Son güncelleme :
27/04/2026
Antibiyotik   Ampicillin sodium - sulbactam sodium  
Enjeksiyon
Çözeltilerin stabilitesi Karışımlardaki stabilitesi Stabiliteyi etkileyen faktörler Uyumluluk Uygulama yöntemi Kaynaklar pdf
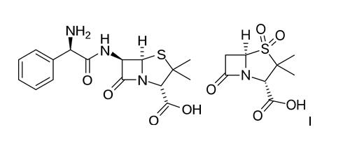
   Kimyasal yapı   

Ticari isim   Ticari isim     

Trade names are indicative and excipients composition can be different depending on the country and manufacturers

Alfasid Türkiye
Ampibac Kolombiya
Ampibactam Venezuela
Ampicillin sulbactam Avustralya
Ampicillina sodica - sulbactam Brezilya, Ekvador
Ampictam Mısır
Ampiplus Romanya, Suudi Arabistan
Ampisid Türkiye
Ampixim Venezuela
Bacimex İspanya
Begalin Yunanistan
Bethacil İtalya
Cinclox Hindistan
Combicid Türkiye
Darzitil Arjantin
Duobaktam Türkiye
Duocid Türkiye
Galotam İspanya
Libractam Şili
Loricin İtalya
Prixin Arjantin
Ranpisul Meksika
Retarpen İspanya
Sabect Mısır
Sulamp Kolombiya
Sulbacter Venezuela
Sulbaksit Türkiye
Sulbin Mısır
Sulcid Türkiye
Sumitan Kolombiya, Venezuela
Synerpen Mısır
Ultracillin Mısır
Unacid Almanya
Unacim Fransa
Unasyn Almanya, Amerika Birleşik Devletleri, Avusturya, Brezilya, Ekvador, Fas, İspanya, İtalya, Japonya, Kolombiya, Macaristan, Malezya, Meksika, Mısır, Peru, Polonya, Şili, Suudi Arabistan
Unictam Mısır
Xilbac Peru
Uyumluluk   Enjeksiyon    Uyumluluk : Ampicillin sodium - sulbactam sodium              
Bu ekran, bu durumda uyumsuzluk tipiyle (çökelme, renk değişimi, bir emülsiyonun modifikasyonu, vb.) Uyumlulukları veya uyumsuzlukları gösterir. Burada gösterilen uyumluluklar çoğunlukla yalnızca fizikseldir ve her molekülün kimyasal stabilitesi nadiren değerlendirilir. Bu karışımların değerlendirilmesi, hastaya Y bölgesi uygulama olasılığını göz önünde bulundurmak için çalışıldı. Bu veriler önceden torba veya şırıngalarda karışım yapmak için kullanılamaz. Bu tür bilgiler "Karışımda stabilite" ekranında mevcuttur.
Bileşik Çözücü Kaynaklar
Uyumlu
Enjeksiyon Ampicillin sodium - sulbactam sodium 20/10 mg/ml
Enjeksiyon Amifostine 10 mg/ml
Glukoz %5 3
Kimyasal kararsızlık uyumsuz
Enjeksiyon Ampicillin sodium - sulbactam sodium
Enjeksiyon Amikacin sulfate
3549
Acil yağış uyumsuz
Enjeksiyon Ampicillin sodium - sulbactam sodium 30 mg/ml
Enjeksiyon Amiodarone hydrochloride 6 mg/ml
Sodyum klorür % 0,9 1611
Acil yağış uyumsuz
Enjeksiyon Ampicillin sodium - sulbactam sodium 30 mg/ml
Enjeksiyon Amiodarone hydrochloride 6 mg/ml
Glukoz %5 1611
Acil yağış uyumsuz
Enjeksiyon Ampicillin sodium - sulbactam sodium 20/10 mg/ml
Enjeksiyon Amphotericin B cholesteryl sulfate complex 0.83 mg/ml
Glukoz %5 921
Uyumlu
Enjeksiyon Ampicillin sodium - sulbactam sodium 20/10 mg/ml
Enjeksiyon Anidulafungin 0.5 mg/ml
Glukoz %5 1982
Uyumlu
Enjeksiyon Ampicillin sodium - sulbactam sodium 20/10 mg/ml
Enjeksiyon Aztreonam 40 mg/ml
Glukoz %5 99
Uyumlu
Enjeksiyon Ampicillin sodium - sulbactam sodium 20/10 mg/ml
Enjeksiyon Bivalirudin 5 mg/ml
Glukoz %5 1713
Uyumlu
Enjeksiyon Ampicillin sodium - sulbactam sodium 20/10 mg/ml
Enjeksiyon Ceftolozane / tazobactam 10/5 mg/ml
Sodyum klorür % 0,9 3828
Uyumlu
Enjeksiyon Ampicillin sodium - sulbactam sodium 20/10 mg/ml
Enjeksiyon Ceftolozane / tazobactam 10/5 mg/ml
Glukoz %5 3828
Acil yağış uyumsuz
Enjeksiyon Ampicillin sodium - sulbactam sodium
Enjeksiyon Ciprofloxacin lactate
Glukoz %5 1500
Acil yağış uyumsuz
Enjeksiyon Ampicillin sodium - sulbactam sodium 30 mg/ml
Enjeksiyon Ciprofloxacin lactate 2 mg/ml
Glukoz %5 285
Acil yağış uyumsuz
Enjeksiyon Ampicillin sodium - sulbactam sodium
Enjeksiyon Ciprofloxacin lactate
Sodyum klorür % 0,9 1500
Belirtilmemiş uyumsuzluk uyumsuz
Enjeksiyon Ampicillin sodium - sulbactam sodium
Enjeksiyon Ciprofloxacin lactate
3529
Anında bulanıklık uyumsuz
Enjeksiyon Ampicillin sodium - sulbactam sodium 20/10 mg/ml
Enjeksiyon Cisatracurium besylate 5 mg/ml
Glukoz %5 299
Uyumlu
Enjeksiyon Ampicillin sodium - sulbactam sodium 20/10 mg/ml
Enjeksiyon Dexmedetomidine 4 µg/ml
Sodyum klorür % 0,9 1712
Uyumlu
Enjeksiyon Ampicillin sodium - sulbactam sodium 20/10 mg/ml
Enjeksiyon Docetaxel 0.9 mg/ml
Glukoz %5 1754
Belirtilmemiş uyumsuzluk uyumsuz
Enjeksiyon Ampicillin sodium - sulbactam sodium
Parenteral beslenme (ikili karışım) 5067
Uyumlu
Enjeksiyon Ampicillin sodium - sulbactam sodium 20/10 mg/ml
Parenteral beslenme (ikili karışım) 301
Belirtilmemiş uyumsuzluk uyumsuz
Enjeksiyon Ampicillin sodium - sulbactam sodium
Parenteral beslenme (Lipidler) 5067
Uyumlu
Enjeksiyon Ampicillin sodium - sulbactam sodium 20/10 mg/ml
Enjeksiyon Cisatracurium besylate 0.1 & 2 mg/ml
Glukoz %5 299
Anında bulanıklık uyumsuz
Enjeksiyon Ampicillin sodium - sulbactam sodium 20/10 mg/ml
Enjeksiyon Cisatracurium besylate 5 mg/ml
Sodyum klorür % 0,9 299
Uyumlu
Enjeksiyon Ampicillin sodium - sulbactam sodium 2 & 15 mg/ml
Enjeksiyon Diltiazem hydrochloride 5 mg/ml
Sodyum klorür % 0,9 198
Uyumlu
Enjeksiyon Ampicillin sodium - sulbactam sodium 45 mg/ml
Enjeksiyon Diltiazem hydrochloride 1 mg/ml
Sodyum klorür % 0,9 198
Uyumlu
Enjeksiyon Ampicillin sodium - sulbactam sodium 20 mg/ml
Parenteral beslenme (Lipidler) 4507
Anında bulanıklık uyumsuz
Enjeksiyon Ampicillin sodium - sulbactam sodium 45 mg/ml
Enjeksiyon Diltiazem hydrochloride 5 mg/ml
Sodyum klorür % 0,9 198
Uyumlu
Enjeksiyon Ampicillin sodium - sulbactam sodium 15 mg/ml
Enjeksiyon Enalaprilate 0.05 mg/ml
Sodyum klorür % 0,9 1315
Uyumlu
Enjeksiyon Ampicillin sodium - sulbactam sodium 20/10 mg/ml
Parenteral beslenme (Lipidler) 1415
Belirtilmemiş uyumsuzluk uyumsuz
Enjeksiyon Ampicillin sodium - sulbactam sodium
Enjeksiyon Erythromycin lactobionate
3674
Uyumlu
Enjeksiyon Ampicillin sodium - sulbactam sodium 30 mg/ml
Enjeksiyon Famotidine
Glukoz %5 397
Uyumlu
Enjeksiyon Ampicillin sodium - sulbactam sodium 60 mg/ml
Enjeksiyon Fluconazole 2 mg/ml
Sodyum klorür % 0,9 496
Uyumlu
Enjeksiyon Ampicillin sodium - sulbactam sodium 15 mg/ml
Parenteral beslenme (Lipidler) 4440
Uyumlu
Enjeksiyon Ampicillin sodium - sulbactam sodium 20/10 mg/ml
Enjeksiyon Etoposide phosphate 5 mg/ml
Glukoz %5 1410
Uyumlu
Enjeksiyon Ampicillin sodium - sulbactam sodium 20/10 mg/ml
Enjeksiyon Fenoldopam mesylate 80 µg/ml
Sodyum klorür % 0,9 1803
Uyumlu
Enjeksiyon Ampicillin sodium - sulbactam sodium 20/10 mg/ml
Enjeksiyon Filgrastim 30 µg/ml
Glukoz %5 244
Uyumlu
Enjeksiyon Ampicillin sodium - sulbactam sodium 20/10 mg/ml
Enjeksiyon Fludarabine phosphate 1 mg/ml
Glukoz %5 492
Uyumlu
Enjeksiyon Ampicillin sodium - sulbactam sodium 20/10 mg/ml
Enjeksiyon Fosfomycin 30 mg/ml
Glukoz %5 4055
Uyumlu
Enjeksiyon Ampicillin sodium - sulbactam sodium 20/10 mg/ml
Enjeksiyon Fosfomycin 30 mg/ml
Sodyum klorür % 0,9 4055
Uyumlu
Enjeksiyon Ampicillin sodium - sulbactam sodium 45/22.4 mg/ml
Enjeksiyon Gallium nitrate 1 mg/ml
Sodyum klorür % 0,9 91
Uyumlu
Enjeksiyon Ampicillin sodium - sulbactam sodium 20/10 mg/ml
Enjeksiyon Gemcitabine hydrochloride 10 mg/ml
Sodyum klorür % 0,9 1423
Belirtilmemiş uyumsuzluk uyumsuz
Enjeksiyon Ampicillin sodium - sulbactam sodium
Enjeksiyon Gentamicin sulfate
3520
Belirtilmemiş uyumsuzluk uyumsuz
Enjeksiyon Ampicillin sodium - sulbactam sodium
Enjeksiyon Gentamicin sulfate
3643
Uyumlu
Enjeksiyon Ampicillin sodium - sulbactam sodium 20/10 mg/ml
Enjeksiyon Granisetron hydrochloride 0.05 mg/ml
Sodyum klorür % 0,9 182
Uyumlu
Enjeksiyon Ampicillin sodium - sulbactam sodium 30 mg/ml
Enjeksiyon Heparin sodium 50 UI/ml
Yok 317
Uyumlu
Enjeksiyon Ampicillin sodium - sulbactam sodium 20/10 mg/ml
Enjeksiyon Hetastarch 60 mg/ml
çözücü Özgül 1721
Anında bulanıklık uyumsuz
Enjeksiyon Ampicillin sodium - sulbactam sodium 30 mg/ml
Enjeksiyon Idarubicin hydrochloride 1 mg/ml
Sodyum klorür % 0,9 491
Uyumlu
Enjeksiyon Ampicillin sodium - sulbactam sodium 30 mg/ml
Enjeksiyon Insulin 0.2 UI/ml
Sodyum klorür % 0,9 129
Anında bulanıklık uyumsuz
Enjeksiyon Ampicillin sodium - sulbactam sodium 20/10 mg/ml
Enjeksiyon Isavuconazonium sulfate 1.5 mg/ml
Sodyum klorür % 0,9 3829
Uyumlu
Enjeksiyon Ampicillin sodium - sulbactam sodium
Sodyum klorür % 0,9 5067
Anında bulanıklık uyumsuz
Enjeksiyon Ampicillin sodium - sulbactam sodium 20/10 mg/ml
Enjeksiyon Isavuconazonium sulfate 1.5 mg/ml
Glukoz %5 3829
Uyumlu
Enjeksiyon Ampicillin sodium - sulbactam sodium 20/10 mg/ml
Enjeksiyon Ketoprofene 3.2 mg/ml
Sodyum klorür % 0,9 1847
Acil yağış uyumsuz
Enjeksiyon Ampicillin sodium - sulbactam sodium 20/10 mg/ml
Enjeksiyon Lansoprazole 0.55 mg/ml
Sodyum klorür % 0,9 1625
Uyumlu
Enjeksiyon Ampicillin sodium - sulbactam sodium 20/10 mg/ml
Enjeksiyon Linezolid 2 mg/ml
Yok 1925
Uyumlu
Enjeksiyon Ampicillin sodium - sulbactam sodium 30 mg/ml
Enjeksiyon Morphine sulfate 1 mg/ml
Sodyum klorür % 0,9 406
Anında bulanıklık uyumsuz
Enjeksiyon Ampicillin sodium - sulbactam sodium 15 mg/ml
Enjeksiyon Nicardipine hydrochloride 0.1 mg/ml
Sodyum klorür % 0,9 1490
Anında bulanıklık uyumsuz
Enjeksiyon Ampicillin sodium - sulbactam sodium 15 mg/ml
Enjeksiyon Nicardipine hydrochloride 0.1 mg/ml
Glukoz %5 1490
Acil yağış uyumsuz
Enjeksiyon Ampicillin sodium - sulbactam sodium 20/10 mg/ml
Enjeksiyon Ondansetron hydrochloride 1 mg/ml
Sodyum klorür % 0,9 334
Uyumlu
Enjeksiyon Ampicillin sodium - sulbactam sodium 20/10 mg/ml
Enjeksiyon Paclitaxel 1.2 mg/ml
Glukoz %5 248
Uyumlu
Enjeksiyon Ampicillin sodium - sulbactam sodium 20/10 mg/ml
Enjeksiyon Palonosetron hydrochloride 50 µg/ml
Sodyum klorür % 0,9 2214
Uyumlu
Enjeksiyon Ampicillin sodium - sulbactam sodium 20/10 mg/ml
Enjeksiyon Pemetrexed disodium 20 mg/ml
Sodyum klorür % 0,9 1953
Uyumlu
Enjeksiyon Ampicillin sodium - sulbactam sodium 30 mg/ml
Enjeksiyon Pethidine hydrochloride 10 mg/ml
Sodyum klorür % 0,9 406
Uyumlu
Enjeksiyon Ampicillin sodium - sulbactam sodium 20/10 mg/ml
Enjeksiyon Plazomicin sulfate 24 mg/ml
Sodyum klorür % 0,9 4145
Uyumlu
Enjeksiyon Ampicillin sodium - sulbactam sodium 20/10 mg/ml
Enjeksiyon Remifentanil hydrochloride 25 & 250 µg/ml
Sodyum klorür % 0,9 59
4 saat sonra yağış uyumsuz
Enjeksiyon Ampicillin sodium - sulbactam sodium 20/10 mg/ml
Enjeksiyon Sargramostim 10 µg/ml
Sodyum klorür % 0,9 335
Uyumlu
Enjeksiyon Ampicillin sodium - sulbactam sodium 200 mg/ml
Enjeksiyon Sugammadex 100 mg/ml
Yok 3372
Uyumlu
Enjeksiyon Ampicillin sodium - sulbactam sodium 50 mg/ml
Enjeksiyon Tacrolimus 1000 µg/ml
Sodyum klorür % 0,9 479
Uyumlu
Enjeksiyon Ampicillin sodium - sulbactam sodium 20/10 mg/ml
Enjeksiyon Tedizolid phosphate 0.8 mg/ml
Sodyum klorür % 0,9 3827
Uyumlu
Enjeksiyon Ampicillin sodium - sulbactam sodium 20/10 mg/ml
Enjeksiyon Telavancin hydrochloride 7.5 mg/ml
Glukoz %5 3254
Uyumlu
Enjeksiyon Ampicillin sodium - sulbactam sodium 20/10 mg/ml
Enjeksiyon Telavancin hydrochloride 7.5 mg/ml
Sodyum klorür % 0,9 3254
Uyumlu
Enjeksiyon Ampicillin sodium - sulbactam sodium 20/10 mg/ml
Enjeksiyon Telavancin hydrochloride 7.5 mg/ml
Laktatlı ringer 3254
Uyumlu
Enjeksiyon Ampicillin sodium - sulbactam sodium 20/10 mg/ml
Enjeksiyon Teniposide 0.1 mg/ml
Glukoz %5 905
Uyumlu
Enjeksiyon Ampicillin sodium - sulbactam sodium 30 mg/ml
Enjeksiyon Theophylline 4 mg/ml
Yok 317
Uyumlu
Enjeksiyon Ampicillin sodium - sulbactam sodium 20/10 mg/ml
Enjeksiyon Thiotepa 1 mg/ml
Glukoz %5 249
Uyumlu
Enjeksiyon Ampicillin sodium - sulbactam sodium 10/20 mg/ml
Enjeksiyon Tramadol hydrochloride 0,4 mg/ml
Sodyum klorür % 0,9 2002
Uyumlu
Enjeksiyon Ampicillin sodium - sulbactam sodium 1/0.5 >> 250/125 mg/ml
Enjeksiyon Vancomycin hydrochloride 2 mg/ml
Glukoz %5 1674
Uyumlu
Enjeksiyon Ampicillin sodium - sulbactam sodium 1/0.5 >> 50/25 mg/ml
Enjeksiyon Vancomycin hydrochloride 20 mg/ml
Glukoz %5 1674
Acil yağış uyumsuz
Enjeksiyon Ampicillin sodium - sulbactam sodium 250-125 mg/ml
Enjeksiyon Vancomycin hydrochloride 20 mg/ml
Glukoz %5 1674

  Mentions Légales