Última actualização :
27/04/2026
antibiótico   Erythromycin lactobionate  
injetável
Estabilidade em soluções simples Estabilidade em misturas Factores que afectam a sua estabilidade Compatibilidade Método de administração Bibliografía pdf
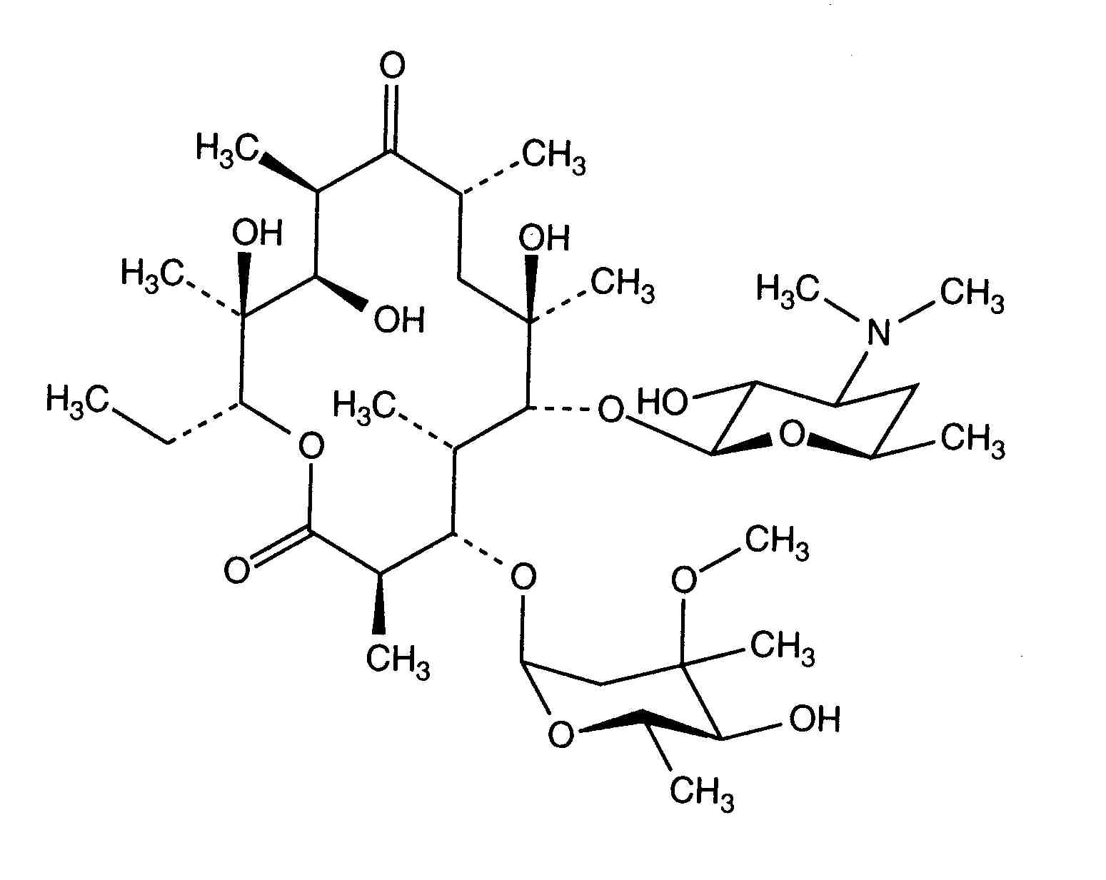
   estrutura química  

Nomes comerciais nos diversos países   Nomes comerciais nos diversos países     

OS NOMES COMERCIAIS SÃO INDICATIVOS E OS EXCIPIENTES DA FORMULAÇÃO PODEM SER DIFERENTES CONFORME O PAÍS E FABRICANTE.

Abboticin Dinamarca, Finlandia, Noruega, Suècia
Eristin Argentina
Erithromicina Chilli
Erycinum Alemanha
Erythrocin Alemanha, Arábia Saudita, Australia, Austria, Canadá, Estados Unidos de América, Gran-bretanha, Irlanda, nova Zelândia
Erythrocin lactobionat ADD Vantage Australia, Austria
Erythrocine Bélgica, França, Luxemburgo, Países Baixos, Tunísia
Erythromycin Alemanha, Arábia Saudita, Estados Unidos de América, Gran-bretanha, Hungria
Erythromycine Luxemburgo
Erythromycinum Polonia
Pantomicina Chilli, Espanha
Compatibilidade   injetável   Compatibilidade : Erythromycin lactobionate              
Este ecrã indica as compatibilidades ou incompatibilidades com, neste caso, o tipo de incompatibilidade (precipitação, mudança de cor, modificação de uma emulsão, etc.). As compatibilidades mostradas aqui são principalmente físicas, com a estabilidade química de cada molécula raramente sendo avaliada. A avaliação dessas misturas foi estudada para considerar a possibilidade de administração do local Y ao paciente. Estes dados não podem ser usados para fazer misturas antecipadamente em sacos ou seringas. Este tipo de informação está disponível na tela “Estabilidade na mistura».
molécula Solvente Bibliografia
Compatível
injetável Erythromycin lactobionate 4 mg/ml
injetável Aciclovir sodium 5 mg/ml
Glucose 5% 336
Incompatibilidade não especificada Incompatível
injetável Erythromycin lactobionate
injetável Amikacin sulfate
3674
Incompatibilidade não especificada Incompatível
injetável Erythromycin lactobionate
injetável Amikacin sulfate
3549
Incompatibilidade não especificada Incompatível
injetável Erythromycin lactobionate
injetável Aminophylline
3674
Compatível
injetável Erythromycin lactobionate 2 mg/ml
injetável Amiodarone hydrochloride 4 mg/ml
cloreto de sódio 0,9% 385
Compatível
injetável Erythromycin lactobionate 2 mg/ml
injetável Amiodarone hydrochloride 4 mg/ml
Glucose 5% 385
Incompatibilidade não especificada Incompatível
injetável Erythromycin lactobionate
injetável Amobarbital sodium
3674
Incompatibilidade não especificada Incompatível
injetável Erythromycin lactobionate
injetável Amoxicillin sodium
3674
Precipitação imediata Incompatível
injetável Erythromycin lactobionate 50 mg/ml
injetável Amoxicillin sodium / clavulanic acid 100/10 mg/ml
3824
Incompatibilidade não especificada Incompatível
injetável Erythromycin lactobionate
injetável Amoxicillin sodium / clavulanic acid
3674
Incompatibilidade não especificada Incompatível
injetável Erythromycin lactobionate
injetável Ampicillin sodium
3674
Incompatibilidade não especificada Incompatível
injetável Erythromycin lactobionate
injetável Ampicillin sodium - sulbactam sodium
3674
Compatível
injetável Erythromycin lactobionate 5 mg/ml
injetável Anidulafungin 0.5 mg/ml
Glucose 5% 1982
Incompatibilidade não especificada Incompatível
injetável Erythromycin lactobionate
injetável Ascorbic acid
5089
Incompatibilidade não especificada Incompatível
injetável Erythromycin lactobionate
injetável Ascorbic acid
3674
Incompatibilidade não especificada Incompatível
injetável Erythromycin lactobionate
injetável Aztreonam
3674
Compatível
injetável Erythromycin lactobionate 5 mg/ml
injetável Bivalirudin 5 mg/ml
Glucose 5% 1713
Compatível
injetável Erythromycin lactobionate
cloreto de sódio 0,9% 3674
Precipitação imediata Incompatível
injetável Erythromycin lactobionate 50 mg/ml
injetável Caffeine 10 mg/ml
nenhum 3964
Incompatibilidade não especificada Incompatível
injetável Erythromycin lactobionate
injetável Cefalotin sodium
3674
Incompatibilidade não especificada Incompatível
injetável Erythromycin lactobionate
injetável Cefamandole nafate
3674
Incompatibilidade não especificada Incompatível
injetável Erythromycin lactobionate
injetável Cefazolin sodium
3674
Turbidez em uma hora Incompatível
injetável Erythromycin lactobionate 20 mg/ml
injetável Cefazolin sodium 220 mg/ml
805
Incompatibilidade não especificada Incompatível
injetável Erythromycin lactobionate
injetável Cefepime dihydrochloride
3674
Instabilidade química Incompatível
injetável Erythromycin lactobionate 5 mg/ml
injetável Cefepime dihydrochloride 125 mg/ml
Agua para injectaveis 2141
Incompatibilidade não especificada Incompatível
injetável Erythromycin lactobionate
injetável Cefmenoxime
3674
Incompatibilidade não especificada Incompatível
injetável Erythromycin lactobionate
injetável Cefmetazole sodium
3674
Precipitação imediata Incompatível
injetável Erythromycin lactobionate 10 & 50 mg/ml
injetável Cefmetazole sodium 100 mg/ml
Agua para injectaveis 93
Incompatibilidade não especificada Incompatível
injetável Erythromycin lactobionate
injetável Cefonicid sodium
3674
Incompatibilidade não especificada Incompatível
injetável Erythromycin lactobionate
injetável Cefoperazone sodium
3674
Incompatibilidade não especificada Incompatível
injetável Erythromycin lactobionate
injetável Ceforanide
3674
Incompatibilidade não especificada Incompatível
injetável Erythromycin lactobionate
injetável Cefotaxime sodium
3674
Incompatibilidade não especificada Incompatível
injetável Erythromycin lactobionate
injetável Cefoxitin sodium
3674
Incompatibilidade não especificada Incompatível
injetável Erythromycin lactobionate
injetável Cefpirome sulfate
3674
Incompatibilidade não especificada Incompatível
injetável Erythromycin lactobionate
injetável Ceftaroline fosamil
3674
Precipitação imediata Incompatível
injetável Erythromycin lactobionate 5 mg/ml
injetável Ceftazidime 125 mg/ml
Agua para injectaveis 2141
Incompatibilidade não especificada Incompatível
injetável Erythromycin lactobionate
injetável Ceftazidime
3674
Precipitação imediata Incompatível
injetável Erythromycin lactobionate 10 & 50 mg/ml
injetável Ceftazidime 83.3 mg/ml
1759
Incompatibilidade não especificada Incompatível
injetável Erythromycin lactobionate
injetável Ceftazidime Avibactam
3674
Incompatibilidade não especificada Incompatível
injetável Erythromycin lactobionate
injetável Ceftizoxime sodium
3674
Incompatibilidade não especificada Incompatível
injetável Erythromycin lactobionate
injetável Ceftobiprole medocaril sodium
3674
Incompatibilidade não especificada Incompatível
injetável Erythromycin lactobionate
injetável Ceftolozane / tazobactam
3674
Incompatibilidade não especificada Incompatível
injetável Erythromycin lactobionate
injetável Ceftriaxone disodium
3674
Incompatibilidade não especificada Incompatível
injetável Erythromycin lactobionate
injetável Cefuroxime sodium
3674
Incompatibilidade não especificada Incompatível
injetável Erythromycin lactobionate
injetável Cefuzonam
3674
Incompatibilidade não especificada Incompatível
injetável Erythromycin lactobionate
injetável Chloramphenicol sodium succinate
3674
Incompatibilidade não especificada Incompatível
injetável Erythromycin lactobionate
injetável Chlorpromazine hydrochloride
3674
Compatível
injetável Erythromycin lactobionate 5 & 50 mg/ml
injetável Diltiazem hydrochloride 5 mg/ml
cloreto de sódio 0,9% 198
Incompatibilidade não especificada Incompatível
injetável Erythromycin lactobionate
injetável Doripenem
3674
Compatível
injetável Erythromycin lactobionate 10 mg/ml
Nutrição parenterica (mistura binária) 939
Compatível
injetável Erythromycin lactobionate 5 mg/ml
injetável Cimetidine hydrochloride 3 mg/ml
cloreto de sódio 0,9% 1201
Precipitação imediata Incompatível
injetável Erythromycin lactobionate 50 mg/ml
injetável Cloxacillin sodium 100 mg/ml
Agua para injectaveis 3012
Incompatibilidade não especificada Incompatível
injetável Erythromycin lactobionate
injetável Cloxacillin sodium
3674
Incompatibilidade não especificada Incompatível
injetável Erythromycin lactobionate
injetável Colistin mesilate sodium
3674
Compatível
injetável Erythromycin lactobionate 5 mg/ml
injetável Dexmedetomidine 4 µg/ml
cloreto de sódio 0,9% 1712
Compatível
injetável Erythromycin lactobionate 5 mg/ml
injetável Doxapram hydrochloride 2 mg/ml
Glucose 5% 1802
Incompatibilidade não especificada Incompatível
injetável Erythromycin lactobionate
injetável Doxycycline hyclate
3674
Compatível
injetável Erythromycin lactobionate 5 mg/ml
injetável Enalaprilate 0.05 mg/ml
cloreto de sódio 0,9% 1315
Incompatibilidade não especificada Incompatível
injetável Erythromycin lactobionate
injetável Ertapenem
3674
Compatível
injetável Erythromycin lactobionate 5 mg/ml
injetável Esmolol hydrochloride 10 mg/ml
Glucose 5% 384
Compatível
injetável Erythromycin lactobionate 2 mg/ml
injetável Famotidine
Glucose 5% 397
Compatível
injetável Erythromycin lactobionate
Glucose 5% 3674
Compatível
injetável Erythromycin lactobionate 5 mg/ml
injetável Fenoldopam mesylate 80 µg/ml
cloreto de sódio 0,9% 1803
Incompatibilidade não especificada Incompatível
injetável Erythromycin lactobionate
injetável Flucloxacillin sodium
3674
Precipitação imediata Incompatível
injetável Erythromycin lactobionate 5 mg/ml
injetável Flucloxacillin sodium 20 mg/ml
cloreto de sódio 0,9% 1232
Precipitação imediata Incompatível
injetável Erythromycin lactobionate 20 mg/ml
injetável Fluconazole 2 mg/ml
cloreto de sódio 0,9% 496
Compatível
injetável Erythromycin lactobionate 20 mg/ml
injetável Foscarnet sodium 24 mg/ml
cloreto de sódio 0,9% 1135
Compatível
injetável Erythromycin lactobionate 20 mg/ml
injetável Foscarnet sodium 24 mg/ml
nenhum 73
Precipitação imediata Incompatível
injetável Erythromycin lactobionate 5 mg/ml
injetável Furosemide 1 mg/ml
cloreto de sódio 0,9% 1232
Incompatibilidade não especificada Incompatível
injetável Erythromycin lactobionate
injetável Gentamicin sulfate
3643
Incompatibilidade não especificada Incompatível
injetável Erythromycin lactobionate
injetável Gentamicin sulfate
3520
Incompatibilidade não especificada Incompatível
injetável Erythromycin lactobionate
injetável Gentamicin sulfate
3674
Incompatibilidade não especificada Incompatível
injetável Erythromycin lactobionate
injetável Heparin sodium
3674
Compatível
injetável Erythromycin lactobionate 50 mg/ml
Ringer lactato 4603
Compatível
injetável Erythromycin lactobionate 3.3 mg/ml
injetável Heparin sodium 50 UI/ml
nenhum 317
Compatível
injetável Erythromycin lactobionate 50 mg/ml
Nutrição parenterica (mistura binária) 999
Incompatibilidade não especificada Incompatível
injetável Erythromycin lactobionate
injetável Heparin sodium
3540
Compatível
injetável Erythromycin lactobionate 5 mg/ml
injetável Hetastarch 60 mg/ml
solvente específico 1721
Compatível
injetável Erythromycin lactobionate 5 mg/ml
injetável Hydromorphone hydrochloride 0.2 mg/ml
Glucose 5% 405
Compatível
injetável Erythromycin lactobionate 2 mg/ml
injetável Idarubicin hydrochloride 1 mg/ml
cloreto de sódio 0,9% 491
Incompatibilidade não especificada Incompatível
injetável Erythromycin lactobionate
injetável Imipenem - cilastatin sodium
3674
Incompatibilidade não especificada Incompatível
injetável Erythromycin lactobionate
injetável Kanamycin sulfate
3674
Compatível
injetável Erythromycin lactobionate 5 mg/ml
injetável Labetalol hydrochloride 1 mg/ml
Glucose 5% 386
Incompatibilidade não especificada Incompatível
injetável Erythromycin lactobionate
injetável Levomepromazine
3674
Instabilidade química Incompatível
injetável Erythromycin lactobionate 5 mg/ml
injetável Linezolid 2 mg/ml
nenhum 1607
Incompatibilidade não especificada Incompatível
injetável Erythromycin lactobionate
injetável Linezolid
3560
Compatível
injetável Erythromycin lactobionate 5 mg/ml
injetável Linezolid 2 mg/ml
nenhum 1925
Compatível
injetável Erythromycin lactobionate 5 mg/ml
injetável Lorazepam 0.33 mg/ml
cloreto de sódio 0,9% 186
Compatível
injetável Erythromycin lactobionate 5 mg/ml
injetável Magnesium sulfate 16.67 >> 100 mg/ml
Glucose 5% 1047
Compatível
injetável Erythromycin lactobionate 50 mg/ml
injetável Meropenem 50 mg/ml
Agua para injectaveis 4319
Incompatibilidade não especificada Incompatível
injetável Erythromycin lactobionate
injetável Meropenem
3674
Incompatibilidade não especificada Incompatível
injetável Erythromycin lactobionate
injetável Mesna
3602
Incompatibilidade não especificada Incompatível
injetável Erythromycin lactobionate
injetável Metaraminol
5046
Incompatibilidade não especificada Incompatível
injetável Erythromycin lactobionate
injetável Methohexital sodium
3674
Compatível
injetável Erythromycin lactobionate 5 mg/ml
injetável Midazolam hydrochloride 5 mg/ml
nenhum 186
Incompatibilidade não especificada Incompatível
injetável Erythromycin lactobionate
injetável Minocycline hydrochloride
3674
Compatível
injetável Erythromycin lactobionate 5 mg/ml
injetável Morphine sulfate 1 mg/ml
Glucose 5% 405
Incompatibilidade não especificada Incompatível
injetável Erythromycin lactobionate
injetável Moxalactam
3674
Incompatibilidade não especificada Incompatível
injetável Erythromycin lactobionate
injetável N-acetylcysteine 200 mg/ml
nenhum 3766
Incompatibilidade não especificada Incompatível
injetável Erythromycin lactobionate
injetável Nafcillin sodium
3674
Compatível
injetável Erythromycin lactobionate 50 mg/ml
injetável Naloxone hydrochloride 0.4 mg/ml
nenhum 3408
Incompatibilidade não especificada Incompatível
injetável Erythromycin lactobionate
injetável Netilmicin sulfate
3674
Compatível
injetável Erythromycin lactobionate 5 mg/ml
injetável Nicardipine hydrochloride 0.1 mg/ml
cloreto de sódio 0,9% 1490
Compatível
injetável Erythromycin lactobionate 5 mg/ml
injetável Nicardipine hydrochloride 0.1 mg/ml
Glucose 5% 1490
Incompatibilidade não especificada Incompatível
injetável Erythromycin lactobionate
injetável Oxacillin sodium
3674
Incompatibilidade não especificada Incompatível
injetável Erythromycin lactobionate
injetável Oxytetracycline hydrochloride
3674
Compatível
injetável Erythromycin lactobionate 50 mg/ml
injetável Paracetamol 10 mg/ml
4742
Incompatibilidade não especificada Incompatível
injetável Erythromycin lactobionate
injetável Penicillin G potassium
3674
Incompatibilidade não especificada Incompatível
injetável Erythromycin lactobionate
injetável Penicillin G sodium
3674
Incompatibilidade não especificada Incompatível
injetável Erythromycin lactobionate
injetável Pentobarbital sodium
3674
Compatível
injetável Erythromycin lactobionate 5 mg/ml
injetável Pethidine hydrochloride 10 mg/ml
Glucose 5% 405
Incompatibilidade não especificada Incompatível
injetável Erythromycin lactobionate
injetável Phenobarbital sodium
3674
Incompatibilidade não especificada Incompatível
injetável Erythromycin lactobionate
injetável Phenytoin sodium
3674
Incompatibilidade não especificada Incompatível
injetável Erythromycin lactobionate
injetável Piperacillin sodium
3674
Incompatibilidade não especificada Incompatível
injetável Erythromycin lactobionate
injetável Piperacillin sodium / tazobactam
3674
Incompatibilidade não especificada Incompatível
injetável Erythromycin lactobionate
injetável Plazomicin sulfate
3674
Incompatibilidade não especificada Incompatível
injetável Erythromycin lactobionate
injetável Prochlorperazine edysilate
3674
Incompatibilidade não especificada Incompatível
injetável Erythromycin lactobionate
injetável Promethazine hydrochloride
3674
Incompatibilidade não especificada Incompatível
injetável Erythromycin lactobionate
injetável Pyridoxine hydrochloride
3674
Incompatibilidade não especificada Incompatível
injetável Erythromycin lactobionate
injetável Rocuronium bromide
3564
Compatível
injetável Erythromycin lactobionate 50 mg/ml
injetável Salbutamol sulfate 1 mg/ml
nenhum 3216
Incompatibilidade não especificada Incompatível
injetável Erythromycin lactobionate
injetável Streptomycin sulfate
3674
Compatível
injetável Erythromycin lactobionate 20 mg/ml
injetável Tacrolimus 1000 µg/ml
cloreto de sódio 0,9% 479
Incompatibilidade não especificada Incompatível
injetável Erythromycin lactobionate
injetável Temocilline
3674
Compatível
injetável Erythromycin lactobionate 5 mg/ml
injetável Temocilline 83.33 mg/ml
Agua para injectaveis 2231
Compatível
injetável Erythromycin lactobionate 3.3 mg/ml
injetável Theophylline 4 mg/ml
nenhum 317
Precipitação imediata Incompatível
injetável Erythromycin lactobionate 50 mg/ml
injetável Thiopental sodium 25 mg/ml
cloreto de sódio 0,9% 3767
Incompatibilidade não especificada Incompatível
injetável Erythromycin lactobionate
injetável Thiopental sodium
3674
Incompatibilidade não especificada Incompatível
injetável Erythromycin lactobionate
injetável Ticarcillin / clavulanic acid
3674
Incompatibilidade não especificada Incompatível
injetável Erythromycin lactobionate
injetável Tigecycline
3674
Incompatibilidade não especificada Incompatível
injetável Erythromycin lactobionate
injetável Tobramycin sulfate
3674
Incompatibilidade não especificada Incompatível
injetável Erythromycin lactobionate
injetável Triflupromazine hydrochloride
3674
Compatível
injetável Erythromycin lactobionate 5 mg/ml
injetável Vancomycin hydrochloride 10 mg/ml
Glucose 5% 3385
Compatível
injetável Erythromycin lactobionate 2 mg/ml
injetável Verapamil hydrochloride 0.08 mg/ml
cloreto de sódio 0,9% 1057
Compatível
injetável Erythromycin lactobionate 2 mg/ml
injetável Verapamil hydrochloride 0.08 mg/ml
Glucose 5% 1057
Compatível
injetável Erythromycin lactobionate 20 mg/ml
injetável Zidovudine 4 mg/ml
Glucose 5% 337

  Mentions Légales