آخر تحديث :
27/04/2026
مضاد حيوي   Ampicillin sodium - sulbactam sodium  
حقن
الاستقرار في حلول استقرار مخاليط العوامل التي تؤثر على الاستقرار التوافق طريقة التعاطي مراجع pdf
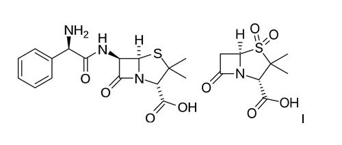
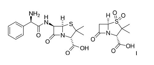
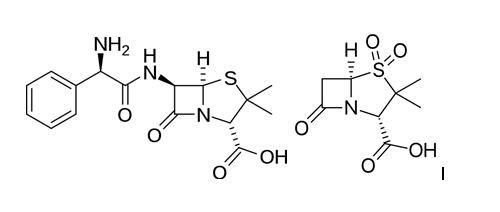
   التركيب الكيميائي  

حجز الاسم التجاري   حجز الاسم التجاري     

تحذير الأسماء التجاريه المختلفه قد تحتوي علي محتوي إضافات مختلفة حسب الدوله و المعمل

Alfasid تركيا
Ampibac كولومبيا
Ampibactam فنزويلا
Ampicillin sulbactam أستراليا
Ampicillina sodica - sulbactam الإكوادور, البرازيل
Ampictam مصر
Ampiplus العربية السعودية, رومانيا
Ampisid تركيا
Ampixim فنزويلا
Bacimex إسبانيا
Begalin يونان
Bethacil إيطاليا
Cinclox الهند
Combicid تركيا
Darzitil الأرجنتين
Duobaktam تركيا
Duocid تركيا
Galotam إسبانيا
Libractam تشيلي
Loricin إيطاليا
Prixin الأرجنتين
Ranpisul المكسيك
Retarpen إسبانيا
Sabect مصر
Sulamp كولومبيا
Sulbacter فنزويلا
Sulbaksit تركيا
Sulbin مصر
Sulcid تركيا
Sumitan فنزويلا, كولومبيا
Synerpen مصر
Ultracillin مصر
Unacid ألمانيا
Unacim فرنسا
Unasyn ألمانيا, إسبانيا, إيطاليا, الإكوادور, البرازيل, العربية السعودية, المغرب, المكسيك, النمسا, الولايات المتحدة, اليابان, بولندا, بيرو, تشيلي, كولومبيا, ماليزيا, مصر, هنغاريا
Unictam مصر
Xilbac بيرو
التوافق   حقن   التوافق : Ampicillin sodium - sulbactam sodium              
This screen indicates the compatibilities or incompatibilities with, in this case, the type of incompatibility (precipitation, color change, modification of an emulsion, etc.). The compatibilities shown here are mostly physical only, with the chemical stability of each molecule rarely being assessed. The evaluation of these mixtures was studied to consider the possibility of Y-site administration to the patient. These data cannot be used for making mixtures in advance in bags or syringes. This type of information is available in the screen "Stability in mixture ».
مركب مذيب مراجع
kompatibel
حقن Ampicillin sodium - sulbactam sodium 20/10 mg/ml
حقن Amifostine 10 mg/ml
الجلوكوز %5 3
عدم الاستقرار الكيميائي غير متوافق
حقن Ampicillin sodium - sulbactam sodium
حقن Amikacin sulfate
3549
هطول فوري غير متوافق
حقن Ampicillin sodium - sulbactam sodium 30 mg/ml
حقن Amiodarone hydrochloride 6 mg/ml
كلوريد الصوديوم 0.9% 1611
هطول فوري غير متوافق
حقن Ampicillin sodium - sulbactam sodium 30 mg/ml
حقن Amiodarone hydrochloride 6 mg/ml
الجلوكوز %5 1611
هطول فوري غير متوافق
حقن Ampicillin sodium - sulbactam sodium 20/10 mg/ml
حقن Amphotericin B cholesteryl sulfate complex 0.83 mg/ml
الجلوكوز %5 921
kompatibel
حقن Ampicillin sodium - sulbactam sodium 20/10 mg/ml
حقن Anidulafungin 0.5 mg/ml
الجلوكوز %5 1982
kompatibel
حقن Ampicillin sodium - sulbactam sodium 20/10 mg/ml
حقن Aztreonam 40 mg/ml
الجلوكوز %5 99
kompatibel
حقن Ampicillin sodium - sulbactam sodium 20/10 mg/ml
حقن Bivalirudin 5 mg/ml
الجلوكوز %5 1713
kompatibel
حقن Ampicillin sodium - sulbactam sodium 20/10 mg/ml
حقن Ceftolozane / tazobactam 10/5 mg/ml
كلوريد الصوديوم 0.9% 3828
kompatibel
حقن Ampicillin sodium - sulbactam sodium 20/10 mg/ml
حقن Ceftolozane / tazobactam 10/5 mg/ml
الجلوكوز %5 3828
هطول فوري غير متوافق
حقن Ampicillin sodium - sulbactam sodium
حقن Ciprofloxacin lactate
الجلوكوز %5 1500
هطول فوري غير متوافق
حقن Ampicillin sodium - sulbactam sodium 30 mg/ml
حقن Ciprofloxacin lactate 2 mg/ml
الجلوكوز %5 285
هطول فوري غير متوافق
حقن Ampicillin sodium - sulbactam sodium
حقن Ciprofloxacin lactate
كلوريد الصوديوم 0.9% 1500
عدم توافق غير محدد غير متوافق
حقن Ampicillin sodium - sulbactam sodium
حقن Ciprofloxacin lactate
3529
التعكر الفوري غير متوافق
حقن Ampicillin sodium - sulbactam sodium 20/10 mg/ml
حقن Cisatracurium besylate 5 mg/ml
الجلوكوز %5 299
kompatibel
حقن Ampicillin sodium - sulbactam sodium 20/10 mg/ml
حقن Dexmedetomidine 4 µg/ml
كلوريد الصوديوم 0.9% 1712
kompatibel
حقن Ampicillin sodium - sulbactam sodium 20/10 mg/ml
حقن Docetaxel 0.9 mg/ml
الجلوكوز %5 1754
عدم توافق غير محدد غير متوافق
حقن Ampicillin sodium - sulbactam sodium
 التغذية الوريدية (خالية من الدهن) 5067
kompatibel
حقن Ampicillin sodium - sulbactam sodium 20/10 mg/ml
 التغذية الوريدية (خالية من الدهن) 301
عدم توافق غير محدد غير متوافق
حقن Ampicillin sodium - sulbactam sodium
التغذية الوريدية (مع الدهون) 5067
kompatibel
حقن Ampicillin sodium - sulbactam sodium 20/10 mg/ml
حقن Cisatracurium besylate 0.1 & 2 mg/ml
الجلوكوز %5 299
التعكر الفوري غير متوافق
حقن Ampicillin sodium - sulbactam sodium 20/10 mg/ml
حقن Cisatracurium besylate 5 mg/ml
كلوريد الصوديوم 0.9% 299
kompatibel
حقن Ampicillin sodium - sulbactam sodium 2 & 15 mg/ml
حقن Diltiazem hydrochloride 5 mg/ml
كلوريد الصوديوم 0.9% 198
kompatibel
حقن Ampicillin sodium - sulbactam sodium 45 mg/ml
حقن Diltiazem hydrochloride 1 mg/ml
كلوريد الصوديوم 0.9% 198
kompatibel
حقن Ampicillin sodium - sulbactam sodium 20 mg/ml
التغذية الوريدية (مع الدهون) 4507
التعكر الفوري غير متوافق
حقن Ampicillin sodium - sulbactam sodium 45 mg/ml
حقن Diltiazem hydrochloride 5 mg/ml
كلوريد الصوديوم 0.9% 198
kompatibel
حقن Ampicillin sodium - sulbactam sodium 15 mg/ml
حقن Enalaprilate 0.05 mg/ml
كلوريد الصوديوم 0.9% 1315
kompatibel
حقن Ampicillin sodium - sulbactam sodium 20/10 mg/ml
التغذية الوريدية (مع الدهون) 1415
عدم توافق غير محدد غير متوافق
حقن Ampicillin sodium - sulbactam sodium
حقن Erythromycin lactobionate
3674
kompatibel
حقن Ampicillin sodium - sulbactam sodium 30 mg/ml
حقن Famotidine
الجلوكوز %5 397
kompatibel
حقن Ampicillin sodium - sulbactam sodium 60 mg/ml
حقن Fluconazole 2 mg/ml
كلوريد الصوديوم 0.9% 496
kompatibel
حقن Ampicillin sodium - sulbactam sodium 15 mg/ml
التغذية الوريدية (مع الدهون) 4440
kompatibel
حقن Ampicillin sodium - sulbactam sodium 20/10 mg/ml
حقن Etoposide phosphate 5 mg/ml
الجلوكوز %5 1410
kompatibel
حقن Ampicillin sodium - sulbactam sodium 20/10 mg/ml
حقن Fenoldopam mesylate 80 µg/ml
كلوريد الصوديوم 0.9% 1803
kompatibel
حقن Ampicillin sodium - sulbactam sodium 20/10 mg/ml
حقن Filgrastim 30 µg/ml
الجلوكوز %5 244
kompatibel
حقن Ampicillin sodium - sulbactam sodium 20/10 mg/ml
حقن Fludarabine phosphate 1 mg/ml
الجلوكوز %5 492
kompatibel
حقن Ampicillin sodium - sulbactam sodium 20/10 mg/ml
حقن Fosfomycin 30 mg/ml
الجلوكوز %5 4055
kompatibel
حقن Ampicillin sodium - sulbactam sodium 20/10 mg/ml
حقن Fosfomycin 30 mg/ml
كلوريد الصوديوم 0.9% 4055
kompatibel
حقن Ampicillin sodium - sulbactam sodium 45/22.4 mg/ml
حقن Gallium nitrate 1 mg/ml
كلوريد الصوديوم 0.9% 91
kompatibel
حقن Ampicillin sodium - sulbactam sodium 20/10 mg/ml
حقن Gemcitabine hydrochloride 10 mg/ml
كلوريد الصوديوم 0.9% 1423
عدم توافق غير محدد غير متوافق
حقن Ampicillin sodium - sulbactam sodium
حقن Gentamicin sulfate
3520
عدم توافق غير محدد غير متوافق
حقن Ampicillin sodium - sulbactam sodium
حقن Gentamicin sulfate
3643
kompatibel
حقن Ampicillin sodium - sulbactam sodium 20/10 mg/ml
حقن Granisetron hydrochloride 0.05 mg/ml
كلوريد الصوديوم 0.9% 182
kompatibel
حقن Ampicillin sodium - sulbactam sodium 30 mg/ml
حقن Heparin sodium 50 UI/ml
لا شيء 317
kompatibel
حقن Ampicillin sodium - sulbactam sodium 20/10 mg/ml
حقن Hetastarch 60 mg/ml
مذيب معين 1721
التعكر الفوري غير متوافق
حقن Ampicillin sodium - sulbactam sodium 30 mg/ml
حقن Idarubicin hydrochloride 1 mg/ml
كلوريد الصوديوم 0.9% 491
kompatibel
حقن Ampicillin sodium - sulbactam sodium 30 mg/ml
حقن Insulin 0.2 UI/ml
كلوريد الصوديوم 0.9% 129
التعكر الفوري غير متوافق
حقن Ampicillin sodium - sulbactam sodium 20/10 mg/ml
حقن Isavuconazonium sulfate 1.5 mg/ml
كلوريد الصوديوم 0.9% 3829
kompatibel
حقن Ampicillin sodium - sulbactam sodium
كلوريد الصوديوم 0.9% 5067
التعكر الفوري غير متوافق
حقن Ampicillin sodium - sulbactam sodium 20/10 mg/ml
حقن Isavuconazonium sulfate 1.5 mg/ml
الجلوكوز %5 3829
kompatibel
حقن Ampicillin sodium - sulbactam sodium 20/10 mg/ml
حقن Ketoprofene 3.2 mg/ml
كلوريد الصوديوم 0.9% 1847
هطول فوري غير متوافق
حقن Ampicillin sodium - sulbactam sodium 20/10 mg/ml
حقن Lansoprazole 0.55 mg/ml
كلوريد الصوديوم 0.9% 1625
kompatibel
حقن Ampicillin sodium - sulbactam sodium 20/10 mg/ml
حقن Linezolid 2 mg/ml
لا شيء 1925
kompatibel
حقن Ampicillin sodium - sulbactam sodium 30 mg/ml
حقن Morphine sulfate 1 mg/ml
كلوريد الصوديوم 0.9% 406
التعكر الفوري غير متوافق
حقن Ampicillin sodium - sulbactam sodium 15 mg/ml
حقن Nicardipine hydrochloride 0.1 mg/ml
كلوريد الصوديوم 0.9% 1490
التعكر الفوري غير متوافق
حقن Ampicillin sodium - sulbactam sodium 15 mg/ml
حقن Nicardipine hydrochloride 0.1 mg/ml
الجلوكوز %5 1490
هطول فوري غير متوافق
حقن Ampicillin sodium - sulbactam sodium 20/10 mg/ml
حقن Ondansetron hydrochloride 1 mg/ml
كلوريد الصوديوم 0.9% 334
kompatibel
حقن Ampicillin sodium - sulbactam sodium 20/10 mg/ml
حقن Paclitaxel 1.2 mg/ml
الجلوكوز %5 248
kompatibel
حقن Ampicillin sodium - sulbactam sodium 20/10 mg/ml
حقن Palonosetron hydrochloride 50 µg/ml
كلوريد الصوديوم 0.9% 2214
kompatibel
حقن Ampicillin sodium - sulbactam sodium 20/10 mg/ml
حقن Pemetrexed disodium 20 mg/ml
كلوريد الصوديوم 0.9% 1953
kompatibel
حقن Ampicillin sodium - sulbactam sodium 30 mg/ml
حقن Pethidine hydrochloride 10 mg/ml
كلوريد الصوديوم 0.9% 406
kompatibel
حقن Ampicillin sodium - sulbactam sodium 20/10 mg/ml
حقن Plazomicin sulfate 24 mg/ml
كلوريد الصوديوم 0.9% 4145
kompatibel
حقن Ampicillin sodium - sulbactam sodium 20/10 mg/ml
حقن Remifentanil hydrochloride 25 & 250 µg/ml
كلوريد الصوديوم 0.9% 59
هطول الأمطار بعد 4 ساعات غير متوافق
حقن Ampicillin sodium - sulbactam sodium 20/10 mg/ml
حقن Sargramostim 10 µg/ml
كلوريد الصوديوم 0.9% 335
kompatibel
حقن Ampicillin sodium - sulbactam sodium 200 mg/ml
حقن Sugammadex 100 mg/ml
لا شيء 3372
kompatibel
حقن Ampicillin sodium - sulbactam sodium 50 mg/ml
حقن Tacrolimus 1000 µg/ml
كلوريد الصوديوم 0.9% 479
kompatibel
حقن Ampicillin sodium - sulbactam sodium 20/10 mg/ml
حقن Tedizolid phosphate 0.8 mg/ml
كلوريد الصوديوم 0.9% 3827
kompatibel
حقن Ampicillin sodium - sulbactam sodium 20/10 mg/ml
حقن Telavancin hydrochloride 7.5 mg/ml
الجلوكوز %5 3254
kompatibel
حقن Ampicillin sodium - sulbactam sodium 20/10 mg/ml
حقن Telavancin hydrochloride 7.5 mg/ml
كلوريد الصوديوم 0.9% 3254
kompatibel
حقن Ampicillin sodium - sulbactam sodium 20/10 mg/ml
حقن Telavancin hydrochloride 7.5 mg/ml
محلول رينجر  اللاكتات 3254
kompatibel
حقن Ampicillin sodium - sulbactam sodium 20/10 mg/ml
حقن Teniposide 0.1 mg/ml
الجلوكوز %5 905
kompatibel
حقن Ampicillin sodium - sulbactam sodium 30 mg/ml
حقن Theophylline 4 mg/ml
لا شيء 317
kompatibel
حقن Ampicillin sodium - sulbactam sodium 20/10 mg/ml
حقن Thiotepa 1 mg/ml
الجلوكوز %5 249
kompatibel
حقن Ampicillin sodium - sulbactam sodium 10/20 mg/ml
حقن Tramadol hydrochloride 0,4 mg/ml
كلوريد الصوديوم 0.9% 2002
kompatibel
حقن Ampicillin sodium - sulbactam sodium 1/0.5 >> 250/125 mg/ml
حقن Vancomycin hydrochloride 2 mg/ml
الجلوكوز %5 1674
kompatibel
حقن Ampicillin sodium - sulbactam sodium 1/0.5 >> 50/25 mg/ml
حقن Vancomycin hydrochloride 20 mg/ml
الجلوكوز %5 1674
هطول فوري غير متوافق
حقن Ampicillin sodium - sulbactam sodium 250-125 mg/ml
حقن Vancomycin hydrochloride 20 mg/ml
الجلوكوز %5 1674

  Mentions Légales