Poslední aktualizace :
27/01/2026
Antibiotikum   Erythromycin lactobionate  
injekce
Stabilita roztoků Stabilita směsí Faktory ovlivňující stabilitu Kompatibilita Způsoby aplikace Odkazy pdf
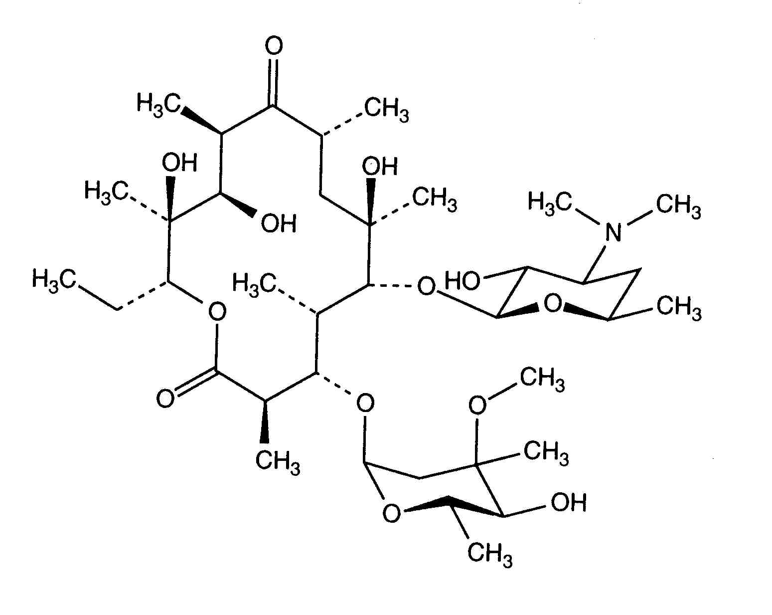
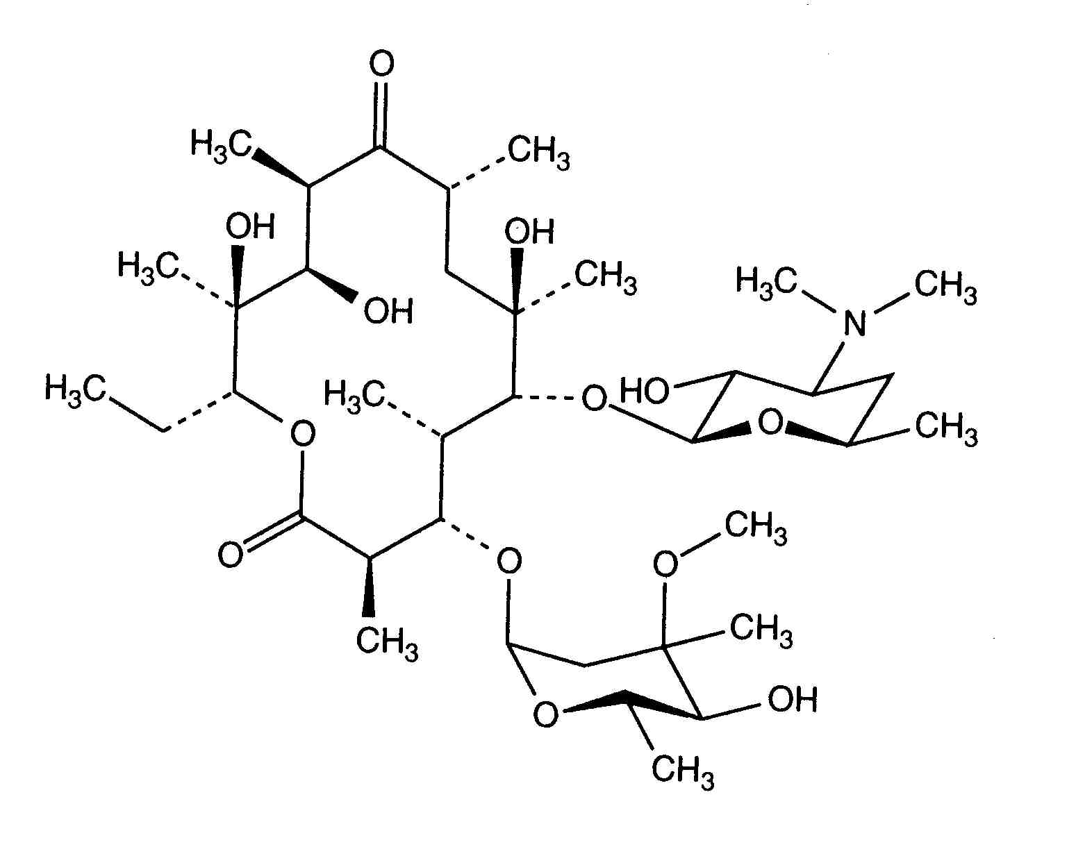
   Chemický vzorec  

Obchodní název   Obchodní název     

Trade names are indicative and excipients composition can be different depending on the country and manufacturers

Abboticin Dánsko, Finsko, Norsko, Švédsko
Eristin Argentina
Erithromicina Chile
Erycinum NÏmecko
Erythrocin Austrálie, Irsko, Kanada, NÏmecko, nový Zéland, Rakousko, Saúdská Arábie, USA, Velká Británie
Erythrocin lactobionat ADD Vantage Austrálie, Rakousko
Erythrocine Belgie, Francie, Lucembursko, Nizozemsko, Tunisko
Erythromycin MaÔarsko, NÏmecko, Saúdská Arábie, USA, Velká Británie
Erythromycine Lucembursko
Erythromycinum Polsko
Pantomicina äpanÏlsko, Chile
Kompatibilita   injekce   Kompatibilita : Erythromycin lactobionate              
Tato obrazovka ukazuje kompatibilitu nebo nekompatibilitu s, v tomto případě, typem nekompatibility (srážení, změna barvy, modifikace emulze atd.). Zde uvedené kompatibility jsou většinou pouze fyzikální, přičemž chemická stabilita každé molekuly je zřídka hodnocena. Hodnocení těchto směsí bylo studováno, aby se zvážila možnost podání Y-místa pacientovi. Tyto údaje nelze použít k přípravě směsí předem v pytlích nebo stříkačkách. Tento typ informací je k dispozici na obrazovce „Stabilita ve směsi“.
SlouËenina RozpouötÏdlo Odkazy
Kompatibilní
injekce Erythromycin lactobionate 4 mg/ml
injekce Aciclovir sodium 5 mg/ml
GlukÛza 5% 336
Nespecifikovaná nekompatibilita Nekompatibilní
injekce Erythromycin lactobionate
injekce Amikacin sulfate
3674
Nespecifikovaná nekompatibilita Nekompatibilní
injekce Erythromycin lactobionate
injekce Amikacin sulfate
3549
Nespecifikovaná nekompatibilita Nekompatibilní
injekce Erythromycin lactobionate
injekce Aminophylline
3674
Kompatibilní
injekce Erythromycin lactobionate 2 mg/ml
injekce Amiodarone hydrochloride 4 mg/ml
Chlorid sodný 0,9% 385
Kompatibilní
injekce Erythromycin lactobionate 2 mg/ml
injekce Amiodarone hydrochloride 4 mg/ml
GlukÛza 5% 385
Nespecifikovaná nekompatibilita Nekompatibilní
injekce Erythromycin lactobionate
injekce Amobarbital sodium
3674
Nespecifikovaná nekompatibilita Nekompatibilní
injekce Erythromycin lactobionate
injekce Amoxicillin sodium
3674
Okamžité srážení Nekompatibilní
injekce Erythromycin lactobionate 50 mg/ml
injekce Amoxicillin sodium / clavulanic acid 100/10 mg/ml
3824
Nespecifikovaná nekompatibilita Nekompatibilní
injekce Erythromycin lactobionate
injekce Amoxicillin sodium / clavulanic acid
3674
Nespecifikovaná nekompatibilita Nekompatibilní
injekce Erythromycin lactobionate
injekce Ampicillin sodium
3674
Nespecifikovaná nekompatibilita Nekompatibilní
injekce Erythromycin lactobionate
injekce Ampicillin sodium - sulbactam sodium
3674
Kompatibilní
injekce Erythromycin lactobionate 5 mg/ml
injekce Anidulafungin 0.5 mg/ml
GlukÛza 5% 1982
Nespecifikovaná nekompatibilita Nekompatibilní
injekce Erythromycin lactobionate
injekce Ascorbic acid
5089
Nespecifikovaná nekompatibilita Nekompatibilní
injekce Erythromycin lactobionate
injekce Ascorbic acid
3674
Nespecifikovaná nekompatibilita Nekompatibilní
injekce Erythromycin lactobionate
injekce Aztreonam
3674
Kompatibilní
injekce Erythromycin lactobionate 5 mg/ml
injekce Bivalirudin 5 mg/ml
GlukÛza 5% 1713
Kompatibilní
injekce Erythromycin lactobionate
Chlorid sodný 0,9% 3674
Okamžité srážení Nekompatibilní
injekce Erythromycin lactobionate 50 mg/ml
injekce Caffeine 10 mg/ml
Žádné 3964
Nespecifikovaná nekompatibilita Nekompatibilní
injekce Erythromycin lactobionate
injekce Cefalotin sodium
3674
Nespecifikovaná nekompatibilita Nekompatibilní
injekce Erythromycin lactobionate
injekce Cefamandole nafate
3674
Nespecifikovaná nekompatibilita Nekompatibilní
injekce Erythromycin lactobionate
injekce Cefazolin sodium
3674
Zákal za hodinu Nekompatibilní
injekce Erythromycin lactobionate 20 mg/ml
injekce Cefazolin sodium 220 mg/ml
805
Nespecifikovaná nekompatibilita Nekompatibilní
injekce Erythromycin lactobionate
injekce Cefepime dihydrochloride
3674
Chemická nestabilita Nekompatibilní
injekce Erythromycin lactobionate 5 mg/ml
injekce Cefepime dihydrochloride 125 mg/ml
Voda pro injekci 2141
Nespecifikovaná nekompatibilita Nekompatibilní
injekce Erythromycin lactobionate
injekce Cefmenoxime
3674
Nespecifikovaná nekompatibilita Nekompatibilní
injekce Erythromycin lactobionate
injekce Cefmetazole sodium
3674
Okamžité srážení Nekompatibilní
injekce Erythromycin lactobionate 10 & 50 mg/ml
injekce Cefmetazole sodium 100 mg/ml
Voda pro injekci 93
Nespecifikovaná nekompatibilita Nekompatibilní
injekce Erythromycin lactobionate
injekce Cefonicid sodium
3674
Nespecifikovaná nekompatibilita Nekompatibilní
injekce Erythromycin lactobionate
injekce Cefoperazone sodium
3674
Nespecifikovaná nekompatibilita Nekompatibilní
injekce Erythromycin lactobionate
injekce Ceforanide
3674
Nespecifikovaná nekompatibilita Nekompatibilní
injekce Erythromycin lactobionate
injekce Cefotaxime sodium
3674
Nespecifikovaná nekompatibilita Nekompatibilní
injekce Erythromycin lactobionate
injekce Cefoxitin sodium
3674
Nespecifikovaná nekompatibilita Nekompatibilní
injekce Erythromycin lactobionate
injekce Cefpirome sulfate
3674
Nespecifikovaná nekompatibilita Nekompatibilní
injekce Erythromycin lactobionate
injekce Ceftaroline fosamil
3674
Okamžité srážení Nekompatibilní
injekce Erythromycin lactobionate 5 mg/ml
injekce Ceftazidime 125 mg/ml
Voda pro injekci 2141
Nespecifikovaná nekompatibilita Nekompatibilní
injekce Erythromycin lactobionate
injekce Ceftazidime
3674
Okamžité srážení Nekompatibilní
injekce Erythromycin lactobionate 10 & 50 mg/ml
injekce Ceftazidime 83.3 mg/ml
1759
Nespecifikovaná nekompatibilita Nekompatibilní
injekce Erythromycin lactobionate
injekce Ceftazidime Avibactam
3674
Nespecifikovaná nekompatibilita Nekompatibilní
injekce Erythromycin lactobionate
injekce Ceftizoxime sodium
3674
Nespecifikovaná nekompatibilita Nekompatibilní
injekce Erythromycin lactobionate
injekce Ceftobiprole medocaril sodium
3674
Nespecifikovaná nekompatibilita Nekompatibilní
injekce Erythromycin lactobionate
injekce Ceftolozane / tazobactam
3674
Nespecifikovaná nekompatibilita Nekompatibilní
injekce Erythromycin lactobionate
injekce Ceftriaxone disodium
3674
Nespecifikovaná nekompatibilita Nekompatibilní
injekce Erythromycin lactobionate
injekce Cefuroxime sodium
3674
Nespecifikovaná nekompatibilita Nekompatibilní
injekce Erythromycin lactobionate
injekce Cefuzonam
3674
Nespecifikovaná nekompatibilita Nekompatibilní
injekce Erythromycin lactobionate
injekce Chloramphenicol sodium succinate
3674
Nespecifikovaná nekompatibilita Nekompatibilní
injekce Erythromycin lactobionate
injekce Chlorpromazine hydrochloride
3674
Kompatibilní
injekce Erythromycin lactobionate 5 & 50 mg/ml
injekce Diltiazem hydrochloride 5 mg/ml
Chlorid sodný 0,9% 198
Nespecifikovaná nekompatibilita Nekompatibilní
injekce Erythromycin lactobionate
injekce Doripenem
3674
Kompatibilní
injekce Erythromycin lactobionate 10 mg/ml
Parenterální výživa (binární směs) 939
Kompatibilní
injekce Erythromycin lactobionate 5 mg/ml
injekce Cimetidine hydrochloride 3 mg/ml
Chlorid sodný 0,9% 1201
Okamžité srážení Nekompatibilní
injekce Erythromycin lactobionate 50 mg/ml
injekce Cloxacillin sodium 100 mg/ml
Voda pro injekci 3012
Nespecifikovaná nekompatibilita Nekompatibilní
injekce Erythromycin lactobionate
injekce Cloxacillin sodium
3674
Nespecifikovaná nekompatibilita Nekompatibilní
injekce Erythromycin lactobionate
injekce Colistin mesilate sodium
3674
Kompatibilní
injekce Erythromycin lactobionate 5 mg/ml
injekce Dexmedetomidine 4 µg/ml
Chlorid sodný 0,9% 1712
Kompatibilní
injekce Erythromycin lactobionate 5 mg/ml
injekce Doxapram hydrochloride 2 mg/ml
GlukÛza 5% 1802
Nespecifikovaná nekompatibilita Nekompatibilní
injekce Erythromycin lactobionate
injekce Doxycycline hyclate
3674
Kompatibilní
injekce Erythromycin lactobionate 5 mg/ml
injekce Enalaprilate 0.05 mg/ml
Chlorid sodný 0,9% 1315
Nespecifikovaná nekompatibilita Nekompatibilní
injekce Erythromycin lactobionate
injekce Ertapenem
3674
Kompatibilní
injekce Erythromycin lactobionate 5 mg/ml
injekce Esmolol hydrochloride 10 mg/ml
GlukÛza 5% 384
Kompatibilní
injekce Erythromycin lactobionate 2 mg/ml
injekce Famotidine
GlukÛza 5% 397
Kompatibilní
injekce Erythromycin lactobionate
GlukÛza 5% 3674
Kompatibilní
injekce Erythromycin lactobionate 5 mg/ml
injekce Fenoldopam mesylate 80 µg/ml
Chlorid sodný 0,9% 1803
Nespecifikovaná nekompatibilita Nekompatibilní
injekce Erythromycin lactobionate
injekce Flucloxacillin sodium
3674
Okamžité srážení Nekompatibilní
injekce Erythromycin lactobionate 5 mg/ml
injekce Flucloxacillin sodium 20 mg/ml
Chlorid sodný 0,9% 1232
Okamžité srážení Nekompatibilní
injekce Erythromycin lactobionate 20 mg/ml
injekce Fluconazole 2 mg/ml
Chlorid sodný 0,9% 496
Kompatibilní
injekce Erythromycin lactobionate 20 mg/ml
injekce Foscarnet sodium 24 mg/ml
Chlorid sodný 0,9% 1135
Kompatibilní
injekce Erythromycin lactobionate 20 mg/ml
injekce Foscarnet sodium 24 mg/ml
Žádné 73
Okamžité srážení Nekompatibilní
injekce Erythromycin lactobionate 5 mg/ml
injekce Furosemide 1 mg/ml
Chlorid sodný 0,9% 1232
Nespecifikovaná nekompatibilita Nekompatibilní
injekce Erythromycin lactobionate
injekce Gentamicin sulfate
3643
Nespecifikovaná nekompatibilita Nekompatibilní
injekce Erythromycin lactobionate
injekce Gentamicin sulfate
3520
Nespecifikovaná nekompatibilita Nekompatibilní
injekce Erythromycin lactobionate
injekce Gentamicin sulfate
3674
Nespecifikovaná nekompatibilita Nekompatibilní
injekce Erythromycin lactobionate
injekce Heparin sodium
3674
Kompatibilní
injekce Erythromycin lactobionate 50 mg/ml
RingerŐs laktátový roztok 4603
Kompatibilní
injekce Erythromycin lactobionate 3.3 mg/ml
injekce Heparin sodium 50 UI/ml
Žádné 317
Kompatibilní
injekce Erythromycin lactobionate 50 mg/ml
Parenterální výživa (binární směs) 999
Nespecifikovaná nekompatibilita Nekompatibilní
injekce Erythromycin lactobionate
injekce Heparin sodium
3540
Kompatibilní
injekce Erythromycin lactobionate 5 mg/ml
injekce Hetastarch 60 mg/ml
Zvláštní rozpouštědla 1721
Kompatibilní
injekce Erythromycin lactobionate 5 mg/ml
injekce Hydromorphone hydrochloride 0.2 mg/ml
GlukÛza 5% 405
Kompatibilní
injekce Erythromycin lactobionate 2 mg/ml
injekce Idarubicin hydrochloride 1 mg/ml
Chlorid sodný 0,9% 491
Nespecifikovaná nekompatibilita Nekompatibilní
injekce Erythromycin lactobionate
injekce Imipenem - cilastatin sodium
3674
Nespecifikovaná nekompatibilita Nekompatibilní
injekce Erythromycin lactobionate
injekce Kanamycin sulfate
3674
Kompatibilní
injekce Erythromycin lactobionate 5 mg/ml
injekce Labetalol hydrochloride 1 mg/ml
GlukÛza 5% 386
Nespecifikovaná nekompatibilita Nekompatibilní
injekce Erythromycin lactobionate
injekce Levomepromazine
3674
Chemická nestabilita Nekompatibilní
injekce Erythromycin lactobionate 5 mg/ml
injekce Linezolid 2 mg/ml
Žádné 1607
Nespecifikovaná nekompatibilita Nekompatibilní
injekce Erythromycin lactobionate
injekce Linezolid
3560
Kompatibilní
injekce Erythromycin lactobionate 5 mg/ml
injekce Linezolid 2 mg/ml
Žádné 1925
Kompatibilní
injekce Erythromycin lactobionate 5 mg/ml
injekce Lorazepam 0.33 mg/ml
Chlorid sodný 0,9% 186
Kompatibilní
injekce Erythromycin lactobionate 5 mg/ml
injekce Magnesium sulfate 16.67 >> 100 mg/ml
GlukÛza 5% 1047
Kompatibilní
injekce Erythromycin lactobionate 50 mg/ml
injekce Meropenem 50 mg/ml
Voda pro injekci 4319
Nespecifikovaná nekompatibilita Nekompatibilní
injekce Erythromycin lactobionate
injekce Meropenem
3674
Nespecifikovaná nekompatibilita Nekompatibilní
injekce Erythromycin lactobionate
injekce Mesna
3602
Nespecifikovaná nekompatibilita Nekompatibilní
injekce Erythromycin lactobionate
injekce Metaraminol
5046
Nespecifikovaná nekompatibilita Nekompatibilní
injekce Erythromycin lactobionate
injekce Methohexital sodium
3674
Kompatibilní
injekce Erythromycin lactobionate 5 mg/ml
injekce Midazolam hydrochloride 5 mg/ml
Žádné 186
Nespecifikovaná nekompatibilita Nekompatibilní
injekce Erythromycin lactobionate
injekce Minocycline hydrochloride
3674
Kompatibilní
injekce Erythromycin lactobionate 5 mg/ml
injekce Morphine sulfate 1 mg/ml
GlukÛza 5% 405
Nespecifikovaná nekompatibilita Nekompatibilní
injekce Erythromycin lactobionate
injekce Moxalactam
3674
Nespecifikovaná nekompatibilita Nekompatibilní
injekce Erythromycin lactobionate
injekce N-acetylcysteine 200 mg/ml
Žádné 3766
Nespecifikovaná nekompatibilita Nekompatibilní
injekce Erythromycin lactobionate
injekce Nafcillin sodium
3674
Kompatibilní
injekce Erythromycin lactobionate 50 mg/ml
injekce Naloxone hydrochloride 0.4 mg/ml
Žádné 3408
Nespecifikovaná nekompatibilita Nekompatibilní
injekce Erythromycin lactobionate
injekce Netilmicin sulfate
3674
Kompatibilní
injekce Erythromycin lactobionate 5 mg/ml
injekce Nicardipine hydrochloride 0.1 mg/ml
Chlorid sodný 0,9% 1490
Kompatibilní
injekce Erythromycin lactobionate 5 mg/ml
injekce Nicardipine hydrochloride 0.1 mg/ml
GlukÛza 5% 1490
Nespecifikovaná nekompatibilita Nekompatibilní
injekce Erythromycin lactobionate
injekce Oxacillin sodium
3674
Nespecifikovaná nekompatibilita Nekompatibilní
injekce Erythromycin lactobionate
injekce Oxytetracycline hydrochloride
3674
Kompatibilní
injekce Erythromycin lactobionate 50 mg/ml
injekce Paracetamol 10 mg/ml
4742
Nespecifikovaná nekompatibilita Nekompatibilní
injekce Erythromycin lactobionate
injekce Penicillin G potassium
3674
Nespecifikovaná nekompatibilita Nekompatibilní
injekce Erythromycin lactobionate
injekce Penicillin G sodium
3674
Nespecifikovaná nekompatibilita Nekompatibilní
injekce Erythromycin lactobionate
injekce Pentobarbital sodium
3674
Kompatibilní
injekce Erythromycin lactobionate 5 mg/ml
injekce Pethidine hydrochloride 10 mg/ml
GlukÛza 5% 405
Nespecifikovaná nekompatibilita Nekompatibilní
injekce Erythromycin lactobionate
injekce Phenobarbital sodium
3674
Nespecifikovaná nekompatibilita Nekompatibilní
injekce Erythromycin lactobionate
injekce Phenytoin sodium
3674
Nespecifikovaná nekompatibilita Nekompatibilní
injekce Erythromycin lactobionate
injekce Piperacillin sodium
3674
Nespecifikovaná nekompatibilita Nekompatibilní
injekce Erythromycin lactobionate
injekce Piperacillin sodium / tazobactam
3674
Nespecifikovaná nekompatibilita Nekompatibilní
injekce Erythromycin lactobionate
injekce Plazomicin sulfate
3674
Nespecifikovaná nekompatibilita Nekompatibilní
injekce Erythromycin lactobionate
injekce Prochlorperazine edysilate
3674
Nespecifikovaná nekompatibilita Nekompatibilní
injekce Erythromycin lactobionate
injekce Promethazine hydrochloride
3674
Nespecifikovaná nekompatibilita Nekompatibilní
injekce Erythromycin lactobionate
injekce Pyridoxine hydrochloride
3674
Nespecifikovaná nekompatibilita Nekompatibilní
injekce Erythromycin lactobionate
injekce Rocuronium bromide
3564
Kompatibilní
injekce Erythromycin lactobionate 50 mg/ml
injekce Salbutamol sulfate 1 mg/ml
Žádné 3216
Nespecifikovaná nekompatibilita Nekompatibilní
injekce Erythromycin lactobionate
injekce Streptomycin sulfate
3674
Kompatibilní
injekce Erythromycin lactobionate 20 mg/ml
injekce Tacrolimus 1000 µg/ml
Chlorid sodný 0,9% 479
Nespecifikovaná nekompatibilita Nekompatibilní
injekce Erythromycin lactobionate
injekce Temocilline
3674
Kompatibilní
injekce Erythromycin lactobionate 5 mg/ml
injekce Temocilline 83.33 mg/ml
Voda pro injekci 2231
Kompatibilní
injekce Erythromycin lactobionate 3.3 mg/ml
injekce Theophylline 4 mg/ml
Žádné 317
Okamžité srážení Nekompatibilní
injekce Erythromycin lactobionate 50 mg/ml
injekce Thiopental sodium 25 mg/ml
Chlorid sodný 0,9% 3767
Nespecifikovaná nekompatibilita Nekompatibilní
injekce Erythromycin lactobionate
injekce Thiopental sodium
3674
Nespecifikovaná nekompatibilita Nekompatibilní
injekce Erythromycin lactobionate
injekce Ticarcillin / clavulanic acid
3674
Nespecifikovaná nekompatibilita Nekompatibilní
injekce Erythromycin lactobionate
injekce Tigecycline
3674
Nespecifikovaná nekompatibilita Nekompatibilní
injekce Erythromycin lactobionate
injekce Tobramycin sulfate
3674
Nespecifikovaná nekompatibilita Nekompatibilní
injekce Erythromycin lactobionate
injekce Triflupromazine hydrochloride
3674
Kompatibilní
injekce Erythromycin lactobionate 5 mg/ml
injekce Vancomycin hydrochloride 10 mg/ml
GlukÛza 5% 3385
Kompatibilní
injekce Erythromycin lactobionate 2 mg/ml
injekce Verapamil hydrochloride 0.08 mg/ml
Chlorid sodný 0,9% 1057
Kompatibilní
injekce Erythromycin lactobionate 2 mg/ml
injekce Verapamil hydrochloride 0.08 mg/ml
GlukÛza 5% 1057
Kompatibilní
injekce Erythromycin lactobionate 20 mg/ml
injekce Zidovudine 4 mg/ml
GlukÛza 5% 337

  Mentions Légales