Última actualização :
27/04/2026
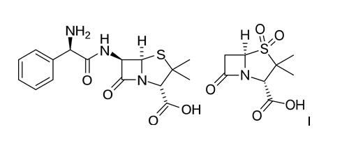
antibiótico   Ampicillin sodium - sulbactam sodium  
injetável
Estabilidade em soluções simples Estabilidade em misturas Factores que afectam a sua estabilidade Compatibilidade Método de administração Bibliografía pdf
   estrutura química  

Nomes comerciais nos diversos países   Nomes comerciais nos diversos países     

OS NOMES COMERCIAIS SÃO INDICATIVOS E OS EXCIPIENTES DA FORMULAÇÃO PODEM SER DIFERENTES CONFORME O PAÍS E FABRICANTE.

Alfasid Turquia
Ampibac Colômbia
Ampibactam Venezuela
Ampicillin sulbactam Australia
Ampicillina sodica - sulbactam Brasil, Equator
Ampictam Egipto
Ampiplus Arábia Saudita, Romènia
Ampisid Turquia
Ampixim Venezuela
Bacimex Espanha
Begalin Grècia
Bethacil Itália
Cinclox Índia
Combicid Turquia
Darzitil Argentina
Duobaktam Turquia
Duocid Turquia
Galotam Espanha
Libractam Chilli
Loricin Itália
Prixin Argentina
Ranpisul México
Retarpen Espanha
Sabect Egipto
Sulamp Colômbia
Sulbacter Venezuela
Sulbaksit Turquia
Sulbin Egipto
Sulcid Turquia
Sumitan Colômbia, Venezuela
Synerpen Egipto
Ultracillin Egipto
Unacid Alemanha
Unacim França
Unasyn Alemanha, Arábia Saudita, Austria, Brasil, Chilli, Colômbia, Egipto, Equator, Espanha, Estados Unidos de América, Hungria, Itália, Japón, Malásia, Marrocos, México, Peru, Polonia
Unictam Egipto
Xilbac Peru
Compatibilidade   injetável   Compatibilidade : Ampicillin sodium - sulbactam sodium              
Este ecrã indica as compatibilidades ou incompatibilidades com, neste caso, o tipo de incompatibilidade (precipitação, mudança de cor, modificação de uma emulsão, etc.). As compatibilidades mostradas aqui são principalmente físicas, com a estabilidade química de cada molécula raramente sendo avaliada. A avaliação dessas misturas foi estudada para considerar a possibilidade de administração do local Y ao paciente. Estes dados não podem ser usados para fazer misturas antecipadamente em sacos ou seringas. Este tipo de informação está disponível na tela “Estabilidade na mistura».
molécula Solvente Bibliografia
Compatível
injetável Ampicillin sodium - sulbactam sodium 20/10 mg/ml
injetável Amifostine 10 mg/ml
Glucose 5% 3
Instabilidade química Incompatível
injetável Ampicillin sodium - sulbactam sodium
injetável Amikacin sulfate
3549
Precipitação imediata Incompatível
injetável Ampicillin sodium - sulbactam sodium 30 mg/ml
injetável Amiodarone hydrochloride 6 mg/ml
cloreto de sódio 0,9% 1611
Precipitação imediata Incompatível
injetável Ampicillin sodium - sulbactam sodium 30 mg/ml
injetável Amiodarone hydrochloride 6 mg/ml
Glucose 5% 1611
Precipitação imediata Incompatível
injetável Ampicillin sodium - sulbactam sodium 20/10 mg/ml
injetável Amphotericin B cholesteryl sulfate complex 0.83 mg/ml
Glucose 5% 921
Compatível
injetável Ampicillin sodium - sulbactam sodium 20/10 mg/ml
injetável Anidulafungin 0.5 mg/ml
Glucose 5% 1982
Compatível
injetável Ampicillin sodium - sulbactam sodium 20/10 mg/ml
injetável Aztreonam 40 mg/ml
Glucose 5% 99
Compatível
injetável Ampicillin sodium - sulbactam sodium 20/10 mg/ml
injetável Bivalirudin 5 mg/ml
Glucose 5% 1713
Compatível
injetável Ampicillin sodium - sulbactam sodium 20/10 mg/ml
injetável Ceftolozane / tazobactam 10/5 mg/ml
cloreto de sódio 0,9% 3828
Compatível
injetável Ampicillin sodium - sulbactam sodium 20/10 mg/ml
injetável Ceftolozane / tazobactam 10/5 mg/ml
Glucose 5% 3828
Precipitação imediata Incompatível
injetável Ampicillin sodium - sulbactam sodium
injetável Ciprofloxacin lactate
Glucose 5% 1500
Precipitação imediata Incompatível
injetável Ampicillin sodium - sulbactam sodium 30 mg/ml
injetável Ciprofloxacin lactate 2 mg/ml
Glucose 5% 285
Precipitação imediata Incompatível
injetável Ampicillin sodium - sulbactam sodium
injetável Ciprofloxacin lactate
cloreto de sódio 0,9% 1500
Incompatibilidade não especificada Incompatível
injetável Ampicillin sodium - sulbactam sodium
injetável Ciprofloxacin lactate
3529
Turvação imediata Incompatível
injetável Ampicillin sodium - sulbactam sodium 20/10 mg/ml
injetável Cisatracurium besylate 5 mg/ml
Glucose 5% 299
Compatível
injetável Ampicillin sodium - sulbactam sodium 20/10 mg/ml
injetável Dexmedetomidine 4 µg/ml
cloreto de sódio 0,9% 1712
Compatível
injetável Ampicillin sodium - sulbactam sodium 20/10 mg/ml
injetável Docetaxel 0.9 mg/ml
Glucose 5% 1754
Incompatibilidade não especificada Incompatível
injetável Ampicillin sodium - sulbactam sodium
Nutrição parenterica (mistura binária) 5067
Compatível
injetável Ampicillin sodium - sulbactam sodium 20/10 mg/ml
Nutrição parenterica (mistura binária) 301
Incompatibilidade não especificada Incompatível
injetável Ampicillin sodium - sulbactam sodium
Nutrição parenteral (com lípidos) 5067
Compatível
injetável Ampicillin sodium - sulbactam sodium 20/10 mg/ml
injetável Cisatracurium besylate 0.1 & 2 mg/ml
Glucose 5% 299
Turvação imediata Incompatível
injetável Ampicillin sodium - sulbactam sodium 20/10 mg/ml
injetável Cisatracurium besylate 5 mg/ml
cloreto de sódio 0,9% 299
Compatível
injetável Ampicillin sodium - sulbactam sodium 2 & 15 mg/ml
injetável Diltiazem hydrochloride 5 mg/ml
cloreto de sódio 0,9% 198
Compatível
injetável Ampicillin sodium - sulbactam sodium 45 mg/ml
injetável Diltiazem hydrochloride 1 mg/ml
cloreto de sódio 0,9% 198
Compatível
injetável Ampicillin sodium - sulbactam sodium 20 mg/ml
Nutrição parenteral (com lípidos) 4507
Turvação imediata Incompatível
injetável Ampicillin sodium - sulbactam sodium 45 mg/ml
injetável Diltiazem hydrochloride 5 mg/ml
cloreto de sódio 0,9% 198
Compatível
injetável Ampicillin sodium - sulbactam sodium 15 mg/ml
injetável Enalaprilate 0.05 mg/ml
cloreto de sódio 0,9% 1315
Compatível
injetável Ampicillin sodium - sulbactam sodium 20/10 mg/ml
Nutrição parenteral (com lípidos) 1415
Incompatibilidade não especificada Incompatível
injetável Ampicillin sodium - sulbactam sodium
injetável Erythromycin lactobionate
3674
Compatível
injetável Ampicillin sodium - sulbactam sodium 30 mg/ml
injetável Famotidine
Glucose 5% 397
Compatível
injetável Ampicillin sodium - sulbactam sodium 60 mg/ml
injetável Fluconazole 2 mg/ml
cloreto de sódio 0,9% 496
Compatível
injetável Ampicillin sodium - sulbactam sodium 15 mg/ml
Nutrição parenteral (com lípidos) 4440
Compatível
injetável Ampicillin sodium - sulbactam sodium 20/10 mg/ml
injetável Etoposide phosphate 5 mg/ml
Glucose 5% 1410
Compatível
injetável Ampicillin sodium - sulbactam sodium 20/10 mg/ml
injetável Fenoldopam mesylate 80 µg/ml
cloreto de sódio 0,9% 1803
Compatível
injetável Ampicillin sodium - sulbactam sodium 20/10 mg/ml
injetável Filgrastim 30 µg/ml
Glucose 5% 244
Compatível
injetável Ampicillin sodium - sulbactam sodium 20/10 mg/ml
injetável Fludarabine phosphate 1 mg/ml
Glucose 5% 492
Compatível
injetável Ampicillin sodium - sulbactam sodium 20/10 mg/ml
injetável Fosfomycin 30 mg/ml
Glucose 5% 4055
Compatível
injetável Ampicillin sodium - sulbactam sodium 20/10 mg/ml
injetável Fosfomycin 30 mg/ml
cloreto de sódio 0,9% 4055
Compatível
injetável Ampicillin sodium - sulbactam sodium 45/22.4 mg/ml
injetável Gallium nitrate 1 mg/ml
cloreto de sódio 0,9% 91
Compatível
injetável Ampicillin sodium - sulbactam sodium 20/10 mg/ml
injetável Gemcitabine hydrochloride 10 mg/ml
cloreto de sódio 0,9% 1423
Incompatibilidade não especificada Incompatível
injetável Ampicillin sodium - sulbactam sodium
injetável Gentamicin sulfate
3520
Incompatibilidade não especificada Incompatível
injetável Ampicillin sodium - sulbactam sodium
injetável Gentamicin sulfate
3643
Compatível
injetável Ampicillin sodium - sulbactam sodium 20/10 mg/ml
injetável Granisetron hydrochloride 0.05 mg/ml
cloreto de sódio 0,9% 182
Compatível
injetável Ampicillin sodium - sulbactam sodium 30 mg/ml
injetável Heparin sodium 50 UI/ml
nenhum 317
Compatível
injetável Ampicillin sodium - sulbactam sodium 20/10 mg/ml
injetável Hetastarch 60 mg/ml
solvente específico 1721
Turvação imediata Incompatível
injetável Ampicillin sodium - sulbactam sodium 30 mg/ml
injetável Idarubicin hydrochloride 1 mg/ml
cloreto de sódio 0,9% 491
Compatível
injetável Ampicillin sodium - sulbactam sodium 30 mg/ml
injetável Insulin 0.2 UI/ml
cloreto de sódio 0,9% 129
Turvação imediata Incompatível
injetável Ampicillin sodium - sulbactam sodium 20/10 mg/ml
injetável Isavuconazonium sulfate 1.5 mg/ml
cloreto de sódio 0,9% 3829
Compatível
injetável Ampicillin sodium - sulbactam sodium
cloreto de sódio 0,9% 5067
Turvação imediata Incompatível
injetável Ampicillin sodium - sulbactam sodium 20/10 mg/ml
injetável Isavuconazonium sulfate 1.5 mg/ml
Glucose 5% 3829
Compatível
injetável Ampicillin sodium - sulbactam sodium 20/10 mg/ml
injetável Ketoprofene 3.2 mg/ml
cloreto de sódio 0,9% 1847
Precipitação imediata Incompatível
injetável Ampicillin sodium - sulbactam sodium 20/10 mg/ml
injetável Lansoprazole 0.55 mg/ml
cloreto de sódio 0,9% 1625
Compatível
injetável Ampicillin sodium - sulbactam sodium 20/10 mg/ml
injetável Linezolid 2 mg/ml
nenhum 1925
Compatível
injetável Ampicillin sodium - sulbactam sodium 30 mg/ml
injetável Morphine sulfate 1 mg/ml
cloreto de sódio 0,9% 406
Turvação imediata Incompatível
injetável Ampicillin sodium - sulbactam sodium 15 mg/ml
injetável Nicardipine hydrochloride 0.1 mg/ml
cloreto de sódio 0,9% 1490
Turvação imediata Incompatível
injetável Ampicillin sodium - sulbactam sodium 15 mg/ml
injetável Nicardipine hydrochloride 0.1 mg/ml
Glucose 5% 1490
Precipitação imediata Incompatível
injetável Ampicillin sodium - sulbactam sodium 20/10 mg/ml
injetável Ondansetron hydrochloride 1 mg/ml
cloreto de sódio 0,9% 334
Compatível
injetável Ampicillin sodium - sulbactam sodium 20/10 mg/ml
injetável Paclitaxel 1.2 mg/ml
Glucose 5% 248
Compatível
injetável Ampicillin sodium - sulbactam sodium 20/10 mg/ml
injetável Palonosetron hydrochloride 50 µg/ml
cloreto de sódio 0,9% 2214
Compatível
injetável Ampicillin sodium - sulbactam sodium 20/10 mg/ml
injetável Pemetrexed disodium 20 mg/ml
cloreto de sódio 0,9% 1953
Compatível
injetável Ampicillin sodium - sulbactam sodium 30 mg/ml
injetável Pethidine hydrochloride 10 mg/ml
cloreto de sódio 0,9% 406
Compatível
injetável Ampicillin sodium - sulbactam sodium 20/10 mg/ml
injetável Plazomicin sulfate 24 mg/ml
cloreto de sódio 0,9% 4145
Compatível
injetável Ampicillin sodium - sulbactam sodium 20/10 mg/ml
injetável Remifentanil hydrochloride 25 & 250 µg/ml
cloreto de sódio 0,9% 59
Precipitação após 4 horas Incompatível
injetável Ampicillin sodium - sulbactam sodium 20/10 mg/ml
injetável Sargramostim 10 µg/ml
cloreto de sódio 0,9% 335
Compatível
injetável Ampicillin sodium - sulbactam sodium 200 mg/ml
injetável Sugammadex 100 mg/ml
nenhum 3372
Compatível
injetável Ampicillin sodium - sulbactam sodium 50 mg/ml
injetável Tacrolimus 1000 µg/ml
cloreto de sódio 0,9% 479
Compatível
injetável Ampicillin sodium - sulbactam sodium 20/10 mg/ml
injetável Tedizolid phosphate 0.8 mg/ml
cloreto de sódio 0,9% 3827
Compatível
injetável Ampicillin sodium - sulbactam sodium 20/10 mg/ml
injetável Telavancin hydrochloride 7.5 mg/ml
Glucose 5% 3254
Compatível
injetável Ampicillin sodium - sulbactam sodium 20/10 mg/ml
injetável Telavancin hydrochloride 7.5 mg/ml
cloreto de sódio 0,9% 3254
Compatível
injetável Ampicillin sodium - sulbactam sodium 20/10 mg/ml
injetável Telavancin hydrochloride 7.5 mg/ml
Ringer lactato 3254
Compatível
injetável Ampicillin sodium - sulbactam sodium 20/10 mg/ml
injetável Teniposide 0.1 mg/ml
Glucose 5% 905
Compatível
injetável Ampicillin sodium - sulbactam sodium 30 mg/ml
injetável Theophylline 4 mg/ml
nenhum 317
Compatível
injetável Ampicillin sodium - sulbactam sodium 20/10 mg/ml
injetável Thiotepa 1 mg/ml
Glucose 5% 249
Compatível
injetável Ampicillin sodium - sulbactam sodium 10/20 mg/ml
injetável Tramadol hydrochloride 0,4 mg/ml
cloreto de sódio 0,9% 2002
Compatível
injetável Ampicillin sodium - sulbactam sodium 1/0.5 >> 250/125 mg/ml
injetável Vancomycin hydrochloride 2 mg/ml
Glucose 5% 1674
Compatível
injetável Ampicillin sodium - sulbactam sodium 1/0.5 >> 50/25 mg/ml
injetável Vancomycin hydrochloride 20 mg/ml
Glucose 5% 1674
Precipitação imediata Incompatível
injetável Ampicillin sodium - sulbactam sodium 250-125 mg/ml
injetável Vancomycin hydrochloride 20 mg/ml
Glucose 5% 1674

  Mentions Légales