最新更新 :
27/04/2026
抗菌薬   Ampicillin sodium - sulbactam sodium  
注射薬
溶媒内の安定性 混合時の安定性 安定性に影響する因子 互換性 投与経路 引用文献 PDF
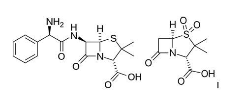
   化学構造  

商品名   商品名     

商品名、賦形剤は国、製薬会社ごとに異なることがあります

Alfasid トルコ
Ampibac コロンビア
Ampibactam ベネズエラ
Ampicillin sulbactam アーストラリア
Ampicillina sodica - sulbactam エクアドル, ブラジル
Ampictam エジプト
Ampiplus サウジアラビア, ルーマニア
Ampisid トルコ
Ampixim ベネズエラ
Bacimex スペイン
Begalin ギリシア
Bethacil イタリア
Cinclox インド
Combicid トルコ
Darzitil アルゼンチン
Duobaktam トルコ
Duocid トルコ
Galotam スペイン
Libractam チリ
Loricin イタリア
Prixin アルゼンチン
Ranpisul メキシコ
Retarpen スペイン
Sabect エジプト
Sulamp コロンビア
Sulbacter ベネズエラ
Sulbaksit トルコ
Sulbin エジプト
Sulcid トルコ
Sumitan コロンビア, ベネズエラ
Synerpen エジプト
Ultracillin エジプト
Unacid ドイツ
Unacim フランス
Unasyn アメリカ, イタリア, エクアドル, エジプト, オーストリア, コロンビア, サウジアラビア, スペイン, チリ, ドイツ, ハンガリー, ブラジル, ペルー, ポーランド, マレーシア, メキシコ, モロッコ, 日本
Unictam エジプト
Xilbac ペルー
互換性   注射薬   互換性 : Ampicillin sodium - sulbactam sodium              
This screen indicates the compatibilities or incompatibilities with, in this case, the type of incompatibility (precipitation, color change, modification of an emulsion, etc.). The compatibilities shown here are mostly physical only, with the chemical stability of each molecule rarely being assessed. The evaluation of these mixtures was studied to consider the possibility of Y-site administration to the patient. These data cannot be used for making mixtures in advance in bags or syringes. This type of information is available in the screen "Stability in mixture ».
化合物 溶媒 引用文献
対応
注射薬 Ampicillin sodium - sulbactam sodium 20/10 mg/ml
注射薬 Amifostine 10 mg/ml
グルコース5% 3
化学的不安定性 非互換
注射薬 Ampicillin sodium - sulbactam sodium
注射薬 Amikacin sulfate
3549
即時降水 非互換
注射薬 Ampicillin sodium - sulbactam sodium 30 mg/ml
注射薬 Amiodarone hydrochloride 6 mg/ml
NaCl 0,9% 1611
即時降水 非互換
注射薬 Ampicillin sodium - sulbactam sodium 30 mg/ml
注射薬 Amiodarone hydrochloride 6 mg/ml
グルコース5% 1611
即時降水 非互換
注射薬 Ampicillin sodium - sulbactam sodium 20/10 mg/ml
注射薬 Amphotericin B cholesteryl sulfate complex 0.83 mg/ml
グルコース5% 921
対応
注射薬 Ampicillin sodium - sulbactam sodium 20/10 mg/ml
注射薬 Anidulafungin 0.5 mg/ml
グルコース5% 1982
対応
注射薬 Ampicillin sodium - sulbactam sodium 20/10 mg/ml
注射薬 Aztreonam 40 mg/ml
グルコース5% 99
対応
注射薬 Ampicillin sodium - sulbactam sodium 20/10 mg/ml
注射薬 Bivalirudin 5 mg/ml
グルコース5% 1713
対応
注射薬 Ampicillin sodium - sulbactam sodium 20/10 mg/ml
注射薬 Ceftolozane / tazobactam 10/5 mg/ml
NaCl 0,9% 3828
対応
注射薬 Ampicillin sodium - sulbactam sodium 20/10 mg/ml
注射薬 Ceftolozane / tazobactam 10/5 mg/ml
グルコース5% 3828
即時降水 非互換
注射薬 Ampicillin sodium - sulbactam sodium
注射薬 Ciprofloxacin lactate
グルコース5% 1500
即時降水 非互換
注射薬 Ampicillin sodium - sulbactam sodium 30 mg/ml
注射薬 Ciprofloxacin lactate 2 mg/ml
グルコース5% 285
即時降水 非互換
注射薬 Ampicillin sodium - sulbactam sodium
注射薬 Ciprofloxacin lactate
NaCl 0,9% 1500
不特定の非互換性 非互換
注射薬 Ampicillin sodium - sulbactam sodium
注射薬 Ciprofloxacin lactate
3529
すぐに濁り 非互換
注射薬 Ampicillin sodium - sulbactam sodium 20/10 mg/ml
注射薬 Cisatracurium besylate 5 mg/ml
グルコース5% 299
対応
注射薬 Ampicillin sodium - sulbactam sodium 20/10 mg/ml
注射薬 Dexmedetomidine 4 µg/ml
NaCl 0,9% 1712
対応
注射薬 Ampicillin sodium - sulbactam sodium 20/10 mg/ml
注射薬 Docetaxel 0.9 mg/ml
グルコース5% 1754
不特定の非互換性 非互換
注射薬 Ampicillin sodium - sulbactam sodium
非経口的栄養(二元混合物) 5067
対応
注射薬 Ampicillin sodium - sulbactam sodium 20/10 mg/ml
非経口的栄養(二元混合物) 301
不特定の非互換性 非互換
注射薬 Ampicillin sodium - sulbactam sodium
非経口的栄養(脂肪含む) 5067
対応
注射薬 Ampicillin sodium - sulbactam sodium 20/10 mg/ml
注射薬 Cisatracurium besylate 0.1 & 2 mg/ml
グルコース5% 299
すぐに濁り 非互換
注射薬 Ampicillin sodium - sulbactam sodium 20/10 mg/ml
注射薬 Cisatracurium besylate 5 mg/ml
NaCl 0,9% 299
対応
注射薬 Ampicillin sodium - sulbactam sodium 2 & 15 mg/ml
注射薬 Diltiazem hydrochloride 5 mg/ml
NaCl 0,9% 198
対応
注射薬 Ampicillin sodium - sulbactam sodium 45 mg/ml
注射薬 Diltiazem hydrochloride 1 mg/ml
NaCl 0,9% 198
対応
注射薬 Ampicillin sodium - sulbactam sodium 20 mg/ml
非経口的栄養(脂肪含む) 4507
すぐに濁り 非互換
注射薬 Ampicillin sodium - sulbactam sodium 45 mg/ml
注射薬 Diltiazem hydrochloride 5 mg/ml
NaCl 0,9% 198
対応
注射薬 Ampicillin sodium - sulbactam sodium 15 mg/ml
注射薬 Enalaprilate 0.05 mg/ml
NaCl 0,9% 1315
対応
注射薬 Ampicillin sodium - sulbactam sodium 20/10 mg/ml
非経口的栄養(脂肪含む) 1415
不特定の非互換性 非互換
注射薬 Ampicillin sodium - sulbactam sodium
注射薬 Erythromycin lactobionate
3674
対応
注射薬 Ampicillin sodium - sulbactam sodium 30 mg/ml
注射薬 Famotidine
グルコース5% 397
対応
注射薬 Ampicillin sodium - sulbactam sodium 60 mg/ml
注射薬 Fluconazole 2 mg/ml
NaCl 0,9% 496
対応
注射薬 Ampicillin sodium - sulbactam sodium 15 mg/ml
非経口的栄養(脂肪含む) 4440
対応
注射薬 Ampicillin sodium - sulbactam sodium 20/10 mg/ml
注射薬 Etoposide phosphate 5 mg/ml
グルコース5% 1410
対応
注射薬 Ampicillin sodium - sulbactam sodium 20/10 mg/ml
注射薬 Fenoldopam mesylate 80 µg/ml
NaCl 0,9% 1803
対応
注射薬 Ampicillin sodium - sulbactam sodium 20/10 mg/ml
注射薬 Filgrastim 30 µg/ml
グルコース5% 244
対応
注射薬 Ampicillin sodium - sulbactam sodium 20/10 mg/ml
注射薬 Fludarabine phosphate 1 mg/ml
グルコース5% 492
対応
注射薬 Ampicillin sodium - sulbactam sodium 20/10 mg/ml
注射薬 Fosfomycin 30 mg/ml
グルコース5% 4055
対応
注射薬 Ampicillin sodium - sulbactam sodium 20/10 mg/ml
注射薬 Fosfomycin 30 mg/ml
NaCl 0,9% 4055
対応
注射薬 Ampicillin sodium - sulbactam sodium 45/22.4 mg/ml
注射薬 Gallium nitrate 1 mg/ml
NaCl 0,9% 91
対応
注射薬 Ampicillin sodium - sulbactam sodium 20/10 mg/ml
注射薬 Gemcitabine hydrochloride 10 mg/ml
NaCl 0,9% 1423
不特定の非互換性 非互換
注射薬 Ampicillin sodium - sulbactam sodium
注射薬 Gentamicin sulfate
3520
不特定の非互換性 非互換
注射薬 Ampicillin sodium - sulbactam sodium
注射薬 Gentamicin sulfate
3643
対応
注射薬 Ampicillin sodium - sulbactam sodium 20/10 mg/ml
注射薬 Granisetron hydrochloride 0.05 mg/ml
NaCl 0,9% 182
対応
注射薬 Ampicillin sodium - sulbactam sodium 30 mg/ml
注射薬 Heparin sodium 50 UI/ml
なし 317
対応
注射薬 Ampicillin sodium - sulbactam sodium 20/10 mg/ml
注射薬 Hetastarch 60 mg/ml
特定の溶媒 1721
すぐに濁り 非互換
注射薬 Ampicillin sodium - sulbactam sodium 30 mg/ml
注射薬 Idarubicin hydrochloride 1 mg/ml
NaCl 0,9% 491
対応
注射薬 Ampicillin sodium - sulbactam sodium 30 mg/ml
注射薬 Insulin 0.2 UI/ml
NaCl 0,9% 129
すぐに濁り 非互換
注射薬 Ampicillin sodium - sulbactam sodium 20/10 mg/ml
注射薬 Isavuconazonium sulfate 1.5 mg/ml
NaCl 0,9% 3829
対応
注射薬 Ampicillin sodium - sulbactam sodium
NaCl 0,9% 5067
すぐに濁り 非互換
注射薬 Ampicillin sodium - sulbactam sodium 20/10 mg/ml
注射薬 Isavuconazonium sulfate 1.5 mg/ml
グルコース5% 3829
対応
注射薬 Ampicillin sodium - sulbactam sodium 20/10 mg/ml
注射薬 Ketoprofene 3.2 mg/ml
NaCl 0,9% 1847
即時降水 非互換
注射薬 Ampicillin sodium - sulbactam sodium 20/10 mg/ml
注射薬 Lansoprazole 0.55 mg/ml
NaCl 0,9% 1625
対応
注射薬 Ampicillin sodium - sulbactam sodium 20/10 mg/ml
注射薬 Linezolid 2 mg/ml
なし 1925
対応
注射薬 Ampicillin sodium - sulbactam sodium 30 mg/ml
注射薬 Morphine sulfate 1 mg/ml
NaCl 0,9% 406
すぐに濁り 非互換
注射薬 Ampicillin sodium - sulbactam sodium 15 mg/ml
注射薬 Nicardipine hydrochloride 0.1 mg/ml
NaCl 0,9% 1490
すぐに濁り 非互換
注射薬 Ampicillin sodium - sulbactam sodium 15 mg/ml
注射薬 Nicardipine hydrochloride 0.1 mg/ml
グルコース5% 1490
即時降水 非互換
注射薬 Ampicillin sodium - sulbactam sodium 20/10 mg/ml
注射薬 Ondansetron hydrochloride 1 mg/ml
NaCl 0,9% 334
対応
注射薬 Ampicillin sodium - sulbactam sodium 20/10 mg/ml
注射薬 Paclitaxel 1.2 mg/ml
グルコース5% 248
対応
注射薬 Ampicillin sodium - sulbactam sodium 20/10 mg/ml
注射薬 Palonosetron hydrochloride 50 µg/ml
NaCl 0,9% 2214
対応
注射薬 Ampicillin sodium - sulbactam sodium 20/10 mg/ml
注射薬 Pemetrexed disodium 20 mg/ml
NaCl 0,9% 1953
対応
注射薬 Ampicillin sodium - sulbactam sodium 30 mg/ml
注射薬 Pethidine hydrochloride 10 mg/ml
NaCl 0,9% 406
対応
注射薬 Ampicillin sodium - sulbactam sodium 20/10 mg/ml
注射薬 Plazomicin sulfate 24 mg/ml
NaCl 0,9% 4145
対応
注射薬 Ampicillin sodium - sulbactam sodium 20/10 mg/ml
注射薬 Remifentanil hydrochloride 25 & 250 µg/ml
NaCl 0,9% 59
4時間後の降水 非互換
注射薬 Ampicillin sodium - sulbactam sodium 20/10 mg/ml
注射薬 Sargramostim 10 µg/ml
NaCl 0,9% 335
対応
注射薬 Ampicillin sodium - sulbactam sodium 200 mg/ml
注射薬 Sugammadex 100 mg/ml
なし 3372
対応
注射薬 Ampicillin sodium - sulbactam sodium 50 mg/ml
注射薬 Tacrolimus 1000 µg/ml
NaCl 0,9% 479
対応
注射薬 Ampicillin sodium - sulbactam sodium 20/10 mg/ml
注射薬 Tedizolid phosphate 0.8 mg/ml
NaCl 0,9% 3827
対応
注射薬 Ampicillin sodium - sulbactam sodium 20/10 mg/ml
注射薬 Telavancin hydrochloride 7.5 mg/ml
グルコース5% 3254
対応
注射薬 Ampicillin sodium - sulbactam sodium 20/10 mg/ml
注射薬 Telavancin hydrochloride 7.5 mg/ml
NaCl 0,9% 3254
対応
注射薬 Ampicillin sodium - sulbactam sodium 20/10 mg/ml
注射薬 Telavancin hydrochloride 7.5 mg/ml
乳酸リンゲル 3254
対応
注射薬 Ampicillin sodium - sulbactam sodium 20/10 mg/ml
注射薬 Teniposide 0.1 mg/ml
グルコース5% 905
対応
注射薬 Ampicillin sodium - sulbactam sodium 30 mg/ml
注射薬 Theophylline 4 mg/ml
なし 317
対応
注射薬 Ampicillin sodium - sulbactam sodium 20/10 mg/ml
注射薬 Thiotepa 1 mg/ml
グルコース5% 249
対応
注射薬 Ampicillin sodium - sulbactam sodium 10/20 mg/ml
注射薬 Tramadol hydrochloride 0,4 mg/ml
NaCl 0,9% 2002
対応
注射薬 Ampicillin sodium - sulbactam sodium 1/0.5 >> 250/125 mg/ml
注射薬 Vancomycin hydrochloride 2 mg/ml
グルコース5% 1674
対応
注射薬 Ampicillin sodium - sulbactam sodium 1/0.5 >> 50/25 mg/ml
注射薬 Vancomycin hydrochloride 20 mg/ml
グルコース5% 1674
即時降水 非互換
注射薬 Ampicillin sodium - sulbactam sodium 250-125 mg/ml
注射薬 Vancomycin hydrochloride 20 mg/ml
グルコース5% 1674

  Mentions Légales