viimane versioon :
27/04/2026
antibiootikum   Ampicillin sodium - sulbactam sodium  
Süsteravim
Stabiilsus lahustes Stabiilsust mõjutavad tegurid stabiilsust mõjutavad faktorid Sobimatus Manustamis viis Viited pdf
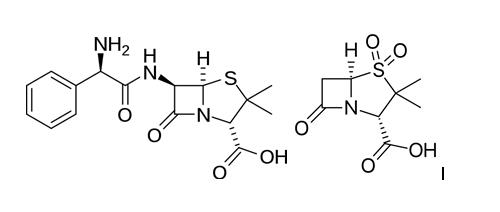
   keemiline struktuur  

Kaubanduslikud nimed erinevates maades   Kaubanduslikud nimed erinevates maades     

Preparaatide nimed on näitlikud ja abianete sisaldus võib erineda sõltuvalt riigist ja laborist

Alfasid Türgi
Ampibac Kolumbia
Ampibactam Venetsueela
Ampicillin sulbactam Austraalia
Ampicillina sodica - sulbactam Brasiilia, Ecuador
Ampictam Egiptus
Ampiplus Rumeenia, Saudi Araabia
Ampisid Türgi
Ampixim Venetsueela
Bacimex Hispaania
Begalin Kreeka
Bethacil Itaalia
Cinclox India
Combicid Türgi
Darzitil Argentiina
Duobaktam Türgi
Duocid Türgi
Galotam Hispaania
Libractam Tšiili
Loricin Itaalia
Prixin Argentiina
Ranpisul Mehhiko
Retarpen Hispaania
Sabect Egiptus
Sulamp Kolumbia
Sulbacter Venetsueela
Sulbaksit Türgi
Sulbin Egiptus
Sulcid Türgi
Sumitan Kolumbia, Venetsueela
Synerpen Egiptus
Ultracillin Egiptus
Unacid Saksamaa
Unacim Prantsusmaa
Unasyn Ameerika ühendriigid, Austria, Brasiilia, Ecuador, Egiptus, Hispaania, Itaalia, Jaapan, Kolumbia, Malaisia, Maroko, Maroko, Mehhiko, Poola, Saksamaa, Saudi Araabia, Tšiili, Ungari
Unictam Egiptus
Xilbac Maroko
Sobimatus   Süsteravim   Sobimatus : Ampicillin sodium - sulbactam sodium              
Sellel lehel kuvatakse sobimatusi ja sobimatuse tüüpi (sadenemine, värvuse muutus, emulsiooni modifitseerumine jne). Enamasti on siin lehel kuvatud füüsikalised sobimatused, kuna molekulide keemilist stabiilsust hinnatakse harva. Hinnatud on segude sobivust Y-liinis. Antud infot ei saa kasutada ravimite sobivuse hindamiseks juhul, kui ravimid on segatud süstaldes või infusioonikottides. See info on lehel « stabiilsus segudes ».
ingredient lahusti Viited
Ühilduv
Süsteravim Ampicillin sodium - sulbactam sodium 20/10 mg/ml
Süsteravim Amifostine 10 mg/ml
glükoos 5% 3
Keemiline ebastabiilsus Sobimatu
Süsteravim Ampicillin sodium - sulbactam sodium
Süsteravim Amikacin sulfate
3549
Kohene sade Sobimatu
Süsteravim Ampicillin sodium - sulbactam sodium 30 mg/ml
Süsteravim Amiodarone hydrochloride 6 mg/ml
naatriumkloriid 0.9% 1611
Kohene sade Sobimatu
Süsteravim Ampicillin sodium - sulbactam sodium 30 mg/ml
Süsteravim Amiodarone hydrochloride 6 mg/ml
glükoos 5% 1611
Kohene sade Sobimatu
Süsteravim Ampicillin sodium - sulbactam sodium 20/10 mg/ml
Süsteravim Amphotericin B cholesteryl sulfate complex 0.83 mg/ml
glükoos 5% 921
Ühilduv
Süsteravim Ampicillin sodium - sulbactam sodium 20/10 mg/ml
Süsteravim Anidulafungin 0.5 mg/ml
glükoos 5% 1982
Ühilduv
Süsteravim Ampicillin sodium - sulbactam sodium 20/10 mg/ml
Süsteravim Aztreonam 40 mg/ml
glükoos 5% 99
Ühilduv
Süsteravim Ampicillin sodium - sulbactam sodium 20/10 mg/ml
Süsteravim Bivalirudin 5 mg/ml
glükoos 5% 1713
Ühilduv
Süsteravim Ampicillin sodium - sulbactam sodium 20/10 mg/ml
Süsteravim Ceftolozane / tazobactam 10/5 mg/ml
naatriumkloriid 0.9% 3828
Ühilduv
Süsteravim Ampicillin sodium - sulbactam sodium 20/10 mg/ml
Süsteravim Ceftolozane / tazobactam 10/5 mg/ml
glükoos 5% 3828
Kohene sade Sobimatu
Süsteravim Ampicillin sodium - sulbactam sodium
Süsteravim Ciprofloxacin lactate
glükoos 5% 1500
Kohene sade Sobimatu
Süsteravim Ampicillin sodium - sulbactam sodium 30 mg/ml
Süsteravim Ciprofloxacin lactate 2 mg/ml
glükoos 5% 285
Kohene sade Sobimatu
Süsteravim Ampicillin sodium - sulbactam sodium
Süsteravim Ciprofloxacin lactate
naatriumkloriid 0.9% 1500
Täpsustamata sobimatus Sobimatu
Süsteravim Ampicillin sodium - sulbactam sodium
Süsteravim Ciprofloxacin lactate
3529
Kohene hägusus Sobimatu
Süsteravim Ampicillin sodium - sulbactam sodium 20/10 mg/ml
Süsteravim Cisatracurium besylate 5 mg/ml
glükoos 5% 299
Ühilduv
Süsteravim Ampicillin sodium - sulbactam sodium 20/10 mg/ml
Süsteravim Dexmedetomidine 4 µg/ml
naatriumkloriid 0.9% 1712
Ühilduv
Süsteravim Ampicillin sodium - sulbactam sodium 20/10 mg/ml
Süsteravim Docetaxel 0.9 mg/ml
glükoos 5% 1754
Täpsustamata sobimatus Sobimatu
Süsteravim Ampicillin sodium - sulbactam sodium
Parenteraalse toitmise (lipiide tasuta) 5067
Ühilduv
Süsteravim Ampicillin sodium - sulbactam sodium 20/10 mg/ml
Parenteraalse toitmise (lipiide tasuta) 301
Täpsustamata sobimatus Sobimatu
Süsteravim Ampicillin sodium - sulbactam sodium
Parenteraalse toitmise (lipiidide) 5067
Ühilduv
Süsteravim Ampicillin sodium - sulbactam sodium 20/10 mg/ml
Süsteravim Cisatracurium besylate 0.1 & 2 mg/ml
glükoos 5% 299
Kohene hägusus Sobimatu
Süsteravim Ampicillin sodium - sulbactam sodium 20/10 mg/ml
Süsteravim Cisatracurium besylate 5 mg/ml
naatriumkloriid 0.9% 299
Ühilduv
Süsteravim Ampicillin sodium - sulbactam sodium 2 & 15 mg/ml
Süsteravim Diltiazem hydrochloride 5 mg/ml
naatriumkloriid 0.9% 198
Ühilduv
Süsteravim Ampicillin sodium - sulbactam sodium 45 mg/ml
Süsteravim Diltiazem hydrochloride 1 mg/ml
naatriumkloriid 0.9% 198
Ühilduv
Süsteravim Ampicillin sodium - sulbactam sodium 20 mg/ml
Parenteraalse toitmise (lipiidide) 4507
Kohene hägusus Sobimatu
Süsteravim Ampicillin sodium - sulbactam sodium 45 mg/ml
Süsteravim Diltiazem hydrochloride 5 mg/ml
naatriumkloriid 0.9% 198
Ühilduv
Süsteravim Ampicillin sodium - sulbactam sodium 15 mg/ml
Süsteravim Enalaprilate 0.05 mg/ml
naatriumkloriid 0.9% 1315
Ühilduv
Süsteravim Ampicillin sodium - sulbactam sodium 20/10 mg/ml
Parenteraalse toitmise (lipiidide) 1415
Täpsustamata sobimatus Sobimatu
Süsteravim Ampicillin sodium - sulbactam sodium
Süsteravim Erythromycin lactobionate
3674
Ühilduv
Süsteravim Ampicillin sodium - sulbactam sodium 30 mg/ml
Süsteravim Famotidine
glükoos 5% 397
Ühilduv
Süsteravim Ampicillin sodium - sulbactam sodium 60 mg/ml
Süsteravim Fluconazole 2 mg/ml
naatriumkloriid 0.9% 496
Ühilduv
Süsteravim Ampicillin sodium - sulbactam sodium 15 mg/ml
Parenteraalse toitmise (lipiidide) 4440
Ühilduv
Süsteravim Ampicillin sodium - sulbactam sodium 20/10 mg/ml
Süsteravim Etoposide phosphate 5 mg/ml
glükoos 5% 1410
Ühilduv
Süsteravim Ampicillin sodium - sulbactam sodium 20/10 mg/ml
Süsteravim Fenoldopam mesylate 80 µg/ml
naatriumkloriid 0.9% 1803
Ühilduv
Süsteravim Ampicillin sodium - sulbactam sodium 20/10 mg/ml
Süsteravim Filgrastim 30 µg/ml
glükoos 5% 244
Ühilduv
Süsteravim Ampicillin sodium - sulbactam sodium 20/10 mg/ml
Süsteravim Fludarabine phosphate 1 mg/ml
glükoos 5% 492
Ühilduv
Süsteravim Ampicillin sodium - sulbactam sodium 20/10 mg/ml
Süsteravim Fosfomycin 30 mg/ml
glükoos 5% 4055
Ühilduv
Süsteravim Ampicillin sodium - sulbactam sodium 20/10 mg/ml
Süsteravim Fosfomycin 30 mg/ml
naatriumkloriid 0.9% 4055
Ühilduv
Süsteravim Ampicillin sodium - sulbactam sodium 45/22.4 mg/ml
Süsteravim Gallium nitrate 1 mg/ml
naatriumkloriid 0.9% 91
Ühilduv
Süsteravim Ampicillin sodium - sulbactam sodium 20/10 mg/ml
Süsteravim Gemcitabine hydrochloride 10 mg/ml
naatriumkloriid 0.9% 1423
Täpsustamata sobimatus Sobimatu
Süsteravim Ampicillin sodium - sulbactam sodium
Süsteravim Gentamicin sulfate
3520
Täpsustamata sobimatus Sobimatu
Süsteravim Ampicillin sodium - sulbactam sodium
Süsteravim Gentamicin sulfate
3643
Ühilduv
Süsteravim Ampicillin sodium - sulbactam sodium 20/10 mg/ml
Süsteravim Granisetron hydrochloride 0.05 mg/ml
naatriumkloriid 0.9% 182
Ühilduv
Süsteravim Ampicillin sodium - sulbactam sodium 30 mg/ml
Süsteravim Heparin sodium 50 UI/ml
mitte ükski 317
Ühilduv
Süsteravim Ampicillin sodium - sulbactam sodium 20/10 mg/ml
Süsteravim Hetastarch 60 mg/ml
konkreetsed lahusti 1721
Kohene hägusus Sobimatu
Süsteravim Ampicillin sodium - sulbactam sodium 30 mg/ml
Süsteravim Idarubicin hydrochloride 1 mg/ml
naatriumkloriid 0.9% 491
Ühilduv
Süsteravim Ampicillin sodium - sulbactam sodium 30 mg/ml
Süsteravim Insulin 0.2 UI/ml
naatriumkloriid 0.9% 129
Kohene hägusus Sobimatu
Süsteravim Ampicillin sodium - sulbactam sodium 20/10 mg/ml
Süsteravim Isavuconazonium sulfate 1.5 mg/ml
naatriumkloriid 0.9% 3829
Ühilduv
Süsteravim Ampicillin sodium - sulbactam sodium
naatriumkloriid 0.9% 5067
Kohene hägusus Sobimatu
Süsteravim Ampicillin sodium - sulbactam sodium 20/10 mg/ml
Süsteravim Isavuconazonium sulfate 1.5 mg/ml
glükoos 5% 3829
Ühilduv
Süsteravim Ampicillin sodium - sulbactam sodium 20/10 mg/ml
Süsteravim Ketoprofene 3.2 mg/ml
naatriumkloriid 0.9% 1847
Kohene sade Sobimatu
Süsteravim Ampicillin sodium - sulbactam sodium 20/10 mg/ml
Süsteravim Lansoprazole 0.55 mg/ml
naatriumkloriid 0.9% 1625
Ühilduv
Süsteravim Ampicillin sodium - sulbactam sodium 20/10 mg/ml
Süsteravim Linezolid 2 mg/ml
mitte ükski 1925
Ühilduv
Süsteravim Ampicillin sodium - sulbactam sodium 30 mg/ml
Süsteravim Morphine sulfate 1 mg/ml
naatriumkloriid 0.9% 406
Kohene hägusus Sobimatu
Süsteravim Ampicillin sodium - sulbactam sodium 15 mg/ml
Süsteravim Nicardipine hydrochloride 0.1 mg/ml
naatriumkloriid 0.9% 1490
Kohene hägusus Sobimatu
Süsteravim Ampicillin sodium - sulbactam sodium 15 mg/ml
Süsteravim Nicardipine hydrochloride 0.1 mg/ml
glükoos 5% 1490
Kohene sade Sobimatu
Süsteravim Ampicillin sodium - sulbactam sodium 20/10 mg/ml
Süsteravim Ondansetron hydrochloride 1 mg/ml
naatriumkloriid 0.9% 334
Ühilduv
Süsteravim Ampicillin sodium - sulbactam sodium 20/10 mg/ml
Süsteravim Paclitaxel 1.2 mg/ml
glükoos 5% 248
Ühilduv
Süsteravim Ampicillin sodium - sulbactam sodium 20/10 mg/ml
Süsteravim Palonosetron hydrochloride 50 µg/ml
naatriumkloriid 0.9% 2214
Ühilduv
Süsteravim Ampicillin sodium - sulbactam sodium 20/10 mg/ml
Süsteravim Pemetrexed disodium 20 mg/ml
naatriumkloriid 0.9% 1953
Ühilduv
Süsteravim Ampicillin sodium - sulbactam sodium 30 mg/ml
Süsteravim Pethidine hydrochloride 10 mg/ml
naatriumkloriid 0.9% 406
Ühilduv
Süsteravim Ampicillin sodium - sulbactam sodium 20/10 mg/ml
Süsteravim Plazomicin sulfate 24 mg/ml
naatriumkloriid 0.9% 4145
Ühilduv
Süsteravim Ampicillin sodium - sulbactam sodium 20/10 mg/ml
Süsteravim Remifentanil hydrochloride 25 & 250 µg/ml
naatriumkloriid 0.9% 59
Sade 4 tunni pärast Sobimatu
Süsteravim Ampicillin sodium - sulbactam sodium 20/10 mg/ml
Süsteravim Sargramostim 10 µg/ml
naatriumkloriid 0.9% 335
Ühilduv
Süsteravim Ampicillin sodium - sulbactam sodium 200 mg/ml
Süsteravim Sugammadex 100 mg/ml
mitte ükski 3372
Ühilduv
Süsteravim Ampicillin sodium - sulbactam sodium 50 mg/ml
Süsteravim Tacrolimus 1000 µg/ml
naatriumkloriid 0.9% 479
Ühilduv
Süsteravim Ampicillin sodium - sulbactam sodium 20/10 mg/ml
Süsteravim Tedizolid phosphate 0.8 mg/ml
naatriumkloriid 0.9% 3827
Ühilduv
Süsteravim Ampicillin sodium - sulbactam sodium 20/10 mg/ml
Süsteravim Telavancin hydrochloride 7.5 mg/ml
glükoos 5% 3254
Ühilduv
Süsteravim Ampicillin sodium - sulbactam sodium 20/10 mg/ml
Süsteravim Telavancin hydrochloride 7.5 mg/ml
naatriumkloriid 0.9% 3254
Ühilduv
Süsteravim Ampicillin sodium - sulbactam sodium 20/10 mg/ml
Süsteravim Telavancin hydrochloride 7.5 mg/ml
Ringer laktaat 3254
Ühilduv
Süsteravim Ampicillin sodium - sulbactam sodium 20/10 mg/ml
Süsteravim Teniposide 0.1 mg/ml
glükoos 5% 905
Ühilduv
Süsteravim Ampicillin sodium - sulbactam sodium 30 mg/ml
Süsteravim Theophylline 4 mg/ml
mitte ükski 317
Ühilduv
Süsteravim Ampicillin sodium - sulbactam sodium 20/10 mg/ml
Süsteravim Thiotepa 1 mg/ml
glükoos 5% 249
Ühilduv
Süsteravim Ampicillin sodium - sulbactam sodium 10/20 mg/ml
Süsteravim Tramadol hydrochloride 0,4 mg/ml
naatriumkloriid 0.9% 2002
Ühilduv
Süsteravim Ampicillin sodium - sulbactam sodium 1/0.5 >> 250/125 mg/ml
Süsteravim Vancomycin hydrochloride 2 mg/ml
glükoos 5% 1674
Ühilduv
Süsteravim Ampicillin sodium - sulbactam sodium 1/0.5 >> 50/25 mg/ml
Süsteravim Vancomycin hydrochloride 20 mg/ml
glükoos 5% 1674
Kohene sade Sobimatu
Süsteravim Ampicillin sodium - sulbactam sodium 250-125 mg/ml
Süsteravim Vancomycin hydrochloride 20 mg/ml
glükoos 5% 1674

  Mentions Légales