最新更新 :
27/04/2026
抗生素   Erythromycin lactobionate  
注射液
溶液稳定性 混合物稳定性 影响稳定性的因素 兼容性 用药途径 引用文献 PDF
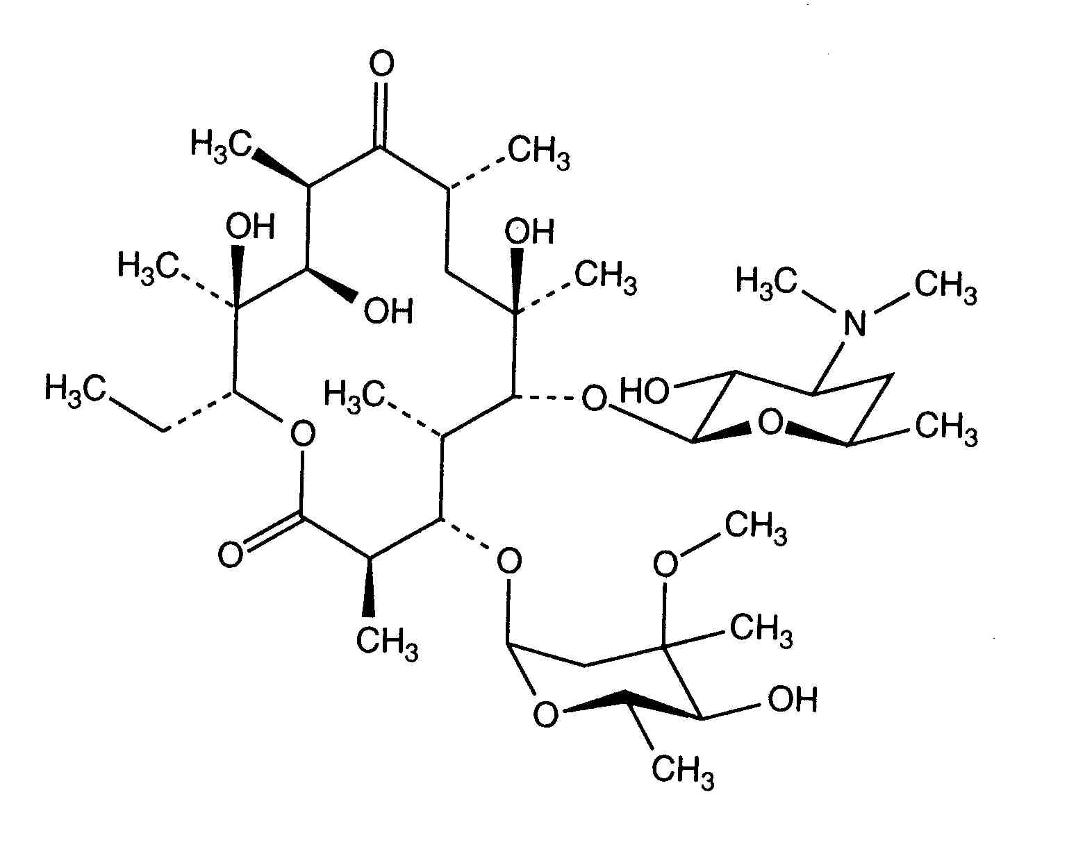
   化学式  

商品名   商品名     

商品名仅供参考, 药品所用的辅料可能依国家或厂商不同有所不同。

Abboticin 丹麦, 挪威, 瑞典, 芬兰
Eristin 阿根廷
Erithromicina 智利
Erycinum 德国
Erythrocin 加拿大, 奥地利, 德国, 新西蘭, 沙特阿拉伯, 澳大利亚, 爱尔兰, 美国, 英国
Erythrocin lactobionat ADD Vantage 奥地利, 澳大利亚
Erythrocine 卢森堡, 比利时, 法国, 突尼斯, 荷兰
Erythromycin 匈牙利, 德国, 沙特阿拉伯, 美国, 英国
Erythromycine 卢森堡
Erythromycinum 波兰
Pantomicina 智利, 西班牙
兼容性   注射液   兼容性 : Erythromycin lactobionate              
This screen indicates the compatibilities or incompatibilities with, in this case, the type of incompatibility (precipitation, color change, modification of an emulsion, etc.). The compatibilities shown here are mostly physical only, with the chemical stability of each molecule rarely being assessed. The evaluation of these mixtures was studied to consider the possibility of Y-site administration to the patient. These data cannot be used for making mixtures in advance in bags or syringes. This type of information is available in the screen "Stability in mixture ».
分子 溶剂 引用文献
兼容
注射液 Erythromycin lactobionate 4 mg/ml
注射液 Aciclovir sodium 5 mg/ml
葡萄糖5% 336
未指定的不兼容性 不相容
注射液 Erythromycin lactobionate
注射液 Amikacin sulfate
3674
未指定的不兼容性 不相容
注射液 Erythromycin lactobionate
注射液 Amikacin sulfate
3549
未指定的不兼容性 不相容
注射液 Erythromycin lactobionate
注射液 Aminophylline
3674
兼容
注射液 Erythromycin lactobionate 2 mg/ml
注射液 Amiodarone hydrochloride 4 mg/ml
NaCl 0,9% 385
兼容
注射液 Erythromycin lactobionate 2 mg/ml
注射液 Amiodarone hydrochloride 4 mg/ml
葡萄糖5% 385
未指定的不兼容性 不相容
注射液 Erythromycin lactobionate
注射液 Amobarbital sodium
3674
未指定的不兼容性 不相容
注射液 Erythromycin lactobionate
注射液 Amoxicillin sodium
3674
立即沉澱 不相容
注射液 Erythromycin lactobionate 50 mg/ml
注射液 Amoxicillin sodium / clavulanic acid 100/10 mg/ml
3824
未指定的不兼容性 不相容
注射液 Erythromycin lactobionate
注射液 Amoxicillin sodium / clavulanic acid
3674
未指定的不兼容性 不相容
注射液 Erythromycin lactobionate
注射液 Ampicillin sodium
3674
未指定的不兼容性 不相容
注射液 Erythromycin lactobionate
注射液 Ampicillin sodium - sulbactam sodium
3674
兼容
注射液 Erythromycin lactobionate 5 mg/ml
注射液 Anidulafungin 0.5 mg/ml
葡萄糖5% 1982
未指定的不兼容性 不相容
注射液 Erythromycin lactobionate
注射液 Ascorbic acid
5089
未指定的不兼容性 不相容
注射液 Erythromycin lactobionate
注射液 Ascorbic acid
3674
未指定的不兼容性 不相容
注射液 Erythromycin lactobionate
注射液 Aztreonam
3674
兼容
注射液 Erythromycin lactobionate 5 mg/ml
注射液 Bivalirudin 5 mg/ml
葡萄糖5% 1713
兼容
注射液 Erythromycin lactobionate
NaCl 0,9% 3674
立即沉澱 不相容
注射液 Erythromycin lactobionate 50 mg/ml
注射液 Caffeine 10 mg/ml
无 3964
未指定的不兼容性 不相容
注射液 Erythromycin lactobionate
注射液 Cefalotin sodium
3674
未指定的不兼容性 不相容
注射液 Erythromycin lactobionate
注射液 Cefamandole nafate
3674
未指定的不兼容性 不相容
注射液 Erythromycin lactobionate
注射液 Cefazolin sodium
3674
一小時渾濁 不相容
注射液 Erythromycin lactobionate 20 mg/ml
注射液 Cefazolin sodium 220 mg/ml
805
未指定的不兼容性 不相容
注射液 Erythromycin lactobionate
注射液 Cefepime dihydrochloride
3674
化學不穩定性 不相容
注射液 Erythromycin lactobionate 5 mg/ml
注射液 Cefepime dihydrochloride 125 mg/ml
注射用水 2141
未指定的不兼容性 不相容
注射液 Erythromycin lactobionate
注射液 Cefmenoxime
3674
未指定的不兼容性 不相容
注射液 Erythromycin lactobionate
注射液 Cefmetazole sodium
3674
立即沉澱 不相容
注射液 Erythromycin lactobionate 10 & 50 mg/ml
注射液 Cefmetazole sodium 100 mg/ml
注射用水 93
未指定的不兼容性 不相容
注射液 Erythromycin lactobionate
注射液 Cefonicid sodium
3674
未指定的不兼容性 不相容
注射液 Erythromycin lactobionate
注射液 Cefoperazone sodium
3674
未指定的不兼容性 不相容
注射液 Erythromycin lactobionate
注射液 Ceforanide
3674
未指定的不兼容性 不相容
注射液 Erythromycin lactobionate
注射液 Cefotaxime sodium
3674
未指定的不兼容性 不相容
注射液 Erythromycin lactobionate
注射液 Cefoxitin sodium
3674
未指定的不兼容性 不相容
注射液 Erythromycin lactobionate
注射液 Cefpirome sulfate
3674
未指定的不兼容性 不相容
注射液 Erythromycin lactobionate
注射液 Ceftaroline fosamil
3674
立即沉澱 不相容
注射液 Erythromycin lactobionate 5 mg/ml
注射液 Ceftazidime 125 mg/ml
注射用水 2141
未指定的不兼容性 不相容
注射液 Erythromycin lactobionate
注射液 Ceftazidime
3674
立即沉澱 不相容
注射液 Erythromycin lactobionate 10 & 50 mg/ml
注射液 Ceftazidime 83.3 mg/ml
1759
未指定的不兼容性 不相容
注射液 Erythromycin lactobionate
注射液 Ceftazidime Avibactam
3674
未指定的不兼容性 不相容
注射液 Erythromycin lactobionate
注射液 Ceftizoxime sodium
3674
未指定的不兼容性 不相容
注射液 Erythromycin lactobionate
注射液 Ceftobiprole medocaril sodium
3674
未指定的不兼容性 不相容
注射液 Erythromycin lactobionate
注射液 Ceftolozane / tazobactam
3674
未指定的不兼容性 不相容
注射液 Erythromycin lactobionate
注射液 Ceftriaxone disodium
3674
未指定的不兼容性 不相容
注射液 Erythromycin lactobionate
注射液 Cefuroxime sodium
3674
未指定的不兼容性 不相容
注射液 Erythromycin lactobionate
注射液 Cefuzonam
3674
未指定的不兼容性 不相容
注射液 Erythromycin lactobionate
注射液 Chloramphenicol sodium succinate
3674
未指定的不兼容性 不相容
注射液 Erythromycin lactobionate
注射液 Chlorpromazine hydrochloride
3674
兼容
注射液 Erythromycin lactobionate 5 & 50 mg/ml
注射液 Diltiazem hydrochloride 5 mg/ml
NaCl 0,9% 198
未指定的不兼容性 不相容
注射液 Erythromycin lactobionate
注射液 Doripenem
3674
兼容
注射液 Erythromycin lactobionate 10 mg/ml
肠外营养(二种混合物) 939
兼容
注射液 Erythromycin lactobionate 5 mg/ml
注射液 Cimetidine hydrochloride 3 mg/ml
NaCl 0,9% 1201
立即沉澱 不相容
注射液 Erythromycin lactobionate 50 mg/ml
注射液 Cloxacillin sodium 100 mg/ml
注射用水 3012
未指定的不兼容性 不相容
注射液 Erythromycin lactobionate
注射液 Cloxacillin sodium
3674
未指定的不兼容性 不相容
注射液 Erythromycin lactobionate
注射液 Colistin mesilate sodium
3674
兼容
注射液 Erythromycin lactobionate 5 mg/ml
注射液 Dexmedetomidine 4 µg/ml
NaCl 0,9% 1712
兼容
注射液 Erythromycin lactobionate 5 mg/ml
注射液 Doxapram hydrochloride 2 mg/ml
葡萄糖5% 1802
未指定的不兼容性 不相容
注射液 Erythromycin lactobionate
注射液 Doxycycline hyclate
3674
兼容
注射液 Erythromycin lactobionate 5 mg/ml
注射液 Enalaprilate 0.05 mg/ml
NaCl 0,9% 1315
未指定的不兼容性 不相容
注射液 Erythromycin lactobionate
注射液 Ertapenem
3674
兼容
注射液 Erythromycin lactobionate 5 mg/ml
注射液 Esmolol hydrochloride 10 mg/ml
葡萄糖5% 384
兼容
注射液 Erythromycin lactobionate 2 mg/ml
注射液 Famotidine
葡萄糖5% 397
兼容
注射液 Erythromycin lactobionate
葡萄糖5% 3674
兼容
注射液 Erythromycin lactobionate 5 mg/ml
注射液 Fenoldopam mesylate 80 µg/ml
NaCl 0,9% 1803
未指定的不兼容性 不相容
注射液 Erythromycin lactobionate
注射液 Flucloxacillin sodium
3674
立即沉澱 不相容
注射液 Erythromycin lactobionate 5 mg/ml
注射液 Flucloxacillin sodium 20 mg/ml
NaCl 0,9% 1232
立即沉澱 不相容
注射液 Erythromycin lactobionate 20 mg/ml
注射液 Fluconazole 2 mg/ml
NaCl 0,9% 496
兼容
注射液 Erythromycin lactobionate 20 mg/ml
注射液 Foscarnet sodium 24 mg/ml
NaCl 0,9% 1135
兼容
注射液 Erythromycin lactobionate 20 mg/ml
注射液 Foscarnet sodium 24 mg/ml
无 73
立即沉澱 不相容
注射液 Erythromycin lactobionate 5 mg/ml
注射液 Furosemide 1 mg/ml
NaCl 0,9% 1232
未指定的不兼容性 不相容
注射液 Erythromycin lactobionate
注射液 Gentamicin sulfate
3643
未指定的不兼容性 不相容
注射液 Erythromycin lactobionate
注射液 Gentamicin sulfate
3520
未指定的不兼容性 不相容
注射液 Erythromycin lactobionate
注射液 Gentamicin sulfate
3674
未指定的不兼容性 不相容
注射液 Erythromycin lactobionate
注射液 Heparin sodium
3674
兼容
注射液 Erythromycin lactobionate 50 mg/ml
Ringer乳酸溶液 4603
兼容
注射液 Erythromycin lactobionate 3.3 mg/ml
注射液 Heparin sodium 50 UI/ml
无 317
兼容
注射液 Erythromycin lactobionate 50 mg/ml
肠外营养(二种混合物) 999
未指定的不兼容性 不相容
注射液 Erythromycin lactobionate
注射液 Heparin sodium
3540
兼容
注射液 Erythromycin lactobionate 5 mg/ml
注射液 Hetastarch 60 mg/ml
特定溶液 1721
兼容
注射液 Erythromycin lactobionate 5 mg/ml
注射液 Hydromorphone hydrochloride 0.2 mg/ml
葡萄糖5% 405
兼容
注射液 Erythromycin lactobionate 2 mg/ml
注射液 Idarubicin hydrochloride 1 mg/ml
NaCl 0,9% 491
未指定的不兼容性 不相容
注射液 Erythromycin lactobionate
注射液 Imipenem - cilastatin sodium
3674
未指定的不兼容性 不相容
注射液 Erythromycin lactobionate
注射液 Kanamycin sulfate
3674
兼容
注射液 Erythromycin lactobionate 5 mg/ml
注射液 Labetalol hydrochloride 1 mg/ml
葡萄糖5% 386
未指定的不兼容性 不相容
注射液 Erythromycin lactobionate
注射液 Levomepromazine
3674
化學不穩定性 不相容
注射液 Erythromycin lactobionate 5 mg/ml
注射液 Linezolid 2 mg/ml
无 1607
未指定的不兼容性 不相容
注射液 Erythromycin lactobionate
注射液 Linezolid
3560
兼容
注射液 Erythromycin lactobionate 5 mg/ml
注射液 Linezolid 2 mg/ml
无 1925
兼容
注射液 Erythromycin lactobionate 5 mg/ml
注射液 Lorazepam 0.33 mg/ml
NaCl 0,9% 186
兼容
注射液 Erythromycin lactobionate 5 mg/ml
注射液 Magnesium sulfate 16.67 >> 100 mg/ml
葡萄糖5% 1047
兼容
注射液 Erythromycin lactobionate 50 mg/ml
注射液 Meropenem 50 mg/ml
注射用水 4319
未指定的不兼容性 不相容
注射液 Erythromycin lactobionate
注射液 Meropenem
3674
未指定的不兼容性 不相容
注射液 Erythromycin lactobionate
注射液 Mesna
3602
未指定的不兼容性 不相容
注射液 Erythromycin lactobionate
注射液 Metaraminol
5046
未指定的不兼容性 不相容
注射液 Erythromycin lactobionate
注射液 Methohexital sodium
3674
兼容
注射液 Erythromycin lactobionate 5 mg/ml
注射液 Midazolam hydrochloride 5 mg/ml
无 186
未指定的不兼容性 不相容
注射液 Erythromycin lactobionate
注射液 Minocycline hydrochloride
3674
兼容
注射液 Erythromycin lactobionate 5 mg/ml
注射液 Morphine sulfate 1 mg/ml
葡萄糖5% 405
未指定的不兼容性 不相容
注射液 Erythromycin lactobionate
注射液 Moxalactam
3674
未指定的不兼容性 不相容
注射液 Erythromycin lactobionate
注射液 N-acetylcysteine 200 mg/ml
无 3766
未指定的不兼容性 不相容
注射液 Erythromycin lactobionate
注射液 Nafcillin sodium
3674
兼容
注射液 Erythromycin lactobionate 50 mg/ml
注射液 Naloxone hydrochloride 0.4 mg/ml
无 3408
未指定的不兼容性 不相容
注射液 Erythromycin lactobionate
注射液 Netilmicin sulfate
3674
兼容
注射液 Erythromycin lactobionate 5 mg/ml
注射液 Nicardipine hydrochloride 0.1 mg/ml
NaCl 0,9% 1490
兼容
注射液 Erythromycin lactobionate 5 mg/ml
注射液 Nicardipine hydrochloride 0.1 mg/ml
葡萄糖5% 1490
未指定的不兼容性 不相容
注射液 Erythromycin lactobionate
注射液 Oxacillin sodium
3674
未指定的不兼容性 不相容
注射液 Erythromycin lactobionate
注射液 Oxytetracycline hydrochloride
3674
兼容
注射液 Erythromycin lactobionate 50 mg/ml
注射液 Paracetamol 10 mg/ml
4742
未指定的不兼容性 不相容
注射液 Erythromycin lactobionate
注射液 Penicillin G potassium
3674
未指定的不兼容性 不相容
注射液 Erythromycin lactobionate
注射液 Penicillin G sodium
3674
未指定的不兼容性 不相容
注射液 Erythromycin lactobionate
注射液 Pentobarbital sodium
3674
兼容
注射液 Erythromycin lactobionate 5 mg/ml
注射液 Pethidine hydrochloride 10 mg/ml
葡萄糖5% 405
未指定的不兼容性 不相容
注射液 Erythromycin lactobionate
注射液 Phenobarbital sodium
3674
未指定的不兼容性 不相容
注射液 Erythromycin lactobionate
注射液 Phenytoin sodium
3674
未指定的不兼容性 不相容
注射液 Erythromycin lactobionate
注射液 Piperacillin sodium
3674
未指定的不兼容性 不相容
注射液 Erythromycin lactobionate
注射液 Piperacillin sodium / tazobactam
3674
未指定的不兼容性 不相容
注射液 Erythromycin lactobionate
注射液 Plazomicin sulfate
3674
未指定的不兼容性 不相容
注射液 Erythromycin lactobionate
注射液 Prochlorperazine edysilate
3674
未指定的不兼容性 不相容
注射液 Erythromycin lactobionate
注射液 Promethazine hydrochloride
3674
未指定的不兼容性 不相容
注射液 Erythromycin lactobionate
注射液 Pyridoxine hydrochloride
3674
未指定的不兼容性 不相容
注射液 Erythromycin lactobionate
注射液 Rocuronium bromide
3564
兼容
注射液 Erythromycin lactobionate 50 mg/ml
注射液 Salbutamol sulfate 1 mg/ml
无 3216
未指定的不兼容性 不相容
注射液 Erythromycin lactobionate
注射液 Streptomycin sulfate
3674
兼容
注射液 Erythromycin lactobionate 20 mg/ml
注射液 Tacrolimus 1000 µg/ml
NaCl 0,9% 479
未指定的不兼容性 不相容
注射液 Erythromycin lactobionate
注射液 Temocilline
3674
兼容
注射液 Erythromycin lactobionate 5 mg/ml
注射液 Temocilline 83.33 mg/ml
注射用水 2231
兼容
注射液 Erythromycin lactobionate 3.3 mg/ml
注射液 Theophylline 4 mg/ml
无 317
立即沉澱 不相容
注射液 Erythromycin lactobionate 50 mg/ml
注射液 Thiopental sodium 25 mg/ml
NaCl 0,9% 3767
未指定的不兼容性 不相容
注射液 Erythromycin lactobionate
注射液 Thiopental sodium
3674
未指定的不兼容性 不相容
注射液 Erythromycin lactobionate
注射液 Ticarcillin / clavulanic acid
3674
未指定的不兼容性 不相容
注射液 Erythromycin lactobionate
注射液 Tigecycline
3674
未指定的不兼容性 不相容
注射液 Erythromycin lactobionate
注射液 Tobramycin sulfate
3674
未指定的不兼容性 不相容
注射液 Erythromycin lactobionate
注射液 Triflupromazine hydrochloride
3674
兼容
注射液 Erythromycin lactobionate 5 mg/ml
注射液 Vancomycin hydrochloride 10 mg/ml
葡萄糖5% 3385
兼容
注射液 Erythromycin lactobionate 2 mg/ml
注射液 Verapamil hydrochloride 0.08 mg/ml
NaCl 0,9% 1057
兼容
注射液 Erythromycin lactobionate 2 mg/ml
注射液 Verapamil hydrochloride 0.08 mg/ml
葡萄糖5% 1057
兼容
注射液 Erythromycin lactobionate 20 mg/ml
注射液 Zidovudine 4 mg/ml
葡萄糖5% 337

  Mentions Légales