Utolsó frissítés :
27/04/2026
Antibiotikum   Tobramycin sulfate  
Injekció
aeroszol belsőleges oldat Szemcsepp
Az oldatok stabilitása A keverékek stabilitása Stabilitást befolyásoló tényezők Kompatibilitás Az alkalmazás módja Irodalom pdf
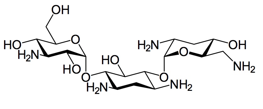
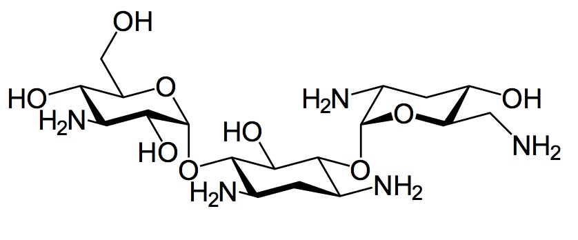
   Kémiai szerkezet   

Kereskedelmi név   Kereskedelmi név     

A kereskedelmi név meghatározó jelentőségű: a készítmények összetétele országonként, előállítóként eltérő lehet

Bactob India
Beltob India
Bramicil Olaszország
Brulamycin Magyarország, Malaysia, Szlovénia
Eltol India
Fytobra India
Gernebcin Németország
Komitob India
Nebcin Egyesült Arab Emírségek, Egyiptom, Görögország, Nagy-Britannia, Szaúd-Arábiában, új-Zéland
Nebcina Dánia, Marokkó, Norvégia, Svédország
Nebcine Franciaország, Marokkó, Szlovénia
Nebicina Olaszország
Obracin Belgium, Hollandia, Luxemburg, Svájc
Tobracin Brazília, Egyiptom, Szaúd-Arábiában
Tobramicina Argentína, Brazília, Chile, Colombia, Ecuador, Olaszország, Portugália, Spanyolország
Tobramina Brazília
Tobramycin Amerikai Egyesült Államok, Ausztrália, Írország, Kanada, Nagy-Britannia, Németország, Norvégia, Szaúd-Arábiában
Tobramycine Franciaország, Hollandia, Írország
Tobrasix Ausztria
Tobrazid Németország
Irodalom   Injekció   Irodalom : Tobramycin sulfate  
Type publikáció
3 Napló Trissel LA, Martinez JF.
Compatibility of amifostine with selected drugs during simulated Y-site administration.
Am J Health-Syst Pharm 1995 ; 52: 2208-2212.
13 Napló Stiles ML, Allen LV.
Stability of nafcillin sodium, oxacillin sodium, penicillin G potassium, penicillin G sodium and tobramycin sulfate in polyvinyl chloride drug reservoirs.
Am J Health-Syst Pharm 1997 ; 54: 1068-1070.
19 Napló Bell RG, Lipford LC, Massanari MJ, Riley CM.
Stability of intravenous admixtures of aztreonam and cefoxitin, gentamicin, metronidazole, or tobramycin.
Am J Hosp Pharm 1986 ; 43: 1444-1453.
59 Napló Trissel LA, Gilbert DL, Martinez JF, Kim MC.
Compatibility of remifentanil hydrochloride with selected drugs during simulated Y-site administration.
Am J Health-Syst Pharm 1997 ; 54: 2192-2196.
63 Napló Marquardt Ed, Lam SSY.
Visual compatibility of fentanyl citrate with selected drugs during simulated Y-site injection.
Am J Hosp Pharm 1994 ; 51: 811-812.
73 Napló Lor E, Takagi J.
Visual compatibility of foscarnet with other injectable drugs.
Am J Hosp Pharm 1990 ; 47: 157-159.
84 Napló Trissel LA, Martinez JF.
Visual, turbidimetric, and particle-content assessment of compatibility of vinorelbine tartrate with selected drugs during simulated Y-site injection.
Am J Hosp Pharm 1994 ; 51: 495-499.
99 Napló Trissel LA, Martinez JF.
Compatibility of aztreonam with selected drugs during simulated Y-site administration.
Am J Health-Syst Pharm 1995 ; 52: 1086-1090.
104 Napló Hall PD, Yui D, Lyons S, Bosso JA.
Compatibility of filgrastim with selected antimicrobial drugs during simulated Y-site administration.
Am J Health-Syst Pharm 1997 ; 54: 185-189.
129 Napló Smythe M, Malouf E.
Visual compatibility of insulin with secondary intravenous drugs in admixtures.
Am J Hosp Pharm 1991 ; 48: 125-126.
169 Napló Trissel LA, Martinez JF.
Physical compatibility of melphalan with selected drugs during simulated Y-site administration.
Am J Hosp Pharm 1993 ; 50: 2359-2363.
176 Napló Mantong ML, Marquardt ED.
Visual compatibility of midazolam hydrochloride with selected drugs during simulated Y-site injection.
Am J Health-Syst Pharm 1995 ; 52: 2567-2568.
182 Napló Trissel LA, Gilbert DL, Martinez JF.
Compatibility of granisetron hydrochloride with selected drugs during simulated Y-site administration.
Am J Health-Syst Pharm 1997 ; 54: 56-60.
198 Napló Gayed AA, Kheshary PR, Hinkle RL.
Visual compatibility of diltiazem injection with various diluents and medications during simulated Y-site injection.
Am J Health-Syst Pharm 1995 ; 52: 516-520.
244 Napló Trissel LA, Martinez JF.
Compatibility of filgrastim with selected drugs during simulated Y-site administration.
Am J Hosp Pharm 1994 ; 51: 1907-1913.
249 Napló Trissel LA, Martinez JF.
Compatibility of thiotepa (lyophilized) with selected drugs during simulated Y-site administration.
Am J Health-Syst Pharm 1996 ; 53: 1041-1045.
251 Napló Trissel LA, Gilbert DL, Martinez JF.
Compatibility of doxorubicin hydrochloride liposome injection with selected other drugs during simulated Y-site administration.
Am J Health-Syst Pharm 1997 ; 54: 2708-2713.
253 Napló Trissel LA, Chandler SW, Folstad JT.
Visual compatibility of amsacrine with selected drugs during simulated Y-site injection.
Am J Hosp Pharm 1990 ; 47: 2525-2528.
285 Napló Elmore RL, Contois ME, Kelly J, Noe A, Poirier A.
Stability and compatibility of admixtures of intravenous ciprofloxacin and selected drugs.
Clin Ther 1996 ; 18: 246-255.
299 Napló Trissel LA, Martinez JF, Gilbert DL.
Compatibility of cisatracurium besylate with selected drugs during simulated Y-site administration.
Am J Health-Syst Pharm 1997 ; 54: 1735-1741.
300 Napló Trissel LA, Gilbert DL, Martinez JF.
Compatibility of propofol injectable emulsion with selected drugs during simulated Y-site administration.
Am J Health-Syst Pharm 1997 ; 54: 1287-1292.
301 Napló Trissel LA, Gilbert DL, Martinez JF, Baker MB, Walter WV, Mirtallo JM.
Compatibility of parenteral nutrient solutions with selected drugs during simulated Y-site administration.
Am J Health-Syst Pharm 1997 ; 54: 1295-1300.
307 Napló Trissel LA, Martinez JF.
Compatibility of allopurinol sodium with selected drugs during simulated Y-site administration.
Am J Hosp Pharm 1994 ; 51: 1792-1799.
316 Napló Veltri M, Lee CKK.
Compatibility of neonatal parenteral nutrient solutions with selected intravenous drugs.
Am J Health-Syst Pharm 1996 ; 53: 2611-2613.
317 Napló Kershaw BP, Monnier HL, Mason JH.
Visual compatibility of premixed theophylline or heparin with selected drugs for IV administration.
Am J Hosp Pharm 1993 ; 50: 1360-1362.
335 Napló Trissel LA, Bready BB, Kwan JW, Santiago NM.
Visual compatibility of sargramostim with selected antineoplasic agents, anti-infectives, or other drugs during simulated Y-site injection.
Am J Hosp Pharm 1992 ; 49: 402-406.
336 Napló Forman JK, Lachs JR, Souney PF.
Visual compatibility of acyclovir sodium with commonly used intravenous drugs during simulated Y-site injection.
Am J Hosp Pharm 1987 ; 44: 1408-1409.
337 Napló Bashaw ED, Amantea MA, Minor JR, Galleli JF.
Visual compatibility of zidovudine with other drugs during simulated Y-site administration.
Am J Hosp Pharm 1988 ; 45: 2532-2533.
367 Napló Thompson DF, Allen LV, Desai SR, Rao PS.
Compatibility of furosemide with aminoglycoside admixtures.
Am J Hosp Pharm 1985 ; 42: 116-119.
384 Napló Colucci RD, Cobuzzi LE, Halpern NA.
Visual compatibility of esmolol hydrochloride and various injectable drugs during simulated Y-site injection.
Am J Hosp Pharm 1988 ; 45: 630-632.
385 Napló Benedict MK, Roche VF, Banakar UV, Hilleman DE.
Visual compatibility of amiodarone hydrochloride with various antimicrobial agents during simulated Y-site injection.
Am J Hosp Pharm 1988 ; 45: 1117-1118.
386 Napló Colucci RD, Cobuzzi LE, Halpern NA.
Visual compatibility of labetalol hydrochloride injection with various injectable drugs during simulated Y-site injection.
Am J Hosp Pharm 1988 ; 45: 1357-1358.
405 Napló Nieves-Cordero AL, Luciw HM, Souney PF.
Compatibility of narcotic analgesic solutions with various antibiotics during simulated Y-site injection.
Am J Hosp Pharm 1985 ; 42: 1108-1109.
406 Napló Smythe MA, Patel MA, Gasloli RA.
Visual compatibility of narcotic analgesics with selected intravenous admixtures.
Am J Hosp Pharm 1990 ; 47: 819-820.
434 Napló Goodwin SD, Nix DE, Heyd A, Wilton JH.
Compatibility of ciprofloxacin injection with selected drugs and solutions.
Am J Hosp Pharm 1991 ; 48: 2166-2171.
472 Napló Wohlford JG, Fowler MD.
Visual compatibility of hetastarch with injectable critical-care drugs.
Am J Hosp Pharm 1989 ; 46: 995-996.
479 Napló Min DI, Brown T, HWang GC.
Visual compatibility of tacrolimus with commonly used drugs during simulated Y-site injection.
Am J Hosp Pharm 1992 ; 49: 2964-2966.
492 Napló Trissel LA, Parks NPT, Santiago NM.
Visual compatibility of fludarabine phosphate with antineoplastic drugs, anti-infectives, and other selected drugs during simulated Y-site injection.
Am J Hosp Pharm 1991 ; 48: 2186-2189.
494 Napló Thompson DF, Heflin NR.
Incompatibility of injectable indomethacin with gentamicin sulfate or tobramycin sulfate.
Am J Hosp Pharm 1992 ; 49: 836,838.
496 Napló Lor E, Sheybani T, Takagi J.
Visual compatibility of fluconazole with commonly used injectable drugs during simulated Y-site administration.
Am J Hosp Pharm 1991 ; 48: 744-746.
500 Napló Tucker DR, Sieradzan R.
Visual compatibility of ciprofloxacin lactate with five broad-spectrum antimicrobial agents during simulated Y-site injection.
Am J Hosp Pharm 1988 ; 45: 1910-1911.
503 Napló Nahata MC, Durrell DE.
Stability of tobramycin sulfate in admixtures with calcium gluconate.
Am J Hosp Pharm 1985 ; 45: 1987-1988.
565 Napló Marble DA, Bosso JA, Townsend RJ.
Compatibility of clindamycin phosphate with amikacin sulfate at room temperature and with gentamicin sulfate and tobramycin sulfate under frozen conditions.
Drug Intell Clin Pharm 1986 ; 20: 960-963.
575 Napló Holmes CJ, Ausman RK, Kundsin RB, Walter CW.
Effect of freezing and microwave thawing on the stability of six antibiotic admixtures in plastic bags.
Am J Hosp Pharm 1982 ; 39: 104-108.
604 Laboratórium Stabilité des médicaments dans l'Intermate® SV50, 100, 200
Baxter 1998
612 Napló Frable RA, Klink PR, Engel GL, Mundell EE.
Stability of cefamandole nafate injection with parenteral solutions and additives.
Am J Hosp Pharm 1982 ; 39: 622-627.
639 Napló Zbrozek AS, Marble DA, Bosso JA, Bair JN, Townsend RJ.
Compatibility and stability of clindamycin phosphate - aminoglycoside combinations within polypropylene syringes.
Drug Intell Clin Pharm 1987 ; 21: 806-810.
660 Napló Michaels MR, Stauffer GL, Haas DP.
Propofol compatibility with other intravenous drug products - Two new methods of evaluating IV emulsion compatibility.
Ann Pharmacotherapy 1996 ; 30: 228-232.
673 Napló Bullock L, Clark JH, Fitzgerald JF, Glick MR, Hancock BG, Baenziger JC, Black CD.
The stability of amikacin, gentamicin, and tobramycin in total nutrient admixtures.
JPEN 1989 ; 13: 505-509.
709 Napló Seitz DJ, Archambault JR, Brinck-Johnsen T.
Stability of tobramycin sulfate in plastic syringes.
Am J Hosp Pharm 1980 ; 37: 1614-1615.
889 Napló Janknegt R, Stratermans T, Cilissen J, Lohman JJHM, Hooymans PM.
Ofloxacin intravenous. Compatibility with other antibacterial agents.
Pharm Weekbl [Sci] 1991 ; 13: 207-209.
905 Napló Trissel LA, Martinez JF.
Screening teniposide for Y-site physical incompatibilities.
Hosp Pharm 1994 ; 29: 1010-1017.
921 Napló Trissel LA, Gilbert DL, Martinez JF.
Incompatibility and compatibility of amphotericin B cholesteryl sulfate complex with selected other drugs during simulated Y-site administration.
Hosp Pharm 1998 ; 33: 284-292.
999 Napló Watson D.
Piggyback compatibility of antibiotics with pediatric parenteral nutrition solution.
JPEN 1985 ; 9: 220-224.
1035 Napló Bisaillon S, Sarrazin R.
Compatibility of several antibiotics or hydrocortisone when added to metronidazole solution for intravenous infusion.
J Parenter Sci Technol 1983 ; 37: 129-132.
1047 Napló Souney PF, Colucci RD, Mariani G, Campbell D.
Compatibility of magnesium sulfate solutions with various antibiotics during simulated Y-site injection.
Am J Hosp Pharm 1984 ; 41: 323-324.
1057 Napló Cutie MR.
Compatibility of verapamil hydrochloride injection with commonly used additives.
Am J Hosp Pharm 1983 ; 40: 1205-1207.
1168 Napló Konishi H, Goto M, Nakamoto Y, Yamamoto I, Yamashina H.
Tobramycin inactivation by carbenicillin, ticarcillin and piperacillin.
Antimicrob Agents Chemother 1983 ; 23: 653-657.
1206 Napló Frear RS.
Cefoperazone-aminoglycoside incompatibility.
Am J Hosp Pharm 1983 ; 40: 564.
1232 Napló Beatson C, Taylor A.
A physical compatibility study of furosemide & flucloxacillin injections.
Br J Pharm Pract 1987 ; 9: 223-226, 236.
1315 Napló Halpern NA, Colucci RD, Alicea M, Greenstein R.
Visual compatibility of enalaprilat with commonly used critical care medications during simulated Y-site injection.
Int J Pharm Clin Pharmacol Ther Tox 1989 ; 27: 294-297.
1410 Napló Trissel LA, Martinez JF, Simmons M.
Compatibility of etoposide phosphate with selected drugs during simulated Y-site injection.
J Am Pharm Assoc 1999 ; 39: 141-145.
1415 Napló Trissel L.A, Gilbert D.L, Martinez J.F, Baker M.B, Walter W.V, Mirtallo J.M.
Compatibility of medications with 3-in-1 parenteral nutrition admixtures.
JPEN 1999 ; 23: 67-74.
1423 Napló Trissel LA, Martinez JF, Gilbert DL.
Compatibility of gemcitabine hyrochloride with 107 selected drugs during simulated Y-site injection.
J Am Pharm Assoc 1999 ; 39: 514-518.
1490 Napló Halpern NA, Colucci RD, Alicea M, Greenstein R.
The compatibility of nicardipine hydrochloride injection with various ICU medications during simulated Y-site injection.
Int J Pharm Clin Pharmacol Ther Tox 1989 ; 27: 250-254.
1611 Napló Chalmers JR, Bobek MB, Militello MA.
Visual compatibility of amiodarone hydrochloride injection with various intravenous drugs.
Am J Health-Syst Pharm 2001 ; 58: 504-506.
1625 Napló Trissel LA, Saenz C, Williams YW, Ingram D.
Incompatibilities of lansoprazole injection with other drugs during simulated Y-site coadministration.
Int J Pharm Compound 2001 ; 5: 314-321.
1704 Napló Xu QA, Trissel LA, Saenz A.
Stability of gentamicin sulfate and tobramycin sulfate in autodose infusion system bags.
Int J Pharm Compound 2002 ; 6: 152-154.
1712 Napló Trissel LA, Saenz CA.
Compatibility screening of Precedex during simulated Y-site administration with other drugs.
Int J Pharm Compound 2002 ; 6: 230-233.
1713 Napló Trissel LA, Saenz CA.
Compatibility screening of bivalirudin during simulated Y-site administration with other drugs.
Int J Pharm Compound 2002 ; 6: 311-315.
1721 Napló Trissel LA, Williams KY, Baker MB.
Compatibility screening of Hextend during simulated Y-site administration with other drugs.
Int J Pharm Compound 2001 ; 5: 69-72.
1745 Napló Thompson DF, Heflin NR.
Incompatibility of injectable indomethacin with gentamicin sulfate or tobramycin sulfate.
Am J Health-Syst Pharm 1992 ; 49: 836-838.
1754 Napló Trissel LA, Gilbert DL, Wolkin AC.
Compatibility of docetaxel with selected drugs during simulated Y-site administration.
Int J Pharm Compound 1999 ; 3: 241-244.
1759 Napló Servais H, Tulkens PM.
Stability and compatibility of ceftazidime administered by continuous infusion to intensive care patients.
Antimicrob Agents Chemother 2001 ; 45: 2643-2647.
1800 Napló Voytilla KL, Tyler LS, Rusho WJ.
Visual compatibility of azithromycin with 24 commonly used drugs during simulated Y-site delivery.
Am J Health-Syst Pharm 2002 ; 59: 853-855.
1803 Napló Trissel, LA, Saenz CA, Ogundele OB, Ingram D, Baker MB.
Compatibility of fenoldopam mesylate with other drugs during simulated Y-site administration.
Am J Health-Syst Pharm 2003 ; 60: 80-85.
1925 Napló Trissel LA , Williams KY, Gilbert DL.
Compatibility screening of linezolid injection during simulated Y-site administration with other drugs and infusion solutions.
J Am Pharm Assoc 2000 ; 40: 515-519.
1953 Napló Trissel LA, Saenz CA, Ogundele AB, Ingram DS.
Physical compatibility of pemetrexed disodium with other drugs during simulated Y-site administration.
Am J Health-Syst Pharm 2004 ; 61: 2289-2293.
1982 Napló Trissel LA, Ogundele AB.
Compatibility of anidulafungin with other drugs during simulated Y-site administration.
Am J Health-Syst Pharm 2005 ; 62: 834-837.
2087 Napló Ferreira E, Forest JM, Hildgen P.
Compatibility of dimenhydrinate injectable by Y administration.
Pharmactuel 2004 ; 37: 17-20.
2090 Napló Pere H, Chasse V, Forest JM, Hildgen P.
Compatibility of injectable pantoprazole in Y-site administration.
Pharmactuel 2004 ; 37: 193-196.
2109 Napló Pelletier E, Forest JM, Hildgen P.
Compatibilité de la kétamine injectable lors de l’administration en dérivé avec d’autres médicaments usuels.
Pharmactuel 2006 ; 39: 71-75.
2141 Napló Barinian N, Chanteux H, Viaene E, Servais H, Tulkens PM.
Stability and compatibility study of cefepime in comparaison with ceftazidime for potential administration by continuous infusion under conditions pertinent to ambulatory treatment of cystic fibrosis patients and to administration in intensive care units.
J Antimicrob Chemother 2003 ; 51: 651-658.
2231 Napló de Jongh R, Hens R, Basma V, mouton JW, Tulkens PM, Carryn S.
Continuous versus intermittent infusion of temocillin, a directed spectrum penicillin for intensive care patients with nosocomial pneumonia: stability, compatibility, population pharmacokinetic studies and breakpoint selection.
J Antimicrob Chemother 2008 ; 61, 2: 382-388.
2247 Napló Chan P, Heatherly K, Kupiec T.C, Trissel L.A.
Compatibility of caspofungin acetate injection with other drugs during simulated Y-site coadministration.
Int J Pharm Compound 2008 ; 12, 3: 276-278.
2262 Napló Brammer MK, Chan P, Heatherly K, Trusley C, Kupiec TC, Trissel LA, Psathas PA, Gilmor T, Schaufelberger D.
Compatibility of doripenem with other drugs during simulated Y-site administratioN
Am J Health-Syst Pharm 2008 ; 65: 1261-1265.
2269 Napló Chan P, Bishop A, Kupiec TC, Trissel LA, Gole D, Jimidar IM, Vermeersch H.
Compatibility of ceftobiprole medocaril with selected drugs during simulated Y-site administration.
Am J Health-Syst Pharm 2008 ; 65, 16: 1545-1551.
2296 Laboratórium Témocilline (Negaban®) - Résumé des caractéristiques du produit
Eumedica 2017
2353 Napló Xu Q.A, Trissel L.A, Zhang Y, Williams K.Y.
Compatibility and stability of linezolid injection admixted with gentamicin sulfate and tobramycin sulfate.
Int J Pharm Compound 2000 ; 4, 6: 476-479.
2369 Napló Mason NA, Johnson CE, O'Brien MA.
Stability of ceftazidime and tobramycin sulfate in peritoneal dialysis solution
Am J Hosp Pharm 1992 ; 49: 1139 - 1142.
3012 Napló Sullivan T, Forrest J.M, Leclair G.
Compatibility of Cloxacillin Sodium with Selected Intravenous Drugs During Simulated Y-Site Administration
Hosp Pharm 2015 ; 50, 3: 214-220.
3122 Napló Dotson B, Lynn S, Savakis K, Churchwell MD.
Physical compatibility of 4% sodium citrate with selected antimicrobial agents.
Am J Health-Syst Pharm 2010 ; 67: 1195-1198.
3152 Napló Kumar A, Mann HJ.
Visual compatibility of oritavancin diphosphate with selected coadministered drugs during simulated Y-site administration.
Am J Health-Syst Pharm 2010 ; 67: 1640-1644.
3201 Napló Dice JE.
Physical compatibility of alprostadil with commonly used IV solutions and medications in the neonatal intensive care unit.
J Pediatr Pharmacol Ther 2006 ; 11:233?6.
3216 Napló Legris ME, Valiquette ME, Lavoie A, Forest JM, Leclair G.
Compatibilité physique par évaluation visuelle du salbutamol injectable lors de son administration en Y.
Pharmactuel 2011 ; 44, 1 : 14-18
3249 Napló Singh BM, Dedhiya MG, Dinunzio J, Chan P, Kupiec TC, Trissel LA, Laudano JB.
Compatibility of ceftaroline fosamil for injection with selected drugs during simulated Y-site administration.
Am J Health-Syst Pharm 2011 ; 68: 2163-2169.
3254 Napló Housman S.T, Tessier P.R, Nicolau D.P, Kuti J.L.
Physical compatibility of telavancin hydrochloride with select i.v. drugs during simulated Y-site administration
Am J Health-Syst Pharm 2011 ; 68: 2265-2270.
3332 Laboratórium Tigecycline (Tigacyl®) - Summary of Product characteristics
Pfizer 2012
3385 Napló Raverdi V, Ampe E, Hecq JD, Tulkens PM.
Stability and compatibility of vancomycin for administration by continuous infusion.
J Antimicrob Chemother 2013 ; 68: 1179-1182.
3408 Napló Tollec S, Touzin K, Pelletier E, Forest J.M.
Evaluation visuelle de la compatibilité physique de la naloxone avec d’autres médicaments intraveineux usuels.
Pharmactuel 2013 ; 46, 1 : 16-21.
3522 Laboratórium Flucloxacillin - Summary of Product Characteristics.
Actavis 2013
3523 Laboratórium Ceftriaxone (Rocephin®) - Summary of Product Characteristics.
Roche 2018
3526 Laboratórium Clindamycin (Dalacin®) - Summary of Product Characteristics
Pharmacia 2010
3527 Laboratórium Amoxicillin (Amoxil®) – Summary of Product Characteristics
Glaxo Smith Kline 2018
3540 Laboratórium Heparin sodium - Summary of Product Characteristics.
Wockhardt 2010
3543 Laboratórium Ceftazidime – Summary of Product Characteristics
Wockhardt 2013
3544 Laboratórium Cefoperazone (Cefobid®) - Summary of Product Characteristics
Pfizer 2006
3545 Laboratórium Amoxicilline / acide clavulanique - Résumé des caractéristiques du produit
Mylan SAS 2009
3546 Laboratórium Cefamandole Flavelab - Résumé des caractéristiques du produit
Panpharma SA 2007
3548 Laboratórium Cefepime (Maxipime®) - Summary of Product caracteristics.
Bristol Myers Squibb 2007
3578 Laboratórium Cisplatin - Summary of Product Characteristics
Accord Healthcare 2011
3586 Laboratórium Piperacilline tazobactam Actavis® - Résumé des caractéristiques du produit
Actavis France 2010
3587 Laboratórium Ticarcilline/acide clavulanique (Timentin®) - Summary of Product Characteristics
GlaxoSmithKline 2014
3594 Laboratórium Metronidazole (Flagyl®) - Summary of Product Characteristics
Zentiva 2013
3644 Laboratórium Calcium gluconate® - Summary of Product Characteristics
Hameln Pharmaceuticals 2010
3656 Laboratórium Teicoplanine (Targocid®) - Résumé des caractéristiques du produit
Sanofi Aventis France 2014
3674 Laboratórium Erythromycin lactobionate - Summary of Product Characteristics
PanPharma 2016
3677 Laboratórium Cefpirome (Cefrom®) - Résumé des caractéristiques du produit
Sanofi Aventis France 2008
3687 Laboratórium Cefuroxime sodium - Summary of Product Characteristics
Stravencon 2013
3728 Napló Correard F, Savry A, Gauthier-Villano L, Pisano P, Pourroy B.
Visual compatibility of defibrotide with selected drugs during simulated Y-site administration.
Am J Health-Syst Pharm 2014 ; 71: 1288-1291.
3767 Napló Legris M.E, Lavoie A, Forrest J.M, Hildgen P.
Compatibilité par évaluation visuelle du thiopental injectable lors de son administration en Y avec des médicaments usuels.
Pharmactuel 2014 ; 47, 3 : 167-172.
3824 Napló Boudi S, Roy H, Forest JM, Leclair G.
Compatibilité physique de l'association amoxicilline-acide clavulanique en injection avec plusieurs autres médicaments lors d'une administration en Y.
Pharmactuel 2023 2023;56,3:91-98
3827 poszter Ghazi I.M, Hamada Y, Nicolau D.P.
Compatibility of tedizolid phosphate with selected intravenous drugs via simulated Y-site conditions.
ASHP Midyear 2015
3828 poszter Thabit A.K, Hamada Y, Nicolau D.P.
Ceftozolane/tazobactam physical compatibility during simulated Y-site administration.
ASHP Midyear 2015
3829 poszter So W, Kim L, Thabit A.K, Nicolau D.P, Kuti J.L.
Compatibility of isavunazonium sulfate during simulated Y-site administration.
ASHP Midyear 2015
3883 Laboratórium Ceftazidime - Résumé des caractéristiques du produit
Arrow 2016
3964 Napló Audet M.A, Forest E, Friciu M, Forest J.M, Leclair G.
Compatibilité du citrate de caféine injectable avec plusieurs autres médicaments.
Pharmactuel 2017 ; 50,1 : 27-33.
4055 Napló Monogue M, Almarzoky Abuhussain S, Kuti J, Nicolau D.
Physical compatibility of fosfomycin for injection with select i.v. drugs during simulated Y-site administration.
Am J Health-Syst Pharm 2018 , 75, 1:36-44
4319 Napló Lessard J-J, Caron E, Schérer H, Forest J-M, Leclair G.
Compatibility of Y-site Injection of Meropenem Trihydrate With 101 Other Injectable Drugs.
Hosp Pharm 2020 ; 55, 5: 332-337.
4389 Napló Côté K, Correal F, Metras M.E, Friciu M, Forest J.M, Leclair G.
Compatibilité physique des médicaments administrés en Y aux soins intensifs, en particulier la dexmédétomidine, le lévosimendan et la kétamine.
Pharmactuel 2019 ;52,4:206-213
4434 Napló Avery L.M, Chen, I.H, Reyes, S, Nicolau, D.P, Kuti J.L.
Assessment of the Physical Compatibility of Eravacycline and Common Parenteral Drugs During Simulated Y-site Administration.
Clin Ther 2019 ; 41, 10: 2162-2170.
4445 Napló Reed M.D, Perry E.B, Fennell S.J, Brissie E.O, Ball W.D.
Antibiotic compatibility and stability in a parenteral nutrition solution.
Chemotherapy 1979 ; 25: 336-345.
4528 Napló Lu J, Liu Q, Kupiec T, Vail H, Lunch L, Fam D, Vu N.
Physical Compatibility of Cefiderocol with Selected Intravenous Drugs During Simulated Y-site Administration.
Int J Pharm Compound 2021 ;25,1:52-61
4603 Napló Vallée M, Barthélémy I, Friciu M, Pelletier E, Forest J.M, Benoit F, Leclair G.
Compatibility of Lactated Ringer’s Injection With 94 Selected Intravenous Drugs During Simulated Y-site Administration.
Hosp Pharm 2021 ; 56, 4: 228-234.
4650 Laboratórium Ceftobiprole (Zevtera 500 mg powder for concentrate for solution for infusion.) Summary of Product Characteristics, Advanz Pharma updated 4 aug 2021.
Advanz Pharma 2021
4742 Napló Macoviciuc M, Nguyen C, Forest J-M, Leclair G.
Compatibilité physique de l’acétaminophène injectable avec 102 autres médicaments lors d’une administration en Y.
Pharmactuel 2022 ; 55, 4: 247-255.
4801 Napló Ruiz V, Yuwei Shen Y, Abouelhassan Y, Fouad A, Nicolau D, Kuti J.
Physical compatibility of sulbactam/durlobactam with select intravenous drugs during simulated Y-site administration.
Am J Health-Syst Pharm 2024 ;51,1:
4964 Laboratórium GLUCONATE DE CALCIUM 10 % B.BRAUN, solution pour perfusion - Résumé des caractéristiques du produit.
B BRAUN MELSUNGEN AG 2019
5086 Laboratórium Tobramycin 40mg/ml Solution for Injection - Summary of Product Characteristics Updated 29-Feb-2024 | Hospira UK Ltd
Hospira UK Limited 2024

  Mentions Légales