最新更新 :
27/04/2026
抗生素   Ampicillin sodium - sulbactam sodium  
注射液
溶液稳定性 混合物稳定性 影响稳定性的因素 兼容性 用药途径 引用文献 PDF
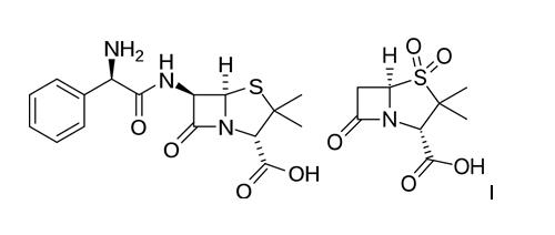
   化学式  

商品名   商品名     

商品名仅供参考, 药品所用的辅料可能依国家或厂商不同有所不同。

Alfasid 土耳其
Ampibac 哥伦比亚
Ampibactam 委内瑞拉
Ampicillin sulbactam 澳大利亚
Ampicillina sodica - sulbactam 厄瓜多尔, 巴西
Ampictam 埃及
Ampiplus 沙特阿拉伯, 罗马尼亚
Ampisid 土耳其
Ampixim 委内瑞拉
Bacimex 西班牙
Begalin 希腊
Bethacil 意大利
Cinclox 印度
Combicid 土耳其
Darzitil 阿根廷
Duobaktam 土耳其
Duocid 土耳其
Galotam 西班牙
Libractam 智利
Loricin 意大利
Prixin 阿根廷
Ranpisul 墨西哥
Retarpen 西班牙
Sabect 埃及
Sulamp 哥伦比亚
Sulbacter 委内瑞拉
Sulbaksit 土耳其
Sulbin 埃及
Sulcid 土耳其
Sumitan 哥伦比亚, 委内瑞拉
Synerpen 埃及
Ultracillin 埃及
Unacid 德国
Unacim 法国
Unasyn 匈牙利, 厄瓜多尔, 哥伦比亚, 埃及, 墨西哥, 奥地利, 巴西, 德国, 意大利, 摩洛哥, 日本, 智利, 沙特阿拉伯, 波兰, 秘鲁, 美国, 西班牙, 马来西亚
Unictam 埃及
Xilbac 秘鲁
兼容性   注射液   兼容性 : Ampicillin sodium - sulbactam sodium              
This screen indicates the compatibilities or incompatibilities with, in this case, the type of incompatibility (precipitation, color change, modification of an emulsion, etc.). The compatibilities shown here are mostly physical only, with the chemical stability of each molecule rarely being assessed. The evaluation of these mixtures was studied to consider the possibility of Y-site administration to the patient. These data cannot be used for making mixtures in advance in bags or syringes. This type of information is available in the screen "Stability in mixture ».
分子 溶剂 引用文献
兼容
注射液 Ampicillin sodium - sulbactam sodium 20/10 mg/ml
注射液 Amifostine 10 mg/ml
葡萄糖5% 3
化學不穩定性 不相容
注射液 Ampicillin sodium - sulbactam sodium
注射液 Amikacin sulfate
3549
立即沉澱 不相容
注射液 Ampicillin sodium - sulbactam sodium 30 mg/ml
注射液 Amiodarone hydrochloride 6 mg/ml
NaCl 0,9% 1611
立即沉澱 不相容
注射液 Ampicillin sodium - sulbactam sodium 30 mg/ml
注射液 Amiodarone hydrochloride 6 mg/ml
葡萄糖5% 1611
立即沉澱 不相容
注射液 Ampicillin sodium - sulbactam sodium 20/10 mg/ml
注射液 Amphotericin B cholesteryl sulfate complex 0.83 mg/ml
葡萄糖5% 921
兼容
注射液 Ampicillin sodium - sulbactam sodium 20/10 mg/ml
注射液 Anidulafungin 0.5 mg/ml
葡萄糖5% 1982
兼容
注射液 Ampicillin sodium - sulbactam sodium 20/10 mg/ml
注射液 Aztreonam 40 mg/ml
葡萄糖5% 99
兼容
注射液 Ampicillin sodium - sulbactam sodium 20/10 mg/ml
注射液 Bivalirudin 5 mg/ml
葡萄糖5% 1713
兼容
注射液 Ampicillin sodium - sulbactam sodium 20/10 mg/ml
注射液 Ceftolozane / tazobactam 10/5 mg/ml
NaCl 0,9% 3828
兼容
注射液 Ampicillin sodium - sulbactam sodium 20/10 mg/ml
注射液 Ceftolozane / tazobactam 10/5 mg/ml
葡萄糖5% 3828
立即沉澱 不相容
注射液 Ampicillin sodium - sulbactam sodium
注射液 Ciprofloxacin lactate
葡萄糖5% 1500
立即沉澱 不相容
注射液 Ampicillin sodium - sulbactam sodium 30 mg/ml
注射液 Ciprofloxacin lactate 2 mg/ml
葡萄糖5% 285
立即沉澱 不相容
注射液 Ampicillin sodium - sulbactam sodium
注射液 Ciprofloxacin lactate
NaCl 0,9% 1500
未指定的不兼容性 不相容
注射液 Ampicillin sodium - sulbactam sodium
注射液 Ciprofloxacin lactate
3529
立即渾濁 不相容
注射液 Ampicillin sodium - sulbactam sodium 20/10 mg/ml
注射液 Cisatracurium besylate 5 mg/ml
葡萄糖5% 299
兼容
注射液 Ampicillin sodium - sulbactam sodium 20/10 mg/ml
注射液 Dexmedetomidine 4 µg/ml
NaCl 0,9% 1712
兼容
注射液 Ampicillin sodium - sulbactam sodium 20/10 mg/ml
注射液 Docetaxel 0.9 mg/ml
葡萄糖5% 1754
未指定的不兼容性 不相容
注射液 Ampicillin sodium - sulbactam sodium
肠外营养(二种混合物) 5067
兼容
注射液 Ampicillin sodium - sulbactam sodium 20/10 mg/ml
肠外营养(二种混合物) 301
未指定的不兼容性 不相容
注射液 Ampicillin sodium - sulbactam sodium
肠外营养(含脂肪) 5067
兼容
注射液 Ampicillin sodium - sulbactam sodium 20/10 mg/ml
注射液 Cisatracurium besylate 0.1 & 2 mg/ml
葡萄糖5% 299
立即渾濁 不相容
注射液 Ampicillin sodium - sulbactam sodium 20/10 mg/ml
注射液 Cisatracurium besylate 5 mg/ml
NaCl 0,9% 299
兼容
注射液 Ampicillin sodium - sulbactam sodium 2 & 15 mg/ml
注射液 Diltiazem hydrochloride 5 mg/ml
NaCl 0,9% 198
兼容
注射液 Ampicillin sodium - sulbactam sodium 45 mg/ml
注射液 Diltiazem hydrochloride 1 mg/ml
NaCl 0,9% 198
兼容
注射液 Ampicillin sodium - sulbactam sodium 20 mg/ml
肠外营养(含脂肪) 4507
立即渾濁 不相容
注射液 Ampicillin sodium - sulbactam sodium 45 mg/ml
注射液 Diltiazem hydrochloride 5 mg/ml
NaCl 0,9% 198
兼容
注射液 Ampicillin sodium - sulbactam sodium 15 mg/ml
注射液 Enalaprilate 0.05 mg/ml
NaCl 0,9% 1315
兼容
注射液 Ampicillin sodium - sulbactam sodium 20/10 mg/ml
肠外营养(含脂肪) 1415
未指定的不兼容性 不相容
注射液 Ampicillin sodium - sulbactam sodium
注射液 Erythromycin lactobionate
3674
兼容
注射液 Ampicillin sodium - sulbactam sodium 30 mg/ml
注射液 Famotidine
葡萄糖5% 397
兼容
注射液 Ampicillin sodium - sulbactam sodium 60 mg/ml
注射液 Fluconazole 2 mg/ml
NaCl 0,9% 496
兼容
注射液 Ampicillin sodium - sulbactam sodium 15 mg/ml
肠外营养(含脂肪) 4440
兼容
注射液 Ampicillin sodium - sulbactam sodium 20/10 mg/ml
注射液 Etoposide phosphate 5 mg/ml
葡萄糖5% 1410
兼容
注射液 Ampicillin sodium - sulbactam sodium 20/10 mg/ml
注射液 Fenoldopam mesylate 80 µg/ml
NaCl 0,9% 1803
兼容
注射液 Ampicillin sodium - sulbactam sodium 20/10 mg/ml
注射液 Filgrastim 30 µg/ml
葡萄糖5% 244
兼容
注射液 Ampicillin sodium - sulbactam sodium 20/10 mg/ml
注射液 Fludarabine phosphate 1 mg/ml
葡萄糖5% 492
兼容
注射液 Ampicillin sodium - sulbactam sodium 20/10 mg/ml
注射液 Fosfomycin 30 mg/ml
葡萄糖5% 4055
兼容
注射液 Ampicillin sodium - sulbactam sodium 20/10 mg/ml
注射液 Fosfomycin 30 mg/ml
NaCl 0,9% 4055
兼容
注射液 Ampicillin sodium - sulbactam sodium 45/22.4 mg/ml
注射液 Gallium nitrate 1 mg/ml
NaCl 0,9% 91
兼容
注射液 Ampicillin sodium - sulbactam sodium 20/10 mg/ml
注射液 Gemcitabine hydrochloride 10 mg/ml
NaCl 0,9% 1423
未指定的不兼容性 不相容
注射液 Ampicillin sodium - sulbactam sodium
注射液 Gentamicin sulfate
3520
未指定的不兼容性 不相容
注射液 Ampicillin sodium - sulbactam sodium
注射液 Gentamicin sulfate
3643
兼容
注射液 Ampicillin sodium - sulbactam sodium 20/10 mg/ml
注射液 Granisetron hydrochloride 0.05 mg/ml
NaCl 0,9% 182
兼容
注射液 Ampicillin sodium - sulbactam sodium 30 mg/ml
注射液 Heparin sodium 50 UI/ml
无 317
兼容
注射液 Ampicillin sodium - sulbactam sodium 20/10 mg/ml
注射液 Hetastarch 60 mg/ml
特定溶液 1721
立即渾濁 不相容
注射液 Ampicillin sodium - sulbactam sodium 30 mg/ml
注射液 Idarubicin hydrochloride 1 mg/ml
NaCl 0,9% 491
兼容
注射液 Ampicillin sodium - sulbactam sodium 30 mg/ml
注射液 Insulin 0.2 UI/ml
NaCl 0,9% 129
立即渾濁 不相容
注射液 Ampicillin sodium - sulbactam sodium 20/10 mg/ml
注射液 Isavuconazonium sulfate 1.5 mg/ml
NaCl 0,9% 3829
兼容
注射液 Ampicillin sodium - sulbactam sodium
NaCl 0,9% 5067
立即渾濁 不相容
注射液 Ampicillin sodium - sulbactam sodium 20/10 mg/ml
注射液 Isavuconazonium sulfate 1.5 mg/ml
葡萄糖5% 3829
兼容
注射液 Ampicillin sodium - sulbactam sodium 20/10 mg/ml
注射液 Ketoprofene 3.2 mg/ml
NaCl 0,9% 1847
立即沉澱 不相容
注射液 Ampicillin sodium - sulbactam sodium 20/10 mg/ml
注射液 Lansoprazole 0.55 mg/ml
NaCl 0,9% 1625
兼容
注射液 Ampicillin sodium - sulbactam sodium 20/10 mg/ml
注射液 Linezolid 2 mg/ml
无 1925
兼容
注射液 Ampicillin sodium - sulbactam sodium 30 mg/ml
注射液 Morphine sulfate 1 mg/ml
NaCl 0,9% 406
立即渾濁 不相容
注射液 Ampicillin sodium - sulbactam sodium 15 mg/ml
注射液 Nicardipine hydrochloride 0.1 mg/ml
NaCl 0,9% 1490
立即渾濁 不相容
注射液 Ampicillin sodium - sulbactam sodium 15 mg/ml
注射液 Nicardipine hydrochloride 0.1 mg/ml
葡萄糖5% 1490
立即沉澱 不相容
注射液 Ampicillin sodium - sulbactam sodium 20/10 mg/ml
注射液 Ondansetron hydrochloride 1 mg/ml
NaCl 0,9% 334
兼容
注射液 Ampicillin sodium - sulbactam sodium 20/10 mg/ml
注射液 Paclitaxel 1.2 mg/ml
葡萄糖5% 248
兼容
注射液 Ampicillin sodium - sulbactam sodium 20/10 mg/ml
注射液 Palonosetron hydrochloride 50 µg/ml
NaCl 0,9% 2214
兼容
注射液 Ampicillin sodium - sulbactam sodium 20/10 mg/ml
注射液 Pemetrexed disodium 20 mg/ml
NaCl 0,9% 1953
兼容
注射液 Ampicillin sodium - sulbactam sodium 30 mg/ml
注射液 Pethidine hydrochloride 10 mg/ml
NaCl 0,9% 406
兼容
注射液 Ampicillin sodium - sulbactam sodium 20/10 mg/ml
注射液 Plazomicin sulfate 24 mg/ml
NaCl 0,9% 4145
兼容
注射液 Ampicillin sodium - sulbactam sodium 20/10 mg/ml
注射液 Remifentanil hydrochloride 25 & 250 µg/ml
NaCl 0,9% 59
4小時後出現沉澱 不相容
注射液 Ampicillin sodium - sulbactam sodium 20/10 mg/ml
注射液 Sargramostim 10 µg/ml
NaCl 0,9% 335
兼容
注射液 Ampicillin sodium - sulbactam sodium 200 mg/ml
注射液 Sugammadex 100 mg/ml
无 3372
兼容
注射液 Ampicillin sodium - sulbactam sodium 50 mg/ml
注射液 Tacrolimus 1000 µg/ml
NaCl 0,9% 479
兼容
注射液 Ampicillin sodium - sulbactam sodium 20/10 mg/ml
注射液 Tedizolid phosphate 0.8 mg/ml
NaCl 0,9% 3827
兼容
注射液 Ampicillin sodium - sulbactam sodium 20/10 mg/ml
注射液 Telavancin hydrochloride 7.5 mg/ml
葡萄糖5% 3254
兼容
注射液 Ampicillin sodium - sulbactam sodium 20/10 mg/ml
注射液 Telavancin hydrochloride 7.5 mg/ml
NaCl 0,9% 3254
兼容
注射液 Ampicillin sodium - sulbactam sodium 20/10 mg/ml
注射液 Telavancin hydrochloride 7.5 mg/ml
Ringer乳酸溶液 3254
兼容
注射液 Ampicillin sodium - sulbactam sodium 20/10 mg/ml
注射液 Teniposide 0.1 mg/ml
葡萄糖5% 905
兼容
注射液 Ampicillin sodium - sulbactam sodium 30 mg/ml
注射液 Theophylline 4 mg/ml
无 317
兼容
注射液 Ampicillin sodium - sulbactam sodium 20/10 mg/ml
注射液 Thiotepa 1 mg/ml
葡萄糖5% 249
兼容
注射液 Ampicillin sodium - sulbactam sodium 10/20 mg/ml
注射液 Tramadol hydrochloride 0,4 mg/ml
NaCl 0,9% 2002
兼容
注射液 Ampicillin sodium - sulbactam sodium 1/0.5 >> 250/125 mg/ml
注射液 Vancomycin hydrochloride 2 mg/ml
葡萄糖5% 1674
兼容
注射液 Ampicillin sodium - sulbactam sodium 1/0.5 >> 50/25 mg/ml
注射液 Vancomycin hydrochloride 20 mg/ml
葡萄糖5% 1674
立即沉澱 不相容
注射液 Ampicillin sodium - sulbactam sodium 250-125 mg/ml
注射液 Vancomycin hydrochloride 20 mg/ml
葡萄糖5% 1674

  Mentions Légales