حقن Erythromycin lactobionate 5 mg/ml
حقن Flucloxacillin sodium 20 mg/ml
كلوريد الصوديوم 0.9% 1232
هطول فوري غير متوافق
حقن Erythromycin lactobionate 20 mg/ml
حقن Fluconazole 2 mg/ml
كلوريد الصوديوم 0.9% 496
kompatibel
حقن Erythromycin lactobionate 20 mg/ml
حقن Foscarnet sodium 24 mg/ml
كلوريد الصوديوم 0.9% 1135
kompatibel
حقن Erythromycin lactobionate 20 mg/ml
حقن Foscarnet sodium 24 mg/ml
لا شيء 73
هطول فوري غير متوافق
حقن Erythromycin lactobionate 5 mg/ml
حقن Furosemide 1 mg/ml
كلوريد الصوديوم 0.9% 1232
عدم توافق غير محدد غير متوافق
حقن Erythromycin lactobionate
حقن Gentamicin sulfate
3643
عدم توافق غير محدد غير متوافق
حقن Erythromycin lactobionate
حقن Gentamicin sulfate
3520
عدم توافق غير محدد غير متوافق
حقن Erythromycin lactobionate
حقن Gentamicin sulfate
3674
عدم توافق غير محدد غير متوافق
حقن Erythromycin lactobionate
حقن Heparin sodium
3674
kompatibel
حقن Erythromycin lactobionate 50 mg/ml
محلول رينجر  اللاكتات 4603
kompatibel
حقن Erythromycin lactobionate 3.3 mg/ml
حقن Heparin sodium 50 UI/ml
لا شيء 317
kompatibel
حقن Erythromycin lactobionate 50 mg/ml
 التغذية الوريدية (خالية من الدهن) 999
عدم توافق غير محدد غير متوافق
حقن Erythromycin lactobionate
حقن Heparin sodium
3540
kompatibel
حقن Erythromycin lactobionate 5 mg/ml
حقن Hetastarch 60 mg/ml
مذيب معين 1721
kompatibel
حقن Erythromycin lactobionate 5 mg/ml
حقن Hydromorphone hydrochloride 0.2 mg/ml
الجلوكوز %5 405
kompatibel
حقن Erythromycin lactobionate 2 mg/ml
حقن Idarubicin hydrochloride 1 mg/ml
كلوريد الصوديوم 0.9% 491
عدم توافق غير محدد غير متوافق
حقن Erythromycin lactobionate
حقن Imipenem - cilastatin sodium
3674
عدم توافق غير محدد غير متوافق
حقن Erythromycin lactobionate
حقن Kanamycin sulfate
3674
kompatibel
حقن Erythromycin lactobionate 5 mg/ml
حقن Labetalol hydrochloride 1 mg/ml
الجلوكوز %5 386
عدم توافق غير محدد غير متوافق
حقن Erythromycin lactobionate
حقن Levomepromazine
3674
عدم الاستقرار الكيميائي غير متوافق
حقن Erythromycin lactobionate 5 mg/ml
حقن Linezolid 2 mg/ml
لا شيء 1607
عدم توافق غير محدد غير متوافق
حقن Erythromycin lactobionate
حقن Linezolid
3560
kompatibel
حقن Erythromycin lactobionate 5 mg/ml
حقن Linezolid 2 mg/ml
لا شيء 1925
kompatibel
حقن Erythromycin lactobionate 5 mg/ml
حقن Lorazepam 0.33 mg/ml
كلوريد الصوديوم 0.9% 186
kompatibel
حقن Erythromycin lactobionate 5 mg/ml
حقن Magnesium sulfate 16.67 >> 100 mg/ml
الجلوكوز %5 1047
kompatibel
حقن Erythromycin lactobionate 50 mg/ml
حقن Meropenem 50 mg/ml
حقن المياه لل 4319
عدم توافق غير محدد غير متوافق
حقن Erythromycin lactobionate
حقن Meropenem
3674
عدم توافق غير محدد غير متوافق
حقن Erythromycin lactobionate
حقن Mesna
3602
عدم توافق غير محدد غير متوافق
حقن Erythromycin lactobionate
حقن Metaraminol
5046
عدم توافق غير محدد غير متوافق
حقن Erythromycin lactobionate
حقن Methohexital sodium
3674
kompatibel
حقن Erythromycin lactobionate 5 mg/ml
حقن Midazolam hydrochloride 5 mg/ml
لا شيء 186
عدم توافق غير محدد غير متوافق
حقن Erythromycin lactobionate
حقن Minocycline hydrochloride
3674
kompatibel
حقن Erythromycin lactobionate 5 mg/ml
حقن Morphine sulfate 1 mg/ml
الجلوكوز %5 405
عدم توافق غير محدد غير متوافق
حقن Erythromycin lactobionate
حقن Moxalactam
3674
عدم توافق غير محدد غير متوافق
حقن Erythromycin lactobionate
حقن N-acetylcysteine 200 mg/ml
لا شيء 3766
عدم توافق غير محدد غير متوافق
حقن Erythromycin lactobionate
حقن Nafcillin sodium
3674
kompatibel
حقن Erythromycin lactobionate 50 mg/ml
حقن Naloxone hydrochloride 0.4 mg/ml
لا شيء 3408
عدم توافق غير محدد غير متوافق
حقن Erythromycin lactobionate
حقن Netilmicin sulfate
3674
kompatibel
حقن Erythromycin lactobionate 5 mg/ml
حقن Nicardipine hydrochloride 0.1 mg/ml
كلوريد الصوديوم 0.9% 1490
kompatibel
حقن Erythromycin lactobionate 5 mg/ml
حقن Nicardipine hydrochloride 0.1 mg/ml
الجلوكوز %5 1490
عدم توافق غير محدد غير متوافق
حقن Erythromycin lactobionate
حقن Oxacillin sodium
3674
عدم توافق غير محدد غير متوافق
حقن Erythromycin lactobionate
حقن Oxytetracycline hydrochloride
3674
kompatibel
حقن Erythromycin lactobionate 50 mg/ml
حقن Paracetamol 10 mg/ml
4742
عدم توافق غير محدد غير متوافق
حقن Erythromycin lactobionate
حقن Penicillin G potassium
3674
عدم توافق غير محدد غير متوافق
حقن Erythromycin lactobionate
حقن Penicillin G sodium
3674
عدم توافق غير محدد غير متوافق
حقن Erythromycin lactobionate
حقن Pentobarbital sodium
3674
kompatibel
حقن Erythromycin lactobionate 5 mg/ml
حقن Pethidine hydrochloride 10 mg/ml
الجلوكوز %5 405
عدم توافق غير محدد غير متوافق
حقن Erythromycin lactobionate
حقن Phenobarbital sodium
3674
عدم توافق غير محدد غير متوافق
حقن Erythromycin lactobionate
حقن Phenytoin sodium
3674
عدم توافق غير محدد غير متوافق
حقن Erythromycin lactobionate
حقن Piperacillin sodium
3674
عدم توافق غير محدد غير متوافق
حقن Erythromycin lactobionate
حقن Piperacillin sodium / tazobactam
3674
عدم توافق غير محدد غير متوافق
حقن Erythromycin lactobionate
حقن Plazomicin sulfate
3674
عدم توافق غير محدد غير متوافق
حقن Erythromycin lactobionate
حقن Prochlorperazine edysilate
3674
عدم توافق غير محدد غير متوافق
حقن Erythromycin lactobionate
حقن Promethazine hydrochloride
3674
عدم توافق غير محدد غير متوافق
حقن Erythromycin lactobionate
حقن Pyridoxine hydrochloride
3674
عدم توافق غير محدد غير متوافق
حقن Erythromycin lactobionate
حقن Rocuronium bromide
3564
kompatibel
حقن Erythromycin lactobionate 50 mg/ml
حقن Salbutamol sulfate 1 mg/ml
لا شيء 3216
عدم توافق غير محدد غير متوافق
حقن Erythromycin lactobionate
حقن Streptomycin sulfate
3674
kompatibel
حقن Erythromycin lactobionate 20 mg/ml
حقن Tacrolimus 1000 µg/ml
كلوريد الصوديوم 0.9% 479
عدم توافق غير محدد غير متوافق
حقن Erythromycin lactobionate
حقن Temocilline
3674
kompatibel
حقن Erythromycin lactobionate 5 mg/ml
حقن Temocilline 83.33 mg/ml
حقن المياه لل 2231
kompatibel
حقن Erythromycin lactobionate 3.3 mg/ml
حقن Theophylline 4 mg/ml
لا شيء 317
هطول فوري غير متوافق
حقن Erythromycin lactobionate 50 mg/ml
حقن Thiopental sodium 25 mg/ml
كلوريد الصوديوم 0.9% 3767
عدم توافق غير محدد غير متوافق
حقن Erythromycin lactobionate
حقن Thiopental sodium
3674
عدم توافق غير محدد غير متوافق
حقن Erythromycin lactobionate
حقن Ticarcillin / clavulanic acid
3674
عدم توافق غير محدد غير متوافق
حقن Erythromycin lactobionate
حقن Tigecycline
3674
عدم توافق غير محدد غير متوافق
حقن Erythromycin lactobionate
حقن Tobramycin sulfate
3674
عدم توافق غير محدد غير متوافق
حقن Erythromycin lactobionate
حقن Triflupromazine hydrochloride
3674
kompatibel
حقن Erythromycin lactobionate 5 mg/ml
حقن Vancomycin hydrochloride 10 mg/ml
الجلوكوز %5 3385
kompatibel
حقن Erythromycin lactobionate 2 mg/ml
حقن Verapamil hydrochloride 0.08 mg/ml
كلوريد الصوديوم 0.9% 1057
kompatibel
حقن Erythromycin lactobionate 2 mg/ml
حقن Verapamil hydrochloride 0.08 mg/ml
الجلوكوز %5 1057
kompatibel
حقن Erythromycin lactobionate 20 mg/ml
حقن Zidovudine 4 mg/ml
الجلوكوز %5 337

  Mentions Légales