Dernière mise à jour :
27/04/2026
Antibiotique   Ampicillin sodium - sulbactam sodium  
injectable
Stabilité des solutions Stabilité en mélange Facteur influençant la stabilité Compatibilités Voie d’administration Bibliographie pdf
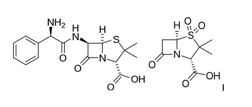
   Structure chimique  

Noms commerciaux   Noms commerciaux     

Les noms commerciaux sont donnés à titre indicatif et la composition en excipients peut être différente selon les pays et selon les laboratoires

Alfasid Turquie
Ampibac Colombie
Ampibactam Vénézuela
Ampicillin sulbactam Australie
Ampicillina sodica - sulbactam Brésil, Equateur
Ampictam Egypte
Ampiplus Arabie Saoudite, Roumanie
Ampisid Turquie
Ampixim Vénézuela
Bacimex Espagne
Begalin Grèce
Bethacil Italie
Cinclox Inde
Combicid Turquie
Darzitil Argentine
Duobaktam Turquie
Duocid Turquie
Galotam Espagne
Libractam Chili
Loricin Italie
Prixin Argentine
Ranpisul Mexique
Retarpen Espagne
Sabect Egypte
Sulamp Colombie
Sulbacter Vénézuela
Sulbaksit Turquie
Sulbin Egypte
Sulcid Turquie
Sumitan Colombie, Vénézuela
Synerpen Egypte
Ultracillin Egypte
Unacid Allemagne
Unacim France
Unasyn Allemagne, Arabie Saoudite, Autriche, Brésil, Chili, Colombie, Egypte, Equateur, Espagne, Etats Unis d’Amérique, Hongrie, Italie, Japon, Malaisie, Maroc, Mexique, Pérou, Pologne
Unictam Egypte
Xilbac Pérou
Compatibilités   injectable   Compatibilités : Ampicillin sodium - sulbactam sodium              
Cet écran indique les compatibilités ou incompatibilités avec, dans ce cas, le type d'incompatibilité (précipitation, changement de couleur, modification d'une émulsion, etc.). Les compatibilités présentées ici sont pour la plupart uniquement physiques, la stabilité chimique de chaque molécule étant rarement évaluée. L'évaluation de ces mélanges a été étudiée pour envisager la possibilité d'une administration en site Y au patient. Ces données ne peuvent pas être utilisées pour préparer des mélanges à l'avance dans des poches de perfusion ou des seringues. Ce type d'informations est disponible dans l'écran « Stabilité en mélange ».
Molécule Solvant Bibliographie
Compatible
injectable Ampicillin sodium - sulbactam sodium 20/10 mg/ml
injectable Amifostine 10 mg/ml
Glucose 5% 3
Instabilité chimique Incompatible
injectable Ampicillin sodium - sulbactam sodium
injectable Amikacin sulfate
3549
Précipitation immédiate Incompatible
injectable Ampicillin sodium - sulbactam sodium 30 mg/ml
injectable Amiodarone hydrochloride 6 mg/ml
Chlorure de sodium 0,9% 1611
Précipitation immédiate Incompatible
injectable Ampicillin sodium - sulbactam sodium 30 mg/ml
injectable Amiodarone hydrochloride 6 mg/ml
Glucose 5% 1611
Précipitation immédiate Incompatible
injectable Ampicillin sodium - sulbactam sodium 20/10 mg/ml
injectable Amphotericin B cholesteryl sulfate complex 0.83 mg/ml
Glucose 5% 921
Compatible
injectable Ampicillin sodium - sulbactam sodium 20/10 mg/ml
injectable Anidulafungin 0.5 mg/ml
Glucose 5% 1982
Compatible
injectable Ampicillin sodium - sulbactam sodium 20/10 mg/ml
injectable Aztreonam 40 mg/ml
Glucose 5% 99
Compatible
injectable Ampicillin sodium - sulbactam sodium 20/10 mg/ml
injectable Bivalirudin 5 mg/ml
Glucose 5% 1713
Compatible
injectable Ampicillin sodium - sulbactam sodium 20/10 mg/ml
injectable Ceftolozane / tazobactam 10/5 mg/ml
Chlorure de sodium 0,9% 3828
Compatible
injectable Ampicillin sodium - sulbactam sodium 20/10 mg/ml
injectable Ceftolozane / tazobactam 10/5 mg/ml
Glucose 5% 3828
Précipitation immédiate Incompatible
injectable Ampicillin sodium - sulbactam sodium
injectable Ciprofloxacin lactate
Glucose 5% 1500
Précipitation immédiate Incompatible
injectable Ampicillin sodium - sulbactam sodium 30 mg/ml
injectable Ciprofloxacin lactate 2 mg/ml
Glucose 5% 285
Précipitation immédiate Incompatible
injectable Ampicillin sodium - sulbactam sodium
injectable Ciprofloxacin lactate
Chlorure de sodium 0,9% 1500
Incompatibilité non précisée Incompatible
injectable Ampicillin sodium - sulbactam sodium
injectable Ciprofloxacin lactate
3529
Turbidité immédiate Incompatible
injectable Ampicillin sodium - sulbactam sodium 20/10 mg/ml
injectable Cisatracurium besylate 5 mg/ml
Glucose 5% 299
Compatible
injectable Ampicillin sodium - sulbactam sodium 20/10 mg/ml
injectable Dexmedetomidine 4 µg/ml
Chlorure de sodium 0,9% 1712
Compatible
injectable Ampicillin sodium - sulbactam sodium 20/10 mg/ml
injectable Docetaxel 0.9 mg/ml
Glucose 5% 1754
Incompatibilité non précisée Incompatible
injectable Ampicillin sodium - sulbactam sodium
Nutrition parentérale (mélange binaire) 5067
Compatible
injectable Ampicillin sodium - sulbactam sodium 20/10 mg/ml
Nutrition parentérale (mélange binaire) 301
Incompatibilité non précisée Incompatible
injectable Ampicillin sodium - sulbactam sodium
Nutrition parentérale (mélange ternaire) 5067
Compatible
injectable Ampicillin sodium - sulbactam sodium 20/10 mg/ml
injectable Cisatracurium besylate 0.1 & 2 mg/ml
Glucose 5% 299
Turbidité immédiate Incompatible
injectable Ampicillin sodium - sulbactam sodium 20/10 mg/ml
injectable Cisatracurium besylate 5 mg/ml
Chlorure de sodium 0,9% 299
Compatible
injectable Ampicillin sodium - sulbactam sodium 2 & 15 mg/ml
injectable Diltiazem hydrochloride 5 mg/ml
Chlorure de sodium 0,9% 198
Compatible
injectable Ampicillin sodium - sulbactam sodium 45 mg/ml
injectable Diltiazem hydrochloride 1 mg/ml
Chlorure de sodium 0,9% 198
Compatible
injectable Ampicillin sodium - sulbactam sodium 20 mg/ml
Nutrition parentérale (mélange ternaire) 4507
Turbidité immédiate Incompatible
injectable Ampicillin sodium - sulbactam sodium 45 mg/ml
injectable Diltiazem hydrochloride 5 mg/ml
Chlorure de sodium 0,9% 198
Compatible
injectable Ampicillin sodium - sulbactam sodium 15 mg/ml
injectable Enalaprilate 0.05 mg/ml
Chlorure de sodium 0,9% 1315
Compatible
injectable Ampicillin sodium - sulbactam sodium 20/10 mg/ml
Nutrition parentérale (mélange ternaire) 1415
Incompatibilité non précisée Incompatible
injectable Ampicillin sodium - sulbactam sodium
injectable Erythromycin lactobionate
3674
Compatible
injectable Ampicillin sodium - sulbactam sodium 30 mg/ml
injectable Famotidine
Glucose 5% 397
Compatible
injectable Ampicillin sodium - sulbactam sodium 60 mg/ml
injectable Fluconazole 2 mg/ml
Chlorure de sodium 0,9% 496
Compatible
injectable Ampicillin sodium - sulbactam sodium 15 mg/ml
Nutrition parentérale (mélange ternaire) 4440
Compatible
injectable Ampicillin sodium - sulbactam sodium 20/10 mg/ml
injectable Etoposide phosphate 5 mg/ml
Glucose 5% 1410
Compatible
injectable Ampicillin sodium - sulbactam sodium 20/10 mg/ml
injectable Fenoldopam mesylate 80 µg/ml
Chlorure de sodium 0,9% 1803
Compatible
injectable Ampicillin sodium - sulbactam sodium 20/10 mg/ml
injectable Filgrastim 30 µg/ml
Glucose 5% 244
Compatible
injectable Ampicillin sodium - sulbactam sodium 20/10 mg/ml
injectable Fludarabine phosphate 1 mg/ml
Glucose 5% 492
Compatible
injectable Ampicillin sodium - sulbactam sodium 20/10 mg/ml
injectable Fosfomycin 30 mg/ml
Glucose 5% 4055
Compatible
injectable Ampicillin sodium - sulbactam sodium 20/10 mg/ml
injectable Fosfomycin 30 mg/ml
Chlorure de sodium 0,9% 4055
Compatible
injectable Ampicillin sodium - sulbactam sodium 45/22.4 mg/ml
injectable Gallium nitrate 1 mg/ml
Chlorure de sodium 0,9% 91
Compatible
injectable Ampicillin sodium - sulbactam sodium 20/10 mg/ml
injectable Gemcitabine hydrochloride 10 mg/ml
Chlorure de sodium 0,9% 1423
Incompatibilité non précisée Incompatible
injectable Ampicillin sodium - sulbactam sodium
injectable Gentamicin sulfate
3520
Incompatibilité non précisée Incompatible
injectable Ampicillin sodium - sulbactam sodium
injectable Gentamicin sulfate
3643
Compatible
injectable Ampicillin sodium - sulbactam sodium 20/10 mg/ml
injectable Granisetron hydrochloride 0.05 mg/ml
Chlorure de sodium 0,9% 182
Compatible
injectable Ampicillin sodium - sulbactam sodium 30 mg/ml
injectable Heparin sodium 50 UI/ml
Aucun 317
Compatible
injectable Ampicillin sodium - sulbactam sodium 20/10 mg/ml
injectable Hetastarch 60 mg/ml
Solvant spécifique 1721
Turbidité immédiate Incompatible
injectable Ampicillin sodium - sulbactam sodium 30 mg/ml
injectable Idarubicin hydrochloride 1 mg/ml
Chlorure de sodium 0,9% 491
Compatible
injectable Ampicillin sodium - sulbactam sodium 30 mg/ml
injectable Insulin 0.2 UI/ml
Chlorure de sodium 0,9% 129
Turbidité immédiate Incompatible
injectable Ampicillin sodium - sulbactam sodium 20/10 mg/ml
injectable Isavuconazonium sulfate 1.5 mg/ml
Chlorure de sodium 0,9% 3829
Compatible
injectable Ampicillin sodium - sulbactam sodium
Chlorure de sodium 0,9% 5067
Turbidité immédiate Incompatible
injectable Ampicillin sodium - sulbactam sodium 20/10 mg/ml
injectable Isavuconazonium sulfate 1.5 mg/ml
Glucose 5% 3829
Compatible
injectable Ampicillin sodium - sulbactam sodium 20/10 mg/ml
injectable Ketoprofene 3.2 mg/ml
Chlorure de sodium 0,9% 1847
Précipitation immédiate Incompatible
injectable Ampicillin sodium - sulbactam sodium 20/10 mg/ml
injectable Lansoprazole 0.55 mg/ml
Chlorure de sodium 0,9% 1625
Compatible
injectable Ampicillin sodium - sulbactam sodium 20/10 mg/ml
injectable Linezolid 2 mg/ml
Aucun 1925
Compatible
injectable Ampicillin sodium - sulbactam sodium 30 mg/ml
injectable Morphine sulfate 1 mg/ml
Chlorure de sodium 0,9% 406
Turbidité immédiate Incompatible
injectable Ampicillin sodium - sulbactam sodium 15 mg/ml
injectable Nicardipine hydrochloride 0.1 mg/ml
Chlorure de sodium 0,9% 1490
Turbidité immédiate Incompatible
injectable Ampicillin sodium - sulbactam sodium 15 mg/ml
injectable Nicardipine hydrochloride 0.1 mg/ml
Glucose 5% 1490
Précipitation immédiate Incompatible
injectable Ampicillin sodium - sulbactam sodium 20/10 mg/ml
injectable Ondansetron hydrochloride 1 mg/ml
Chlorure de sodium 0,9% 334
Compatible
injectable Ampicillin sodium - sulbactam sodium 20/10 mg/ml
injectable Paclitaxel 1.2 mg/ml
Glucose 5% 248
Compatible
injectable Ampicillin sodium - sulbactam sodium 20/10 mg/ml
injectable Palonosetron hydrochloride 50 µg/ml
Chlorure de sodium 0,9% 2214
Compatible
injectable Ampicillin sodium - sulbactam sodium 20/10 mg/ml
injectable Pemetrexed disodium 20 mg/ml
Chlorure de sodium 0,9% 1953
Compatible
injectable Ampicillin sodium - sulbactam sodium 30 mg/ml
injectable Pethidine hydrochloride 10 mg/ml
Chlorure de sodium 0,9% 406
Compatible
injectable Ampicillin sodium - sulbactam sodium 20/10 mg/ml
injectable Plazomicin sulfate 24 mg/ml
Chlorure de sodium 0,9% 4145
Compatible
injectable Ampicillin sodium - sulbactam sodium 20/10 mg/ml
injectable Remifentanil hydrochloride 25 & 250 µg/ml
Chlorure de sodium 0,9% 59
Précipitation en 4 heures Incompatible
injectable Ampicillin sodium - sulbactam sodium 20/10 mg/ml
injectable Sargramostim 10 µg/ml
Chlorure de sodium 0,9% 335
Compatible
injectable Ampicillin sodium - sulbactam sodium 200 mg/ml
injectable Sugammadex 100 mg/ml
Aucun 3372
Compatible
injectable Ampicillin sodium - sulbactam sodium 50 mg/ml
injectable Tacrolimus 1000 µg/ml
Chlorure de sodium 0,9% 479
Compatible
injectable Ampicillin sodium - sulbactam sodium 20/10 mg/ml
injectable Tedizolid phosphate 0.8 mg/ml
Chlorure de sodium 0,9% 3827
Compatible
injectable Ampicillin sodium - sulbactam sodium 20/10 mg/ml
injectable Telavancin hydrochloride 7.5 mg/ml
Glucose 5% 3254
Compatible
injectable Ampicillin sodium - sulbactam sodium 20/10 mg/ml
injectable Telavancin hydrochloride 7.5 mg/ml
Chlorure de sodium 0,9% 3254
Compatible
injectable Ampicillin sodium - sulbactam sodium 20/10 mg/ml
injectable Telavancin hydrochloride 7.5 mg/ml
Ringer lactate 3254
Compatible
injectable Ampicillin sodium - sulbactam sodium 20/10 mg/ml
injectable Teniposide 0.1 mg/ml
Glucose 5% 905
Compatible
injectable Ampicillin sodium - sulbactam sodium 30 mg/ml
injectable Theophylline 4 mg/ml
Aucun 317
Compatible
injectable Ampicillin sodium - sulbactam sodium 20/10 mg/ml
injectable Thiotepa 1 mg/ml
Glucose 5% 249
Compatible
injectable Ampicillin sodium - sulbactam sodium 10/20 mg/ml
injectable Tramadol hydrochloride 0,4 mg/ml
Chlorure de sodium 0,9% 2002
Compatible
injectable Ampicillin sodium - sulbactam sodium 1/0.5 >> 250/125 mg/ml
injectable Vancomycin hydrochloride 2 mg/ml
Glucose 5% 1674
Compatible
injectable Ampicillin sodium - sulbactam sodium 1/0.5 >> 50/25 mg/ml
injectable Vancomycin hydrochloride 20 mg/ml
Glucose 5% 1674
Précipitation immédiate Incompatible
injectable Ampicillin sodium - sulbactam sodium 250-125 mg/ml
injectable Vancomycin hydrochloride 20 mg/ml
Glucose 5% 1674

  Mentions Légales