Ultimo aggiornamento :
27/04/2026
Antibiotico   Erythromycin lactobionate  
Iniezione
Stabilità in soluzione Stabilità in miscela Fattori che influenzano la stabilità Compatibilità metodo di iniezione Bibliografia pdf
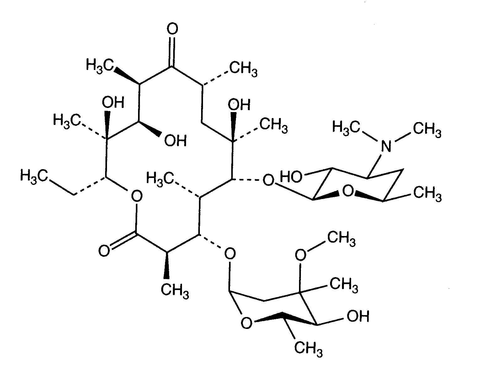
   Struttura chimica  

Nome commerciale   Nome commerciale     

Trade names are indicative and excipients composition can be different depending on the country and manufacturers

Abboticin Danimarca, Finlandia, Norvegia, Svezia
Eristin Argentina
Erithromicina Chile
Erycinum Germania
Erythrocin Arabia Saudita, Australia, Austria, Canada, Germania, Gran Bretagna, Irlanda, nuova Zelanda, Stati Uniti d’America
Erythrocin lactobionat ADD Vantage Australia, Austria
Erythrocine Belgio, Francia, Lussemburgo, Paesi Bassi, Tunisia
Erythromycin Arabia Saudita, Germania, Gran Bretagna, Stati Uniti d’America, Ungheria
Erythromycine Lussemburgo
Erythromycinum Polonia
Pantomicina Chile, Spagna
Compatibilità   Iniezione   Compatibilità : Erythromycin lactobionate              
explication_incompatibilite_molecules
Molecola Solvente Bibliografia
Compatibile
Iniezione Erythromycin lactobionate 4 mg/ml
Iniezione Aciclovir sodium 5 mg/ml
Glucosio 5% 336
Incompatibilità non specificata Incompatibile
Iniezione Erythromycin lactobionate
Iniezione Amikacin sulfate
3674
Incompatibilità non specificata Incompatibile
Iniezione Erythromycin lactobionate
Iniezione Amikacin sulfate
3549
Incompatibilità non specificata Incompatibile
Iniezione Erythromycin lactobionate
Iniezione Aminophylline
3674
Compatibile
Iniezione Erythromycin lactobionate 2 mg/ml
Iniezione Amiodarone hydrochloride 4 mg/ml
Cloruro di sodio 0,9% 385
Compatibile
Iniezione Erythromycin lactobionate 2 mg/ml
Iniezione Amiodarone hydrochloride 4 mg/ml
Glucosio 5% 385
Incompatibilità non specificata Incompatibile
Iniezione Erythromycin lactobionate
Iniezione Amobarbital sodium
3674
Incompatibilità non specificata Incompatibile
Iniezione Erythromycin lactobionate
Iniezione Amoxicillin sodium
3674
Precipitazioni immediate Incompatibile
Iniezione Erythromycin lactobionate 50 mg/ml
Iniezione Amoxicillin sodium / clavulanic acid 100/10 mg/ml
3824
Incompatibilità non specificata Incompatibile
Iniezione Erythromycin lactobionate
Iniezione Amoxicillin sodium / clavulanic acid
3674
Incompatibilità non specificata Incompatibile
Iniezione Erythromycin lactobionate
Iniezione Ampicillin sodium
3674
Incompatibilità non specificata Incompatibile
Iniezione Erythromycin lactobionate
Iniezione Ampicillin sodium - sulbactam sodium
3674
Compatibile
Iniezione Erythromycin lactobionate 5 mg/ml
Iniezione Anidulafungin 0.5 mg/ml
Glucosio 5% 1982
Incompatibilità non specificata Incompatibile
Iniezione Erythromycin lactobionate
Iniezione Ascorbic acid
5089
Incompatibilità non specificata Incompatibile
Iniezione Erythromycin lactobionate
Iniezione Ascorbic acid
3674
Incompatibilità non specificata Incompatibile
Iniezione Erythromycin lactobionate
Iniezione Aztreonam
3674
Compatibile
Iniezione Erythromycin lactobionate 5 mg/ml
Iniezione Bivalirudin 5 mg/ml
Glucosio 5% 1713
Compatibile
Iniezione Erythromycin lactobionate
Cloruro di sodio 0,9% 3674
Precipitazioni immediate Incompatibile
Iniezione Erythromycin lactobionate 50 mg/ml
Iniezione Caffeine 10 mg/ml
Nessuno 3964
Incompatibilità non specificata Incompatibile
Iniezione Erythromycin lactobionate
Iniezione Cefalotin sodium
3674
Incompatibilità non specificata Incompatibile
Iniezione Erythromycin lactobionate
Iniezione Cefamandole nafate
3674
Incompatibilità non specificata Incompatibile
Iniezione Erythromycin lactobionate
Iniezione Cefazolin sodium
3674
Torbidità in un'ora Incompatibile
Iniezione Erythromycin lactobionate 20 mg/ml
Iniezione Cefazolin sodium 220 mg/ml
805
Incompatibilità non specificata Incompatibile
Iniezione Erythromycin lactobionate
Iniezione Cefepime dihydrochloride
3674
Instabilità chimica Incompatibile
Iniezione Erythromycin lactobionate 5 mg/ml
Iniezione Cefepime dihydrochloride 125 mg/ml
Acqua per preparato iniettabile 2141
Incompatibilità non specificata Incompatibile
Iniezione Erythromycin lactobionate
Iniezione Cefmenoxime
3674
Incompatibilità non specificata Incompatibile
Iniezione Erythromycin lactobionate
Iniezione Cefmetazole sodium
3674
Precipitazioni immediate Incompatibile
Iniezione Erythromycin lactobionate 10 & 50 mg/ml
Iniezione Cefmetazole sodium 100 mg/ml
Acqua per preparato iniettabile 93
Incompatibilità non specificata Incompatibile
Iniezione Erythromycin lactobionate
Iniezione Cefonicid sodium
3674
Incompatibilità non specificata Incompatibile
Iniezione Erythromycin lactobionate
Iniezione Cefoperazone sodium
3674
Incompatibilità non specificata Incompatibile
Iniezione Erythromycin lactobionate
Iniezione Ceforanide
3674
Incompatibilità non specificata Incompatibile
Iniezione Erythromycin lactobionate
Iniezione Cefotaxime sodium
3674
Incompatibilità non specificata Incompatibile
Iniezione Erythromycin lactobionate
Iniezione Cefoxitin sodium
3674
Incompatibilità non specificata Incompatibile
Iniezione Erythromycin lactobionate
Iniezione Cefpirome sulfate
3674
Incompatibilità non specificata Incompatibile
Iniezione Erythromycin lactobionate
Iniezione Ceftaroline fosamil
3674
Precipitazioni immediate Incompatibile
Iniezione Erythromycin lactobionate 5 mg/ml
Iniezione Ceftazidime 125 mg/ml
Acqua per preparato iniettabile 2141
Incompatibilità non specificata Incompatibile
Iniezione Erythromycin lactobionate
Iniezione Ceftazidime
3674
Precipitazioni immediate Incompatibile
Iniezione Erythromycin lactobionate 10 & 50 mg/ml
Iniezione Ceftazidime 83.3 mg/ml
1759
Incompatibilità non specificata Incompatibile
Iniezione Erythromycin lactobionate
Iniezione Ceftazidime Avibactam
3674
Incompatibilità non specificata Incompatibile
Iniezione Erythromycin lactobionate
Iniezione Ceftizoxime sodium
3674
Incompatibilità non specificata Incompatibile
Iniezione Erythromycin lactobionate
Iniezione Ceftobiprole medocaril sodium
3674
Incompatibilità non specificata Incompatibile
Iniezione Erythromycin lactobionate
Iniezione Ceftolozane / tazobactam
3674
Incompatibilità non specificata Incompatibile
Iniezione Erythromycin lactobionate
Iniezione Ceftriaxone disodium
3674
Incompatibilità non specificata Incompatibile
Iniezione Erythromycin lactobionate
Iniezione Cefuroxime sodium
3674
Incompatibilità non specificata Incompatibile
Iniezione Erythromycin lactobionate
Iniezione Cefuzonam
3674
Incompatibilità non specificata Incompatibile
Iniezione Erythromycin lactobionate
Iniezione Chloramphenicol sodium succinate
3674
Incompatibilità non specificata Incompatibile
Iniezione Erythromycin lactobionate
Iniezione Chlorpromazine hydrochloride
3674
Compatibile
Iniezione Erythromycin lactobionate 5 & 50 mg/ml
Iniezione Diltiazem hydrochloride 5 mg/ml
Cloruro di sodio 0,9% 198
Incompatibilità non specificata Incompatibile
Iniezione Erythromycin lactobionate
Iniezione Doripenem
3674
Compatibile
Iniezione Erythromycin lactobionate 10 mg/ml
Nutrizione parenterale (privo di lipidi) 939
Compatibile
Iniezione Erythromycin lactobionate 5 mg/ml
Iniezione Cimetidine hydrochloride 3 mg/ml
Cloruro di sodio 0,9% 1201
Precipitazioni immediate Incompatibile
Iniezione Erythromycin lactobionate 50 mg/ml
Iniezione Cloxacillin sodium 100 mg/ml
Acqua per preparato iniettabile 3012
Incompatibilità non specificata Incompatibile
Iniezione Erythromycin lactobionate
Iniezione Cloxacillin sodium
3674
Incompatibilità non specificata Incompatibile
Iniezione Erythromycin lactobionate
Iniezione Colistin mesilate sodium
3674
Compatibile
Iniezione Erythromycin lactobionate 5 mg/ml
Iniezione Dexmedetomidine 4 µg/ml
Cloruro di sodio 0,9% 1712
Compatibile
Iniezione Erythromycin lactobionate 5 mg/ml
Iniezione Doxapram hydrochloride 2 mg/ml
Glucosio 5% 1802
Incompatibilità non specificata Incompatibile
Iniezione Erythromycin lactobionate
Iniezione Doxycycline hyclate
3674
Compatibile
Iniezione Erythromycin lactobionate 5 mg/ml
Iniezione Enalaprilate 0.05 mg/ml
Cloruro di sodio 0,9% 1315
Incompatibilità non specificata Incompatibile
Iniezione Erythromycin lactobionate
Iniezione Ertapenem
3674
Compatibile
Iniezione Erythromycin lactobionate 5 mg/ml
Iniezione Esmolol hydrochloride 10 mg/ml
Glucosio 5% 384
Compatibile
Iniezione Erythromycin lactobionate 2 mg/ml
Iniezione Famotidine
Glucosio 5% 397
Compatibile
Iniezione Erythromycin lactobionate
Glucosio 5% 3674
Compatibile
Iniezione Erythromycin lactobionate 5 mg/ml
Iniezione Fenoldopam mesylate 80 µg/ml
Cloruro di sodio 0,9% 1803
Incompatibilità non specificata Incompatibile
Iniezione Erythromycin lactobionate
Iniezione Flucloxacillin sodium
3674
Precipitazioni immediate Incompatibile
Iniezione Erythromycin lactobionate 5 mg/ml
Iniezione Flucloxacillin sodium 20 mg/ml
Cloruro di sodio 0,9% 1232
Precipitazioni immediate Incompatibile
Iniezione Erythromycin lactobionate 20 mg/ml
Iniezione Fluconazole 2 mg/ml
Cloruro di sodio 0,9% 496
Compatibile
Iniezione Erythromycin lactobionate 20 mg/ml
Iniezione Foscarnet sodium 24 mg/ml
Cloruro di sodio 0,9% 1135
Compatibile
Iniezione Erythromycin lactobionate 20 mg/ml
Iniezione Foscarnet sodium 24 mg/ml
Nessuno 73
Precipitazioni immediate Incompatibile
Iniezione Erythromycin lactobionate 5 mg/ml
Iniezione Furosemide 1 mg/ml
Cloruro di sodio 0,9% 1232
Incompatibilità non specificata Incompatibile
Iniezione Erythromycin lactobionate
Iniezione Gentamicin sulfate
3643
Incompatibilità non specificata Incompatibile
Iniezione Erythromycin lactobionate
Iniezione Gentamicin sulfate
3520
Incompatibilità non specificata Incompatibile
Iniezione Erythromycin lactobionate
Iniezione Gentamicin sulfate
3674
Incompatibilità non specificata Incompatibile
Iniezione Erythromycin lactobionate
Iniezione Heparin sodium
3674
Compatibile
Iniezione Erythromycin lactobionate 50 mg/ml
Ringer lattato 4603
Compatibile
Iniezione Erythromycin lactobionate 3.3 mg/ml
Iniezione Heparin sodium 50 UI/ml
Nessuno 317
Compatibile
Iniezione Erythromycin lactobionate 50 mg/ml
Nutrizione parenterale (privo di lipidi) 999
Incompatibilità non specificata Incompatibile
Iniezione Erythromycin lactobionate
Iniezione Heparin sodium
3540
Compatibile
Iniezione Erythromycin lactobionate 5 mg/ml
Iniezione Hetastarch 60 mg/ml
solvente specifico 1721
Compatibile
Iniezione Erythromycin lactobionate 5 mg/ml
Iniezione Hydromorphone hydrochloride 0.2 mg/ml
Glucosio 5% 405
Compatibile
Iniezione Erythromycin lactobionate 2 mg/ml
Iniezione Idarubicin hydrochloride 1 mg/ml
Cloruro di sodio 0,9% 491
Incompatibilità non specificata Incompatibile
Iniezione Erythromycin lactobionate
Iniezione Imipenem - cilastatin sodium
3674
Incompatibilità non specificata Incompatibile
Iniezione Erythromycin lactobionate
Iniezione Kanamycin sulfate
3674
Compatibile
Iniezione Erythromycin lactobionate 5 mg/ml
Iniezione Labetalol hydrochloride 1 mg/ml
Glucosio 5% 386
Incompatibilità non specificata Incompatibile
Iniezione Erythromycin lactobionate
Iniezione Levomepromazine
3674
Instabilità chimica Incompatibile
Iniezione Erythromycin lactobionate 5 mg/ml
Iniezione Linezolid 2 mg/ml
Nessuno 1607
Incompatibilità non specificata Incompatibile
Iniezione Erythromycin lactobionate
Iniezione Linezolid
3560
Compatibile
Iniezione Erythromycin lactobionate 5 mg/ml
Iniezione Linezolid 2 mg/ml
Nessuno 1925
Compatibile
Iniezione Erythromycin lactobionate 5 mg/ml
Iniezione Lorazepam 0.33 mg/ml
Cloruro di sodio 0,9% 186
Compatibile
Iniezione Erythromycin lactobionate 5 mg/ml
Iniezione Magnesium sulfate 16.67 >> 100 mg/ml
Glucosio 5% 1047
Compatibile
Iniezione Erythromycin lactobionate 50 mg/ml
Iniezione Meropenem 50 mg/ml
Acqua per preparato iniettabile 4319
Incompatibilità non specificata Incompatibile
Iniezione Erythromycin lactobionate
Iniezione Meropenem
3674
Incompatibilità non specificata Incompatibile
Iniezione Erythromycin lactobionate
Iniezione Mesna
3602
Incompatibilità non specificata Incompatibile
Iniezione Erythromycin lactobionate
Iniezione Metaraminol
5046
Incompatibilità non specificata Incompatibile
Iniezione Erythromycin lactobionate
Iniezione Methohexital sodium
3674
Compatibile
Iniezione Erythromycin lactobionate 5 mg/ml
Iniezione Midazolam hydrochloride 5 mg/ml
Nessuno 186
Incompatibilità non specificata Incompatibile
Iniezione Erythromycin lactobionate
Iniezione Minocycline hydrochloride
3674
Compatibile
Iniezione Erythromycin lactobionate 5 mg/ml
Iniezione Morphine sulfate 1 mg/ml
Glucosio 5% 405
Incompatibilità non specificata Incompatibile
Iniezione Erythromycin lactobionate
Iniezione Moxalactam
3674
Incompatibilità non specificata Incompatibile
Iniezione Erythromycin lactobionate
Iniezione N-acetylcysteine 200 mg/ml
Nessuno 3766
Incompatibilità non specificata Incompatibile
Iniezione Erythromycin lactobionate
Iniezione Nafcillin sodium
3674
Compatibile
Iniezione Erythromycin lactobionate 50 mg/ml
Iniezione Naloxone hydrochloride 0.4 mg/ml
Nessuno 3408
Incompatibilità non specificata Incompatibile
Iniezione Erythromycin lactobionate
Iniezione Netilmicin sulfate
3674
Compatibile
Iniezione Erythromycin lactobionate 5 mg/ml
Iniezione Nicardipine hydrochloride 0.1 mg/ml
Cloruro di sodio 0,9% 1490
Compatibile
Iniezione Erythromycin lactobionate 5 mg/ml
Iniezione Nicardipine hydrochloride 0.1 mg/ml
Glucosio 5% 1490
Incompatibilità non specificata Incompatibile
Iniezione Erythromycin lactobionate
Iniezione Oxacillin sodium
3674
Incompatibilità non specificata Incompatibile
Iniezione Erythromycin lactobionate
Iniezione Oxytetracycline hydrochloride
3674
Compatibile
Iniezione Erythromycin lactobionate 50 mg/ml
Iniezione Paracetamol 10 mg/ml
4742
Incompatibilità non specificata Incompatibile
Iniezione Erythromycin lactobionate
Iniezione Penicillin G potassium
3674
Incompatibilità non specificata Incompatibile
Iniezione Erythromycin lactobionate
Iniezione Penicillin G sodium
3674
Incompatibilità non specificata Incompatibile
Iniezione Erythromycin lactobionate
Iniezione Pentobarbital sodium
3674
Compatibile
Iniezione Erythromycin lactobionate 5 mg/ml
Iniezione Pethidine hydrochloride 10 mg/ml
Glucosio 5% 405
Incompatibilità non specificata Incompatibile
Iniezione Erythromycin lactobionate
Iniezione Phenobarbital sodium
3674
Incompatibilità non specificata Incompatibile
Iniezione Erythromycin lactobionate
Iniezione Phenytoin sodium
3674
Incompatibilità non specificata Incompatibile
Iniezione Erythromycin lactobionate
Iniezione Piperacillin sodium
3674
Incompatibilità non specificata Incompatibile
Iniezione Erythromycin lactobionate
Iniezione Piperacillin sodium / tazobactam
3674
Incompatibilità non specificata Incompatibile
Iniezione Erythromycin lactobionate
Iniezione Plazomicin sulfate
3674
Incompatibilità non specificata Incompatibile
Iniezione Erythromycin lactobionate
Iniezione Prochlorperazine edysilate
3674
Incompatibilità non specificata Incompatibile
Iniezione Erythromycin lactobionate
Iniezione Promethazine hydrochloride
3674
Incompatibilità non specificata Incompatibile
Iniezione Erythromycin lactobionate
Iniezione Pyridoxine hydrochloride
3674
Incompatibilità non specificata Incompatibile
Iniezione Erythromycin lactobionate
Iniezione Rocuronium bromide
3564
Compatibile
Iniezione Erythromycin lactobionate 50 mg/ml
Iniezione Salbutamol sulfate 1 mg/ml
Nessuno 3216
Incompatibilità non specificata Incompatibile
Iniezione Erythromycin lactobionate
Iniezione Streptomycin sulfate
3674
Compatibile
Iniezione Erythromycin lactobionate 20 mg/ml
Iniezione Tacrolimus 1000 µg/ml
Cloruro di sodio 0,9% 479
Incompatibilità non specificata Incompatibile
Iniezione Erythromycin lactobionate
Iniezione Temocilline
3674
Compatibile
Iniezione Erythromycin lactobionate 5 mg/ml
Iniezione Temocilline 83.33 mg/ml
Acqua per preparato iniettabile 2231
Compatibile
Iniezione Erythromycin lactobionate 3.3 mg/ml
Iniezione Theophylline 4 mg/ml
Nessuno 317
Precipitazioni immediate Incompatibile
Iniezione Erythromycin lactobionate 50 mg/ml
Iniezione Thiopental sodium 25 mg/ml
Cloruro di sodio 0,9% 3767
Incompatibilità non specificata Incompatibile
Iniezione Erythromycin lactobionate
Iniezione Thiopental sodium
3674
Incompatibilità non specificata Incompatibile
Iniezione Erythromycin lactobionate
Iniezione Ticarcillin / clavulanic acid
3674
Incompatibilità non specificata Incompatibile
Iniezione Erythromycin lactobionate
Iniezione Tigecycline
3674
Incompatibilità non specificata Incompatibile
Iniezione Erythromycin lactobionate
Iniezione Tobramycin sulfate
3674
Incompatibilità non specificata Incompatibile
Iniezione Erythromycin lactobionate
Iniezione Triflupromazine hydrochloride
3674
Compatibile
Iniezione Erythromycin lactobionate 5 mg/ml
Iniezione Vancomycin hydrochloride 10 mg/ml
Glucosio 5% 3385
Compatibile
Iniezione Erythromycin lactobionate 2 mg/ml
Iniezione Verapamil hydrochloride 0.08 mg/ml
Cloruro di sodio 0,9% 1057
Compatibile
Iniezione Erythromycin lactobionate 2 mg/ml
Iniezione Verapamil hydrochloride 0.08 mg/ml
Glucosio 5% 1057
Compatibile
Iniezione Erythromycin lactobionate 20 mg/ml
Iniezione Zidovudine 4 mg/ml
Glucosio 5% 337

  Mentions Légales