Ostatnia aktualizacja :
27/04/2026
Antybiotyk   Ampicillin sodium - sulbactam sodium  
Injekcje
Trwałość roztworów Trwałość w mieszaninie Czynnik wpływający na trwałość Zgodność Sposób podania Bibliografia pdf
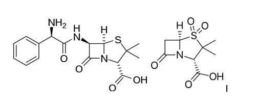
   Struktura chemiczna  

Nazwa handlowa   Nazwa handlowa     

Trade names are indicative and excipients composition can be different depending on the country and manufacturers

Alfasid Turcja
Ampibac KolumbiaKolumbia
Ampibactam Wenezuela
Ampicillin sulbactam Australia
Ampicillina sodica - sulbactam Brazylia, Ekwador
Ampictam Egipt
Ampiplus Arabia Saudyjska, Rumunia
Ampisid Turcja
Ampixim Wenezuela
Bacimex Hiszpania
Begalin Grecja
Bethacil Włochy
Cinclox Indie
Combicid Turcja
Darzitil Argentyna
Duobaktam Turcja
Duocid Turcja
Galotam Hiszpania
Libractam Chile
Loricin Włochy
Prixin Argentyna
Ranpisul Meksyk
Retarpen Hiszpania
Sabect Egipt
Sulamp KolumbiaKolumbia
Sulbacter Wenezuela
Sulbaksit Turcja
Sulbin Egipt
Sulcid Turcja
Sumitan KolumbiaKolumbia, Wenezuela
Synerpen Egipt
Ultracillin Egipt
Unacid Niemcy
Unacim Francja
Unasyn Arabia Saudyjska, Austria, Brazylia, Chile, Egipt, Ekwador, Hiszpania, Japonia, KolumbiaKolumbia, Malezja, Maroko, Meksyk, Niemcy, Peru, Polska, Stany Zjednoczone Ameryki, Węgry, Włochy
Unictam Egipt
Xilbac Peru
Zgodność   Injekcje   Zgodność : Ampicillin sodium - sulbactam sodium              
Ekran ten wskazuje na kompatybilności lub niezgodności z, w tym przypadku, rodzajem niezgodności (strącanie, zmiana koloru, modyfikacja emulsji, itp.). Przedstawione tutaj kompatybilności są głównie fizyczne, a stabilność chemiczna każdej cząsteczki jest rzadko oceniana. Ocenę tych mieszanin badano w celu rozważenia możliwości podania pacjentowi w miejscu Y. Dane te nie mogą być wykorzystywane do sporządzania mieszanin z wyprzedzeniem w workach lub strzykawkach. Tego typu informacje są dostępne na ekranie „Stabilność w mieszaninie”.
Związek Rozpuszczalnik Bibliografia
Zgodny
Injekcje Ampicillin sodium - sulbactam sodium 20/10 mg/ml
Injekcje Amifostine 10 mg/ml
Glukoza 5% 3
Niestabilność chemiczna Niekompatybilny
Injekcje Ampicillin sodium - sulbactam sodium
Injekcje Amikacin sulfate
3549
Natychmiastowe opady Niekompatybilny
Injekcje Ampicillin sodium - sulbactam sodium 30 mg/ml
Injekcje Amiodarone hydrochloride 6 mg/ml
Chlorek sodu 0,9% 1611
Natychmiastowe opady Niekompatybilny
Injekcje Ampicillin sodium - sulbactam sodium 30 mg/ml
Injekcje Amiodarone hydrochloride 6 mg/ml
Glukoza 5% 1611
Natychmiastowe opady Niekompatybilny
Injekcje Ampicillin sodium - sulbactam sodium 20/10 mg/ml
Injekcje Amphotericin B cholesteryl sulfate complex 0.83 mg/ml
Glukoza 5% 921
Zgodny
Injekcje Ampicillin sodium - sulbactam sodium 20/10 mg/ml
Injekcje Anidulafungin 0.5 mg/ml
Glukoza 5% 1982
Zgodny
Injekcje Ampicillin sodium - sulbactam sodium 20/10 mg/ml
Injekcje Aztreonam 40 mg/ml
Glukoza 5% 99
Zgodny
Injekcje Ampicillin sodium - sulbactam sodium 20/10 mg/ml
Injekcje Bivalirudin 5 mg/ml
Glukoza 5% 1713
Zgodny
Injekcje Ampicillin sodium - sulbactam sodium 20/10 mg/ml
Injekcje Ceftolozane / tazobactam 10/5 mg/ml
Chlorek sodu 0,9% 3828
Zgodny
Injekcje Ampicillin sodium - sulbactam sodium 20/10 mg/ml
Injekcje Ceftolozane / tazobactam 10/5 mg/ml
Glukoza 5% 3828
Natychmiastowe opady Niekompatybilny
Injekcje Ampicillin sodium - sulbactam sodium
Injekcje Ciprofloxacin lactate
Glukoza 5% 1500
Natychmiastowe opady Niekompatybilny
Injekcje Ampicillin sodium - sulbactam sodium 30 mg/ml
Injekcje Ciprofloxacin lactate 2 mg/ml
Glukoza 5% 285
Natychmiastowe opady Niekompatybilny
Injekcje Ampicillin sodium - sulbactam sodium
Injekcje Ciprofloxacin lactate
Chlorek sodu 0,9% 1500
Nieokreślona niezgodność Niekompatybilny
Injekcje Ampicillin sodium - sulbactam sodium
Injekcje Ciprofloxacin lactate
3529
Natychmiastowe zmętnienie Niekompatybilny
Injekcje Ampicillin sodium - sulbactam sodium 20/10 mg/ml
Injekcje Cisatracurium besylate 5 mg/ml
Glukoza 5% 299
Zgodny
Injekcje Ampicillin sodium - sulbactam sodium 20/10 mg/ml
Injekcje Dexmedetomidine 4 µg/ml
Chlorek sodu 0,9% 1712
Zgodny
Injekcje Ampicillin sodium - sulbactam sodium 20/10 mg/ml
Injekcje Docetaxel 0.9 mg/ml
Glukoza 5% 1754
Nieokreślona niezgodność Niekompatybilny
Injekcje Ampicillin sodium - sulbactam sodium
Odżywianie pozajelitowe (mieszanina binarny) 5067
Zgodny
Injekcje Ampicillin sodium - sulbactam sodium 20/10 mg/ml
Odżywianie pozajelitowe (mieszanina binarny) 301
Nieokreślona niezgodność Niekompatybilny
Injekcje Ampicillin sodium - sulbactam sodium
Żywienie pozajelitowe (lipidami) 5067
Zgodny
Injekcje Ampicillin sodium - sulbactam sodium 20/10 mg/ml
Injekcje Cisatracurium besylate 0.1 & 2 mg/ml
Glukoza 5% 299
Natychmiastowe zmętnienie Niekompatybilny
Injekcje Ampicillin sodium - sulbactam sodium 20/10 mg/ml
Injekcje Cisatracurium besylate 5 mg/ml
Chlorek sodu 0,9% 299
Zgodny
Injekcje Ampicillin sodium - sulbactam sodium 2 & 15 mg/ml
Injekcje Diltiazem hydrochloride 5 mg/ml
Chlorek sodu 0,9% 198
Zgodny
Injekcje Ampicillin sodium - sulbactam sodium 45 mg/ml
Injekcje Diltiazem hydrochloride 1 mg/ml
Chlorek sodu 0,9% 198
Zgodny
Injekcje Ampicillin sodium - sulbactam sodium 20 mg/ml
Żywienie pozajelitowe (lipidami) 4507
Natychmiastowe zmętnienie Niekompatybilny
Injekcje Ampicillin sodium - sulbactam sodium 45 mg/ml
Injekcje Diltiazem hydrochloride 5 mg/ml
Chlorek sodu 0,9% 198
Zgodny
Injekcje Ampicillin sodium - sulbactam sodium 15 mg/ml
Injekcje Enalaprilate 0.05 mg/ml
Chlorek sodu 0,9% 1315
Zgodny
Injekcje Ampicillin sodium - sulbactam sodium 20/10 mg/ml
Żywienie pozajelitowe (lipidami) 1415
Nieokreślona niezgodność Niekompatybilny
Injekcje Ampicillin sodium - sulbactam sodium
Injekcje Erythromycin lactobionate
3674
Zgodny
Injekcje Ampicillin sodium - sulbactam sodium 30 mg/ml
Injekcje Famotidine
Glukoza 5% 397
Zgodny
Injekcje Ampicillin sodium - sulbactam sodium 60 mg/ml
Injekcje Fluconazole 2 mg/ml
Chlorek sodu 0,9% 496
Zgodny
Injekcje Ampicillin sodium - sulbactam sodium 15 mg/ml
Żywienie pozajelitowe (lipidami) 4440
Zgodny
Injekcje Ampicillin sodium - sulbactam sodium 20/10 mg/ml
Injekcje Etoposide phosphate 5 mg/ml
Glukoza 5% 1410
Zgodny
Injekcje Ampicillin sodium - sulbactam sodium 20/10 mg/ml
Injekcje Fenoldopam mesylate 80 µg/ml
Chlorek sodu 0,9% 1803
Zgodny
Injekcje Ampicillin sodium - sulbactam sodium 20/10 mg/ml
Injekcje Filgrastim 30 µg/ml
Glukoza 5% 244
Zgodny
Injekcje Ampicillin sodium - sulbactam sodium 20/10 mg/ml
Injekcje Fludarabine phosphate 1 mg/ml
Glukoza 5% 492
Zgodny
Injekcje Ampicillin sodium - sulbactam sodium 20/10 mg/ml
Injekcje Fosfomycin 30 mg/ml
Glukoza 5% 4055
Zgodny
Injekcje Ampicillin sodium - sulbactam sodium 20/10 mg/ml
Injekcje Fosfomycin 30 mg/ml
Chlorek sodu 0,9% 4055
Zgodny
Injekcje Ampicillin sodium - sulbactam sodium 45/22.4 mg/ml
Injekcje Gallium nitrate 1 mg/ml
Chlorek sodu 0,9% 91
Zgodny
Injekcje Ampicillin sodium - sulbactam sodium 20/10 mg/ml
Injekcje Gemcitabine hydrochloride 10 mg/ml
Chlorek sodu 0,9% 1423
Nieokreślona niezgodność Niekompatybilny
Injekcje Ampicillin sodium - sulbactam sodium
Injekcje Gentamicin sulfate
3520
Nieokreślona niezgodność Niekompatybilny
Injekcje Ampicillin sodium - sulbactam sodium
Injekcje Gentamicin sulfate
3643
Zgodny
Injekcje Ampicillin sodium - sulbactam sodium 20/10 mg/ml
Injekcje Granisetron hydrochloride 0.05 mg/ml
Chlorek sodu 0,9% 182
Zgodny
Injekcje Ampicillin sodium - sulbactam sodium 30 mg/ml
Injekcje Heparin sodium 50 UI/ml
Żaden 317
Zgodny
Injekcje Ampicillin sodium - sulbactam sodium 20/10 mg/ml
Injekcje Hetastarch 60 mg/ml
danego rozpuszczalnika 1721
Natychmiastowe zmętnienie Niekompatybilny
Injekcje Ampicillin sodium - sulbactam sodium 30 mg/ml
Injekcje Idarubicin hydrochloride 1 mg/ml
Chlorek sodu 0,9% 491
Zgodny
Injekcje Ampicillin sodium - sulbactam sodium 30 mg/ml
Injekcje Insulin 0.2 UI/ml
Chlorek sodu 0,9% 129
Natychmiastowe zmętnienie Niekompatybilny
Injekcje Ampicillin sodium - sulbactam sodium 20/10 mg/ml
Injekcje Isavuconazonium sulfate 1.5 mg/ml
Chlorek sodu 0,9% 3829
Zgodny
Injekcje Ampicillin sodium - sulbactam sodium
Chlorek sodu 0,9% 5067
Natychmiastowe zmętnienie Niekompatybilny
Injekcje Ampicillin sodium - sulbactam sodium 20/10 mg/ml
Injekcje Isavuconazonium sulfate 1.5 mg/ml
Glukoza 5% 3829
Zgodny
Injekcje Ampicillin sodium - sulbactam sodium 20/10 mg/ml
Injekcje Ketoprofene 3.2 mg/ml
Chlorek sodu 0,9% 1847
Natychmiastowe opady Niekompatybilny
Injekcje Ampicillin sodium - sulbactam sodium 20/10 mg/ml
Injekcje Lansoprazole 0.55 mg/ml
Chlorek sodu 0,9% 1625
Zgodny
Injekcje Ampicillin sodium - sulbactam sodium 20/10 mg/ml
Injekcje Linezolid 2 mg/ml
Żaden 1925
Zgodny
Injekcje Ampicillin sodium - sulbactam sodium 30 mg/ml
Injekcje Morphine sulfate 1 mg/ml
Chlorek sodu 0,9% 406
Natychmiastowe zmętnienie Niekompatybilny
Injekcje Ampicillin sodium - sulbactam sodium 15 mg/ml
Injekcje Nicardipine hydrochloride 0.1 mg/ml
Chlorek sodu 0,9% 1490
Natychmiastowe zmętnienie Niekompatybilny
Injekcje Ampicillin sodium - sulbactam sodium 15 mg/ml
Injekcje Nicardipine hydrochloride 0.1 mg/ml
Glukoza 5% 1490
Natychmiastowe opady Niekompatybilny
Injekcje Ampicillin sodium - sulbactam sodium 20/10 mg/ml
Injekcje Ondansetron hydrochloride 1 mg/ml
Chlorek sodu 0,9% 334
Zgodny
Injekcje Ampicillin sodium - sulbactam sodium 20/10 mg/ml
Injekcje Paclitaxel 1.2 mg/ml
Glukoza 5% 248
Zgodny
Injekcje Ampicillin sodium - sulbactam sodium 20/10 mg/ml
Injekcje Palonosetron hydrochloride 50 µg/ml
Chlorek sodu 0,9% 2214
Zgodny
Injekcje Ampicillin sodium - sulbactam sodium 20/10 mg/ml
Injekcje Pemetrexed disodium 20 mg/ml
Chlorek sodu 0,9% 1953
Zgodny
Injekcje Ampicillin sodium - sulbactam sodium 30 mg/ml
Injekcje Pethidine hydrochloride 10 mg/ml
Chlorek sodu 0,9% 406
Zgodny
Injekcje Ampicillin sodium - sulbactam sodium 20/10 mg/ml
Injekcje Plazomicin sulfate 24 mg/ml
Chlorek sodu 0,9% 4145
Zgodny
Injekcje Ampicillin sodium - sulbactam sodium 20/10 mg/ml
Injekcje Remifentanil hydrochloride 25 & 250 µg/ml
Chlorek sodu 0,9% 59
Opady po 4 godzinach Niekompatybilny
Injekcje Ampicillin sodium - sulbactam sodium 20/10 mg/ml
Injekcje Sargramostim 10 µg/ml
Chlorek sodu 0,9% 335
Zgodny
Injekcje Ampicillin sodium - sulbactam sodium 200 mg/ml
Injekcje Sugammadex 100 mg/ml
Żaden 3372
Zgodny
Injekcje Ampicillin sodium - sulbactam sodium 50 mg/ml
Injekcje Tacrolimus 1000 µg/ml
Chlorek sodu 0,9% 479
Zgodny
Injekcje Ampicillin sodium - sulbactam sodium 20/10 mg/ml
Injekcje Tedizolid phosphate 0.8 mg/ml
Chlorek sodu 0,9% 3827
Zgodny
Injekcje Ampicillin sodium - sulbactam sodium 20/10 mg/ml
Injekcje Telavancin hydrochloride 7.5 mg/ml
Glukoza 5% 3254
Zgodny
Injekcje Ampicillin sodium - sulbactam sodium 20/10 mg/ml
Injekcje Telavancin hydrochloride 7.5 mg/ml
Chlorek sodu 0,9% 3254
Zgodny
Injekcje Ampicillin sodium - sulbactam sodium 20/10 mg/ml
Injekcje Telavancin hydrochloride 7.5 mg/ml
Roztwór Ringera z mleczanem sodowym 3254
Zgodny
Injekcje Ampicillin sodium - sulbactam sodium 20/10 mg/ml
Injekcje Teniposide 0.1 mg/ml
Glukoza 5% 905
Zgodny
Injekcje Ampicillin sodium - sulbactam sodium 30 mg/ml
Injekcje Theophylline 4 mg/ml
Żaden 317
Zgodny
Injekcje Ampicillin sodium - sulbactam sodium 20/10 mg/ml
Injekcje Thiotepa 1 mg/ml
Glukoza 5% 249
Zgodny
Injekcje Ampicillin sodium - sulbactam sodium 10/20 mg/ml
Injekcje Tramadol hydrochloride 0,4 mg/ml
Chlorek sodu 0,9% 2002
Zgodny
Injekcje Ampicillin sodium - sulbactam sodium 1/0.5 >> 250/125 mg/ml
Injekcje Vancomycin hydrochloride 2 mg/ml
Glukoza 5% 1674
Zgodny
Injekcje Ampicillin sodium - sulbactam sodium 1/0.5 >> 50/25 mg/ml
Injekcje Vancomycin hydrochloride 20 mg/ml
Glukoza 5% 1674
Natychmiastowe opady Niekompatybilny
Injekcje Ampicillin sodium - sulbactam sodium 250-125 mg/ml
Injekcje Vancomycin hydrochloride 20 mg/ml
Glukoza 5% 1674

  Mentions Légales