Последнее обновление :
27/04/2026
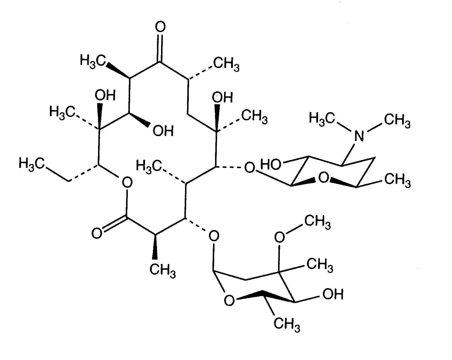
Антибиотик   Erythromycin lactobionate  
Инъекция
Стабильность растворов Стабильность смесей Факторы, которые влияют на стабильность Совместимость Способы введения Библиография pdf
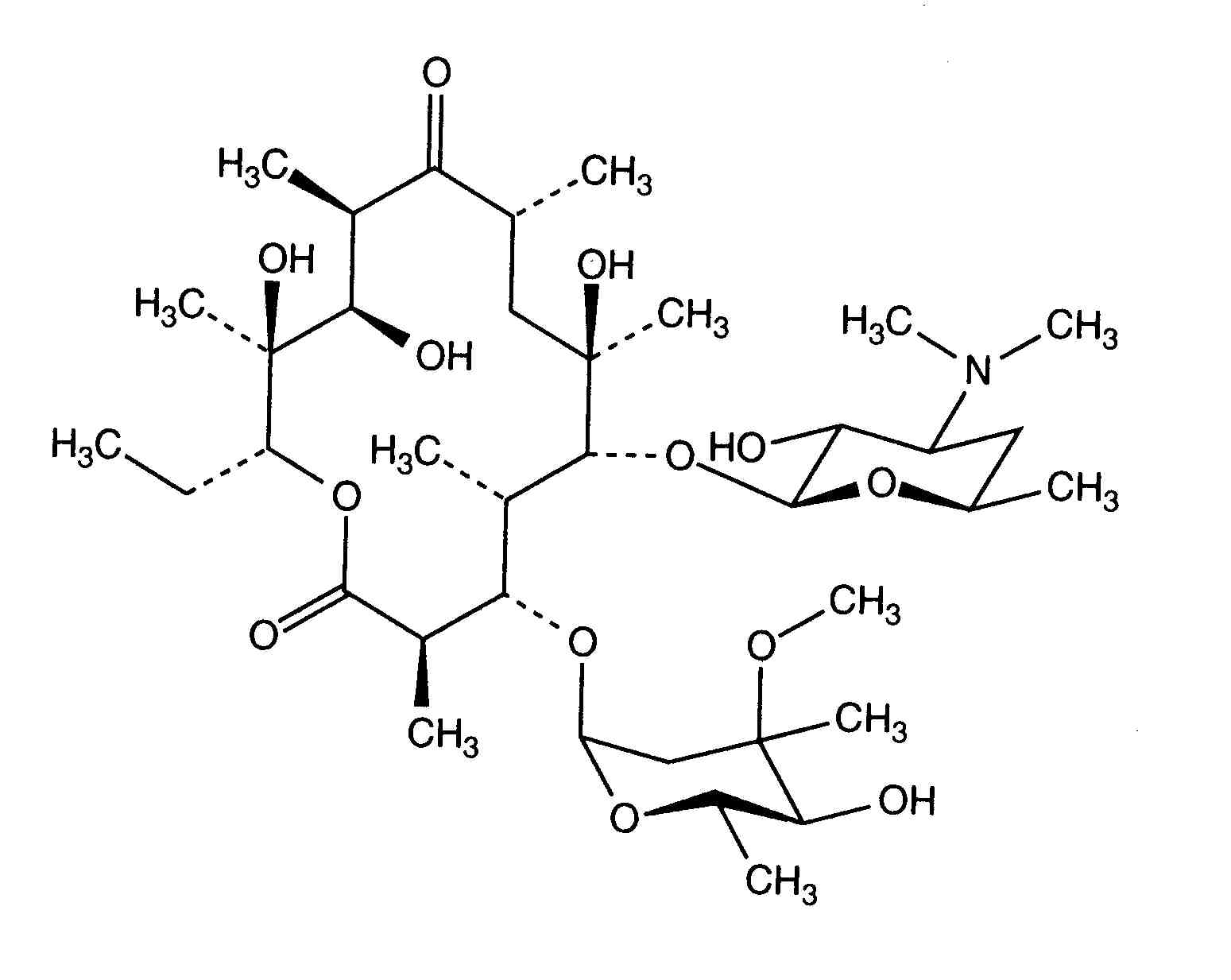
   Химическая структура  

Товарное название   Товарное название     

Trade names are indicative and excipients composition can be different depending on the country and manufacturers

Abboticin Дания, Норвегия, Финляндия, Швеция
Eristin Аргентина
Erithromicina чили
Erycinum Германия
Erythrocin Австралия, Австрия, Великобритания, Германия, Ирландия, Канада, новая Зеландия, Саудовская Аравия, Соединённые Штаты Америки
Erythrocin lactobionat ADD Vantage Австралия, Австрия
Erythrocine Бельгия, Голландия, Люксембург, Тунис, Франция
Erythromycin Великобритания, Венгрия, Германия, Саудовская Аравия, Соединённые Штаты Америки
Erythromycine Люксембург
Erythromycinum Польша
Pantomicina Испания, чили
Совместимость   Инъекция   Совместимость : Erythromycin lactobionate              
Эта таблица показывает совместимость или несовместимость препаратов, по возможности тип несовместимости (преципитат, смена цвета, разложение эмульсии и др.). Показанные здесь совместимости в основном физические, по возможности указана и химическая стабильность каждой молекулы. Анализ этих смесей произведён для исследования возможности ввести препараты пациенту в Y-соединении систем. Эти данные нельзя использовать, чтобы приготовить лекарства на будущее в мешках или шприцах. Эта информация доступна в разделе "Стабильность смесей".
Молекула Растворитель Ссылки
совместимый
Инъекция Erythromycin lactobionate 4 mg/ml
Инъекция Aciclovir sodium 5 mg/ml
Глюкоза 5% 336
Неопределенная несовместимость несовместимый
Инъекция Erythromycin lactobionate
Инъекция Amikacin sulfate
3674
Неопределенная несовместимость несовместимый
Инъекция Erythromycin lactobionate
Инъекция Amikacin sulfate
3549
Неопределенная несовместимость несовместимый
Инъекция Erythromycin lactobionate
Инъекция Aminophylline
3674
совместимый
Инъекция Erythromycin lactobionate 2 mg/ml
Инъекция Amiodarone hydrochloride 4 mg/ml
Натрия хлорид 0,9% 385
совместимый
Инъекция Erythromycin lactobionate 2 mg/ml
Инъекция Amiodarone hydrochloride 4 mg/ml
Глюкоза 5% 385
Неопределенная несовместимость несовместимый
Инъекция Erythromycin lactobionate
Инъекция Amobarbital sodium
3674
Неопределенная несовместимость несовместимый
Инъекция Erythromycin lactobionate
Инъекция Amoxicillin sodium
3674
Немедленные осадки несовместимый
Инъекция Erythromycin lactobionate 50 mg/ml
Инъекция Amoxicillin sodium / clavulanic acid 100/10 mg/ml
3824
Неопределенная несовместимость несовместимый
Инъекция Erythromycin lactobionate
Инъекция Amoxicillin sodium / clavulanic acid
3674
Неопределенная несовместимость несовместимый
Инъекция Erythromycin lactobionate
Инъекция Ampicillin sodium
3674
Неопределенная несовместимость несовместимый
Инъекция Erythromycin lactobionate
Инъекция Ampicillin sodium - sulbactam sodium
3674
совместимый
Инъекция Erythromycin lactobionate 5 mg/ml
Инъекция Anidulafungin 0.5 mg/ml
Глюкоза 5% 1982
Неопределенная несовместимость несовместимый
Инъекция Erythromycin lactobionate
Инъекция Ascorbic acid
5089
Неопределенная несовместимость несовместимый
Инъекция Erythromycin lactobionate
Инъекция Ascorbic acid
3674
Неопределенная несовместимость несовместимый
Инъекция Erythromycin lactobionate
Инъекция Aztreonam
3674
совместимый
Инъекция Erythromycin lactobionate 5 mg/ml
Инъекция Bivalirudin 5 mg/ml
Глюкоза 5% 1713
совместимый
Инъекция Erythromycin lactobionate
Натрия хлорид 0,9% 3674
Немедленные осадки несовместимый
Инъекция Erythromycin lactobionate 50 mg/ml
Инъекция Caffeine 10 mg/ml
Нет 3964
Неопределенная несовместимость несовместимый
Инъекция Erythromycin lactobionate
Инъекция Cefalotin sodium
3674
Неопределенная несовместимость несовместимый
Инъекция Erythromycin lactobionate
Инъекция Cefamandole nafate
3674
Неопределенная несовместимость несовместимый
Инъекция Erythromycin lactobionate
Инъекция Cefazolin sodium
3674
Мутность за один час несовместимый
Инъекция Erythromycin lactobionate 20 mg/ml
Инъекция Cefazolin sodium 220 mg/ml
805
Неопределенная несовместимость несовместимый
Инъекция Erythromycin lactobionate
Инъекция Cefepime dihydrochloride
3674
Химическая нестабильность несовместимый
Инъекция Erythromycin lactobionate 5 mg/ml
Инъекция Cefepime dihydrochloride 125 mg/ml
Вода для инъекций 2141
Неопределенная несовместимость несовместимый
Инъекция Erythromycin lactobionate
Инъекция Cefmenoxime
3674
Неопределенная несовместимость несовместимый
Инъекция Erythromycin lactobionate
Инъекция Cefmetazole sodium
3674
Немедленные осадки несовместимый
Инъекция Erythromycin lactobionate 10 & 50 mg/ml
Инъекция Cefmetazole sodium 100 mg/ml
Вода для инъекций 93
Неопределенная несовместимость несовместимый
Инъекция Erythromycin lactobionate
Инъекция Cefonicid sodium
3674
Неопределенная несовместимость несовместимый
Инъекция Erythromycin lactobionate
Инъекция Cefoperazone sodium
3674
Неопределенная несовместимость несовместимый
Инъекция Erythromycin lactobionate
Инъекция Ceforanide
3674
Неопределенная несовместимость несовместимый
Инъекция Erythromycin lactobionate
Инъекция Cefotaxime sodium
3674
Неопределенная несовместимость несовместимый
Инъекция Erythromycin lactobionate
Инъекция Cefoxitin sodium
3674
Неопределенная несовместимость несовместимый
Инъекция Erythromycin lactobionate
Инъекция Cefpirome sulfate
3674
Неопределенная несовместимость несовместимый
Инъекция Erythromycin lactobionate
Инъекция Ceftaroline fosamil
3674
Немедленные осадки несовместимый
Инъекция Erythromycin lactobionate 5 mg/ml
Инъекция Ceftazidime 125 mg/ml
Вода для инъекций 2141
Неопределенная несовместимость несовместимый
Инъекция Erythromycin lactobionate
Инъекция Ceftazidime
3674
Немедленные осадки несовместимый
Инъекция Erythromycin lactobionate 10 & 50 mg/ml
Инъекция Ceftazidime 83.3 mg/ml
1759
Неопределенная несовместимость несовместимый
Инъекция Erythromycin lactobionate
Инъекция Ceftazidime Avibactam
3674
Неопределенная несовместимость несовместимый
Инъекция Erythromycin lactobionate
Инъекция Ceftizoxime sodium
3674
Неопределенная несовместимость несовместимый
Инъекция Erythromycin lactobionate
Инъекция Ceftobiprole medocaril sodium
3674
Неопределенная несовместимость несовместимый
Инъекция Erythromycin lactobionate
Инъекция Ceftolozane / tazobactam
3674
Неопределенная несовместимость несовместимый
Инъекция Erythromycin lactobionate
Инъекция Ceftriaxone disodium
3674
Неопределенная несовместимость несовместимый
Инъекция Erythromycin lactobionate
Инъекция Cefuroxime sodium
3674
Неопределенная несовместимость несовместимый
Инъекция Erythromycin lactobionate
Инъекция Cefuzonam
3674
Неопределенная несовместимость несовместимый
Инъекция Erythromycin lactobionate
Инъекция Chloramphenicol sodium succinate
3674
Неопределенная несовместимость несовместимый
Инъекция Erythromycin lactobionate
Инъекция Chlorpromazine hydrochloride
3674
совместимый
Инъекция Erythromycin lactobionate 5 & 50 mg/ml
Инъекция Diltiazem hydrochloride 5 mg/ml
Натрия хлорид 0,9% 198
Неопределенная несовместимость несовместимый
Инъекция Erythromycin lactobionate
Инъекция Doripenem
3674
совместимый
Инъекция Erythromycin lactobionate 10 mg/ml
Парентеральное питание (бинарная смесь) 939
совместимый
Инъекция Erythromycin lactobionate 5 mg/ml
Инъекция Cimetidine hydrochloride 3 mg/ml
Натрия хлорид 0,9% 1201
Немедленные осадки несовместимый
Инъекция Erythromycin lactobionate 50 mg/ml
Инъекция Cloxacillin sodium 100 mg/ml
Вода для инъекций 3012
Неопределенная несовместимость несовместимый
Инъекция Erythromycin lactobionate
Инъекция Cloxacillin sodium
3674
Неопределенная несовместимость несовместимый
Инъекция Erythromycin lactobionate
Инъекция Colistin mesilate sodium
3674
совместимый
Инъекция Erythromycin lactobionate 5 mg/ml
Инъекция Dexmedetomidine 4 µg/ml
Натрия хлорид 0,9% 1712
совместимый
Инъекция Erythromycin lactobionate 5 mg/ml
Инъекция Doxapram hydrochloride 2 mg/ml
Глюкоза 5% 1802
Неопределенная несовместимость несовместимый
Инъекция Erythromycin lactobionate
Инъекция Doxycycline hyclate
3674
совместимый
Инъекция Erythromycin lactobionate 5 mg/ml
Инъекция Enalaprilate 0.05 mg/ml
Натрия хлорид 0,9% 1315
Неопределенная несовместимость несовместимый
Инъекция Erythromycin lactobionate
Инъекция Ertapenem
3674
совместимый
Инъекция Erythromycin lactobionate 5 mg/ml
Инъекция Esmolol hydrochloride 10 mg/ml
Глюкоза 5% 384
совместимый
Инъекция Erythromycin lactobionate 2 mg/ml
Инъекция Famotidine
Глюкоза 5% 397
совместимый
Инъекция Erythromycin lactobionate
Глюкоза 5% 3674
совместимый
Инъекция Erythromycin lactobionate 5 mg/ml
Инъекция Fenoldopam mesylate 80 µg/ml
Натрия хлорид 0,9% 1803
Неопределенная несовместимость несовместимый
Инъекция Erythromycin lactobionate
Инъекция Flucloxacillin sodium
3674
Немедленные осадки несовместимый
Инъекция Erythromycin lactobionate 5 mg/ml
Инъекция Flucloxacillin sodium 20 mg/ml
Натрия хлорид 0,9% 1232
Немедленные осадки несовместимый
Инъекция Erythromycin lactobionate 20 mg/ml
Инъекция Fluconazole 2 mg/ml
Натрия хлорид 0,9% 496
совместимый
Инъекция Erythromycin lactobionate 20 mg/ml
Инъекция Foscarnet sodium 24 mg/ml
Натрия хлорид 0,9% 1135
совместимый
Инъекция Erythromycin lactobionate 20 mg/ml
Инъекция Foscarnet sodium 24 mg/ml
Нет 73
Немедленные осадки несовместимый
Инъекция Erythromycin lactobionate 5 mg/ml
Инъекция Furosemide 1 mg/ml
Натрия хлорид 0,9% 1232
Неопределенная несовместимость несовместимый
Инъекция Erythromycin lactobionate
Инъекция Gentamicin sulfate
3643
Неопределенная несовместимость несовместимый
Инъекция Erythromycin lactobionate
Инъекция Gentamicin sulfate
3520
Неопределенная несовместимость несовместимый
Инъекция Erythromycin lactobionate
Инъекция Gentamicin sulfate
3674
Неопределенная несовместимость несовместимый
Инъекция Erythromycin lactobionate
Инъекция Heparin sodium
3674
совместимый
Инъекция Erythromycin lactobionate 50 mg/ml
Раствор Рингера лактата 4603
совместимый
Инъекция Erythromycin lactobionate 3.3 mg/ml
Инъекция Heparin sodium 50 UI/ml
Нет 317
совместимый
Инъекция Erythromycin lactobionate 50 mg/ml
Парентеральное питание (бинарная смесь) 999
Неопределенная несовместимость несовместимый
Инъекция Erythromycin lactobionate
Инъекция Heparin sodium
3540
совместимый
Инъекция Erythromycin lactobionate 5 mg/ml
Инъекция Hetastarch 60 mg/ml
Конкретные растворителя 1721
совместимый
Инъекция Erythromycin lactobionate 5 mg/ml
Инъекция Hydromorphone hydrochloride 0.2 mg/ml
Глюкоза 5% 405
совместимый
Инъекция Erythromycin lactobionate 2 mg/ml
Инъекция Idarubicin hydrochloride 1 mg/ml
Натрия хлорид 0,9% 491
Неопределенная несовместимость несовместимый
Инъекция Erythromycin lactobionate
Инъекция Imipenem - cilastatin sodium
3674
Неопределенная несовместимость несовместимый
Инъекция Erythromycin lactobionate
Инъекция Kanamycin sulfate
3674
совместимый
Инъекция Erythromycin lactobionate 5 mg/ml
Инъекция Labetalol hydrochloride 1 mg/ml
Глюкоза 5% 386
Неопределенная несовместимость несовместимый
Инъекция Erythromycin lactobionate
Инъекция Levomepromazine
3674
Химическая нестабильность несовместимый
Инъекция Erythromycin lactobionate 5 mg/ml
Инъекция Linezolid 2 mg/ml
Нет 1607
Неопределенная несовместимость несовместимый
Инъекция Erythromycin lactobionate
Инъекция Linezolid
3560
совместимый
Инъекция Erythromycin lactobionate 5 mg/ml
Инъекция Linezolid 2 mg/ml
Нет 1925
совместимый
Инъекция Erythromycin lactobionate 5 mg/ml
Инъекция Lorazepam 0.33 mg/ml
Натрия хлорид 0,9% 186
совместимый
Инъекция Erythromycin lactobionate 5 mg/ml
Инъекция Magnesium sulfate 16.67 >> 100 mg/ml
Глюкоза 5% 1047
совместимый
Инъекция Erythromycin lactobionate 50 mg/ml
Инъекция Meropenem 50 mg/ml
Вода для инъекций 4319
Неопределенная несовместимость несовместимый
Инъекция Erythromycin lactobionate
Инъекция Meropenem
3674
Неопределенная несовместимость несовместимый
Инъекция Erythromycin lactobionate
Инъекция Mesna
3602
Неопределенная несовместимость несовместимый
Инъекция Erythromycin lactobionate
Инъекция Metaraminol
5046
Неопределенная несовместимость несовместимый
Инъекция Erythromycin lactobionate
Инъекция Methohexital sodium
3674
совместимый
Инъекция Erythromycin lactobionate 5 mg/ml
Инъекция Midazolam hydrochloride 5 mg/ml
Нет 186
Неопределенная несовместимость несовместимый
Инъекция Erythromycin lactobionate
Инъекция Minocycline hydrochloride
3674
совместимый
Инъекция Erythromycin lactobionate 5 mg/ml
Инъекция Morphine sulfate 1 mg/ml
Глюкоза 5% 405
Неопределенная несовместимость несовместимый
Инъекция Erythromycin lactobionate
Инъекция Moxalactam
3674
Неопределенная несовместимость несовместимый
Инъекция Erythromycin lactobionate
Инъекция N-acetylcysteine 200 mg/ml
Нет 3766
Неопределенная несовместимость несовместимый
Инъекция Erythromycin lactobionate
Инъекция Nafcillin sodium
3674
совместимый
Инъекция Erythromycin lactobionate 50 mg/ml
Инъекция Naloxone hydrochloride 0.4 mg/ml
Нет 3408
Неопределенная несовместимость несовместимый
Инъекция Erythromycin lactobionate
Инъекция Netilmicin sulfate
3674
совместимый
Инъекция Erythromycin lactobionate 5 mg/ml
Инъекция Nicardipine hydrochloride 0.1 mg/ml
Натрия хлорид 0,9% 1490
совместимый
Инъекция Erythromycin lactobionate 5 mg/ml
Инъекция Nicardipine hydrochloride 0.1 mg/ml
Глюкоза 5% 1490
Неопределенная несовместимость несовместимый
Инъекция Erythromycin lactobionate
Инъекция Oxacillin sodium
3674
Неопределенная несовместимость несовместимый
Инъекция Erythromycin lactobionate
Инъекция Oxytetracycline hydrochloride
3674
совместимый
Инъекция Erythromycin lactobionate 50 mg/ml
Инъекция Paracetamol 10 mg/ml
4742
Неопределенная несовместимость несовместимый
Инъекция Erythromycin lactobionate
Инъекция Penicillin G potassium
3674
Неопределенная несовместимость несовместимый
Инъекция Erythromycin lactobionate
Инъекция Penicillin G sodium
3674
Неопределенная несовместимость несовместимый
Инъекция Erythromycin lactobionate
Инъекция Pentobarbital sodium
3674
совместимый
Инъекция Erythromycin lactobionate 5 mg/ml
Инъекция Pethidine hydrochloride 10 mg/ml
Глюкоза 5% 405
Неопределенная несовместимость несовместимый
Инъекция Erythromycin lactobionate
Инъекция Phenobarbital sodium
3674
Неопределенная несовместимость несовместимый
Инъекция Erythromycin lactobionate
Инъекция Phenytoin sodium
3674
Неопределенная несовместимость несовместимый
Инъекция Erythromycin lactobionate
Инъекция Piperacillin sodium
3674
Неопределенная несовместимость несовместимый
Инъекция Erythromycin lactobionate
Инъекция Piperacillin sodium / tazobactam
3674
Неопределенная несовместимость несовместимый
Инъекция Erythromycin lactobionate
Инъекция Plazomicin sulfate
3674
Неопределенная несовместимость несовместимый
Инъекция Erythromycin lactobionate
Инъекция Prochlorperazine edysilate
3674
Неопределенная несовместимость несовместимый
Инъекция Erythromycin lactobionate
Инъекция Promethazine hydrochloride
3674
Неопределенная несовместимость несовместимый
Инъекция Erythromycin lactobionate
Инъекция Pyridoxine hydrochloride
3674
Неопределенная несовместимость несовместимый
Инъекция Erythromycin lactobionate
Инъекция Rocuronium bromide
3564
совместимый
Инъекция Erythromycin lactobionate 50 mg/ml
Инъекция Salbutamol sulfate 1 mg/ml
Нет 3216
Неопределенная несовместимость несовместимый
Инъекция Erythromycin lactobionate
Инъекция Streptomycin sulfate
3674
совместимый
Инъекция Erythromycin lactobionate 20 mg/ml
Инъекция Tacrolimus 1000 µg/ml
Натрия хлорид 0,9% 479
Неопределенная несовместимость несовместимый
Инъекция Erythromycin lactobionate
Инъекция Temocilline
3674
совместимый
Инъекция Erythromycin lactobionate 5 mg/ml
Инъекция Temocilline 83.33 mg/ml
Вода для инъекций 2231
совместимый
Инъекция Erythromycin lactobionate 3.3 mg/ml
Инъекция Theophylline 4 mg/ml
Нет 317
Немедленные осадки несовместимый
Инъекция Erythromycin lactobionate 50 mg/ml
Инъекция Thiopental sodium 25 mg/ml
Натрия хлорид 0,9% 3767
Неопределенная несовместимость несовместимый
Инъекция Erythromycin lactobionate
Инъекция Thiopental sodium
3674
Неопределенная несовместимость несовместимый
Инъекция Erythromycin lactobionate
Инъекция Ticarcillin / clavulanic acid
3674
Неопределенная несовместимость несовместимый
Инъекция Erythromycin lactobionate
Инъекция Tigecycline
3674
Неопределенная несовместимость несовместимый
Инъекция Erythromycin lactobionate
Инъекция Tobramycin sulfate
3674
Неопределенная несовместимость несовместимый
Инъекция Erythromycin lactobionate
Инъекция Triflupromazine hydrochloride
3674
совместимый
Инъекция Erythromycin lactobionate 5 mg/ml
Инъекция Vancomycin hydrochloride 10 mg/ml
Глюкоза 5% 3385
совместимый
Инъекция Erythromycin lactobionate 2 mg/ml
Инъекция Verapamil hydrochloride 0.08 mg/ml
Натрия хлорид 0,9% 1057
совместимый
Инъекция Erythromycin lactobionate 2 mg/ml
Инъекция Verapamil hydrochloride 0.08 mg/ml
Глюкоза 5% 1057
совместимый
Инъекция Erythromycin lactobionate 20 mg/ml
Инъекция Zidovudine 4 mg/ml
Глюкоза 5% 337

  Mentions Légales