Pēdējā atjaunošana :
27/04/2026
Antibiotika   Ampicillin sodium - sulbactam sodium  
Injekcija
Šķīduma stabilitāte Maisījuma stabilitāte Stabilitāti ietekmējoši faktori Saderība Levadīšanas veids Literatūras saraksts pdf
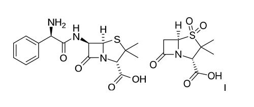
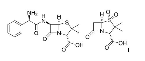
   Ķīmiskā uzbūve   

Oriģinālais nosaukums   Oriģinālais nosaukums     

Tirdzniecības nosaukumi ir apzīmējoši un palīgvielas var atšķirties dažādām valstīm un laboratorijām

Alfasid Turcija
Ampibac Kolumbija
Ampibactam Venecuēla
Ampicillin sulbactam Austrālija
Ampicillina sodica - sulbactam Brazīlija, Ekvadora
Ampictam Ēģipte
Ampiplus Rumānija, Saūda Arābija
Ampisid Turcija
Ampixim Venecuēla
Bacimex Spānija
Begalin Grieķija
Bethacil Itālija
Cinclox Indija
Combicid Turcija
Darzitil Argentīna
Duobaktam Turcija
Duocid Turcija
Galotam Spānija
Libractam Čīle
Loricin Itālija
Prixin Argentīna
Ranpisul Meksika
Retarpen Spānija
Sabect Ēģipte
Sulamp Kolumbija
Sulbacter Venecuēla
Sulbaksit Turcija
Sulbin Ēģipte
Sulcid Turcija
Sumitan Kolumbija, Venecuēla
Synerpen Ēģipte
Ultracillin Ēģipte
Unacid Vācija
Unacim Francija
Unasyn Amerikas Savienotās Valstis, Austrija, Brazīlija, Čīle, Ēģipte, Ekvadora, Itālija, Japāna, Kolumbija, Malaizija, Maroka, Meksika, Peru, Polija, Saūda Arābija, Spānija, Ungārija, Vācija
Unictam Ēģipte
Xilbac Peru
Saderība   Injekcija   Saderība : Ampicillin sodium - sulbactam sodium              
Šī tabula parāda zāļu saderību vai nesaderību, pēc iespējas arī nesaderības tipu (precipitācija, krāsas maiņa, emulsijas sadalīšanās utt). Parādītas šeit saderības ir pārsvarā tikai fizikālās, pēc iespējas tiek parādīta ķīmiskā stabilitāte katrai molekulai. Šo maisījumu analīze tikai veikta, lai izprastu iespējamību ievadīt zāles Y-savienojuma vietā sistēmā pacientam. Šie dati nevar tikt izmantoti, lai pagatavot zāļu maisījumus vēlākai lietošanai maisos vai šļircēs. Šī informācija ir pieejama sadaļā "Maisījuma stabilitāte".
Savienojums Šķīdinātājs Literatūras saraksts
Savietojams
Injekcija Ampicillin sodium - sulbactam sodium 20/10 mg/ml
Injekcija Amifostine 10 mg/ml
5% glikoze 3
Ķīmiskā nestabilitāte Nesavienojams
Injekcija Ampicillin sodium - sulbactam sodium
Injekcija Amikacin sulfate
3549
Tūlītēji nokrišņi Nesavienojams
Injekcija Ampicillin sodium - sulbactam sodium 30 mg/ml
Injekcija Amiodarone hydrochloride 6 mg/ml
Nātrija hlorīds 0.9% 1611
Tūlītēji nokrišņi Nesavienojams
Injekcija Ampicillin sodium - sulbactam sodium 30 mg/ml
Injekcija Amiodarone hydrochloride 6 mg/ml
5% glikoze 1611
Tūlītēji nokrišņi Nesavienojams
Injekcija Ampicillin sodium - sulbactam sodium 20/10 mg/ml
Injekcija Amphotericin B cholesteryl sulfate complex 0.83 mg/ml
5% glikoze 921
Savietojams
Injekcija Ampicillin sodium - sulbactam sodium 20/10 mg/ml
Injekcija Anidulafungin 0.5 mg/ml
5% glikoze 1982
Savietojams
Injekcija Ampicillin sodium - sulbactam sodium 20/10 mg/ml
Injekcija Aztreonam 40 mg/ml
5% glikoze 99
Savietojams
Injekcija Ampicillin sodium - sulbactam sodium 20/10 mg/ml
Injekcija Bivalirudin 5 mg/ml
5% glikoze 1713
Savietojams
Injekcija Ampicillin sodium - sulbactam sodium 20/10 mg/ml
Injekcija Ceftolozane / tazobactam 10/5 mg/ml
Nātrija hlorīds 0.9% 3828
Savietojams
Injekcija Ampicillin sodium - sulbactam sodium 20/10 mg/ml
Injekcija Ceftolozane / tazobactam 10/5 mg/ml
5% glikoze 3828
Tūlītēji nokrišņi Nesavienojams
Injekcija Ampicillin sodium - sulbactam sodium
Injekcija Ciprofloxacin lactate
5% glikoze 1500
Tūlītēji nokrišņi Nesavienojams
Injekcija Ampicillin sodium - sulbactam sodium 30 mg/ml
Injekcija Ciprofloxacin lactate 2 mg/ml
5% glikoze 285
Tūlītēji nokrišņi Nesavienojams
Injekcija Ampicillin sodium - sulbactam sodium
Injekcija Ciprofloxacin lactate
Nātrija hlorīds 0.9% 1500
Neprecizēta nesaderība Nesavienojams
Injekcija Ampicillin sodium - sulbactam sodium
Injekcija Ciprofloxacin lactate
3529
Tūlītēja duļķainība Nesavienojams
Injekcija Ampicillin sodium - sulbactam sodium 20/10 mg/ml
Injekcija Cisatracurium besylate 5 mg/ml
5% glikoze 299
Savietojams
Injekcija Ampicillin sodium - sulbactam sodium 20/10 mg/ml
Injekcija Dexmedetomidine 4 µg/ml
Nātrija hlorīds 0.9% 1712
Savietojams
Injekcija Ampicillin sodium - sulbactam sodium 20/10 mg/ml
Injekcija Docetaxel 0.9 mg/ml
5% glikoze 1754
Neprecizēta nesaderība Nesavienojams
Injekcija Ampicillin sodium - sulbactam sodium
Parenterāla barošana (lipīdu-free) 5067
Savietojams
Injekcija Ampicillin sodium - sulbactam sodium 20/10 mg/ml
Parenterāla barošana (lipīdu-free) 301
Neprecizēta nesaderība Nesavienojams
Injekcija Ampicillin sodium - sulbactam sodium
Parenterāla barošana (ar lipīdiem) 5067
Savietojams
Injekcija Ampicillin sodium - sulbactam sodium 20/10 mg/ml
Injekcija Cisatracurium besylate 0.1 & 2 mg/ml
5% glikoze 299
Tūlītēja duļķainība Nesavienojams
Injekcija Ampicillin sodium - sulbactam sodium 20/10 mg/ml
Injekcija Cisatracurium besylate 5 mg/ml
Nātrija hlorīds 0.9% 299
Savietojams
Injekcija Ampicillin sodium - sulbactam sodium 2 & 15 mg/ml
Injekcija Diltiazem hydrochloride 5 mg/ml
Nātrija hlorīds 0.9% 198
Savietojams
Injekcija Ampicillin sodium - sulbactam sodium 45 mg/ml
Injekcija Diltiazem hydrochloride 1 mg/ml
Nātrija hlorīds 0.9% 198
Savietojams
Injekcija Ampicillin sodium - sulbactam sodium 20 mg/ml
Parenterāla barošana (ar lipīdiem) 4507
Tūlītēja duļķainība Nesavienojams
Injekcija Ampicillin sodium - sulbactam sodium 45 mg/ml
Injekcija Diltiazem hydrochloride 5 mg/ml
Nātrija hlorīds 0.9% 198
Savietojams
Injekcija Ampicillin sodium - sulbactam sodium 15 mg/ml
Injekcija Enalaprilate 0.05 mg/ml
Nātrija hlorīds 0.9% 1315
Savietojams
Injekcija Ampicillin sodium - sulbactam sodium 20/10 mg/ml
Parenterāla barošana (ar lipīdiem) 1415
Neprecizēta nesaderība Nesavienojams
Injekcija Ampicillin sodium - sulbactam sodium
Injekcija Erythromycin lactobionate
3674
Savietojams
Injekcija Ampicillin sodium - sulbactam sodium 30 mg/ml
Injekcija Famotidine
5% glikoze 397
Savietojams
Injekcija Ampicillin sodium - sulbactam sodium 60 mg/ml
Injekcija Fluconazole 2 mg/ml
Nātrija hlorīds 0.9% 496
Savietojams
Injekcija Ampicillin sodium - sulbactam sodium 15 mg/ml
Parenterāla barošana (ar lipīdiem) 4440
Savietojams
Injekcija Ampicillin sodium - sulbactam sodium 20/10 mg/ml
Injekcija Etoposide phosphate 5 mg/ml
5% glikoze 1410
Savietojams
Injekcija Ampicillin sodium - sulbactam sodium 20/10 mg/ml
Injekcija Fenoldopam mesylate 80 µg/ml
Nātrija hlorīds 0.9% 1803
Savietojams
Injekcija Ampicillin sodium - sulbactam sodium 20/10 mg/ml
Injekcija Filgrastim 30 µg/ml
5% glikoze 244
Savietojams
Injekcija Ampicillin sodium - sulbactam sodium 20/10 mg/ml
Injekcija Fludarabine phosphate 1 mg/ml
5% glikoze 492
Savietojams
Injekcija Ampicillin sodium - sulbactam sodium 20/10 mg/ml
Injekcija Fosfomycin 30 mg/ml
5% glikoze 4055
Savietojams
Injekcija Ampicillin sodium - sulbactam sodium 20/10 mg/ml
Injekcija Fosfomycin 30 mg/ml
Nātrija hlorīds 0.9% 4055
Savietojams
Injekcija Ampicillin sodium - sulbactam sodium 45/22.4 mg/ml
Injekcija Gallium nitrate 1 mg/ml
Nātrija hlorīds 0.9% 91
Savietojams
Injekcija Ampicillin sodium - sulbactam sodium 20/10 mg/ml
Injekcija Gemcitabine hydrochloride 10 mg/ml
Nātrija hlorīds 0.9% 1423
Neprecizēta nesaderība Nesavienojams
Injekcija Ampicillin sodium - sulbactam sodium
Injekcija Gentamicin sulfate
3520
Neprecizēta nesaderība Nesavienojams
Injekcija Ampicillin sodium - sulbactam sodium
Injekcija Gentamicin sulfate
3643
Savietojams
Injekcija Ampicillin sodium - sulbactam sodium 20/10 mg/ml
Injekcija Granisetron hydrochloride 0.05 mg/ml
Nātrija hlorīds 0.9% 182
Savietojams
Injekcija Ampicillin sodium - sulbactam sodium 30 mg/ml
Injekcija Heparin sodium 50 UI/ml
Nekāds 317
Savietojams
Injekcija Ampicillin sodium - sulbactam sodium 20/10 mg/ml
Injekcija Hetastarch 60 mg/ml
īpašu šķīdinātāju 1721
Tūlītēja duļķainība Nesavienojams
Injekcija Ampicillin sodium - sulbactam sodium 30 mg/ml
Injekcija Idarubicin hydrochloride 1 mg/ml
Nātrija hlorīds 0.9% 491
Savietojams
Injekcija Ampicillin sodium - sulbactam sodium 30 mg/ml
Injekcija Insulin 0.2 UI/ml
Nātrija hlorīds 0.9% 129
Tūlītēja duļķainība Nesavienojams
Injekcija Ampicillin sodium - sulbactam sodium 20/10 mg/ml
Injekcija Isavuconazonium sulfate 1.5 mg/ml
Nātrija hlorīds 0.9% 3829
Savietojams
Injekcija Ampicillin sodium - sulbactam sodium
Nātrija hlorīds 0.9% 5067
Tūlītēja duļķainība Nesavienojams
Injekcija Ampicillin sodium - sulbactam sodium 20/10 mg/ml
Injekcija Isavuconazonium sulfate 1.5 mg/ml
5% glikoze 3829
Savietojams
Injekcija Ampicillin sodium - sulbactam sodium 20/10 mg/ml
Injekcija Ketoprofene 3.2 mg/ml
Nātrija hlorīds 0.9% 1847
Tūlītēji nokrišņi Nesavienojams
Injekcija Ampicillin sodium - sulbactam sodium 20/10 mg/ml
Injekcija Lansoprazole 0.55 mg/ml
Nātrija hlorīds 0.9% 1625
Savietojams
Injekcija Ampicillin sodium - sulbactam sodium 20/10 mg/ml
Injekcija Linezolid 2 mg/ml
Nekāds 1925
Savietojams
Injekcija Ampicillin sodium - sulbactam sodium 30 mg/ml
Injekcija Morphine sulfate 1 mg/ml
Nātrija hlorīds 0.9% 406
Tūlītēja duļķainība Nesavienojams
Injekcija Ampicillin sodium - sulbactam sodium 15 mg/ml
Injekcija Nicardipine hydrochloride 0.1 mg/ml
Nātrija hlorīds 0.9% 1490
Tūlītēja duļķainība Nesavienojams
Injekcija Ampicillin sodium - sulbactam sodium 15 mg/ml
Injekcija Nicardipine hydrochloride 0.1 mg/ml
5% glikoze 1490
Tūlītēji nokrišņi Nesavienojams
Injekcija Ampicillin sodium - sulbactam sodium 20/10 mg/ml
Injekcija Ondansetron hydrochloride 1 mg/ml
Nātrija hlorīds 0.9% 334
Savietojams
Injekcija Ampicillin sodium - sulbactam sodium 20/10 mg/ml
Injekcija Paclitaxel 1.2 mg/ml
5% glikoze 248
Savietojams
Injekcija Ampicillin sodium - sulbactam sodium 20/10 mg/ml
Injekcija Palonosetron hydrochloride 50 µg/ml
Nātrija hlorīds 0.9% 2214
Savietojams
Injekcija Ampicillin sodium - sulbactam sodium 20/10 mg/ml
Injekcija Pemetrexed disodium 20 mg/ml
Nātrija hlorīds 0.9% 1953
Savietojams
Injekcija Ampicillin sodium - sulbactam sodium 30 mg/ml
Injekcija Pethidine hydrochloride 10 mg/ml
Nātrija hlorīds 0.9% 406
Savietojams
Injekcija Ampicillin sodium - sulbactam sodium 20/10 mg/ml
Injekcija Plazomicin sulfate 24 mg/ml
Nātrija hlorīds 0.9% 4145
Savietojams
Injekcija Ampicillin sodium - sulbactam sodium 20/10 mg/ml
Injekcija Remifentanil hydrochloride 25 & 250 µg/ml
Nātrija hlorīds 0.9% 59
Nokrišņi pēc 4 stundām Nesavienojams
Injekcija Ampicillin sodium - sulbactam sodium 20/10 mg/ml
Injekcija Sargramostim 10 µg/ml
Nātrija hlorīds 0.9% 335
Savietojams
Injekcija Ampicillin sodium - sulbactam sodium 200 mg/ml
Injekcija Sugammadex 100 mg/ml
Nekāds 3372
Savietojams
Injekcija Ampicillin sodium - sulbactam sodium 50 mg/ml
Injekcija Tacrolimus 1000 µg/ml
Nātrija hlorīds 0.9% 479
Savietojams
Injekcija Ampicillin sodium - sulbactam sodium 20/10 mg/ml
Injekcija Tedizolid phosphate 0.8 mg/ml
Nātrija hlorīds 0.9% 3827
Savietojams
Injekcija Ampicillin sodium - sulbactam sodium 20/10 mg/ml
Injekcija Telavancin hydrochloride 7.5 mg/ml
5% glikoze 3254
Savietojams
Injekcija Ampicillin sodium - sulbactam sodium 20/10 mg/ml
Injekcija Telavancin hydrochloride 7.5 mg/ml
Nātrija hlorīds 0.9% 3254
Savietojams
Injekcija Ampicillin sodium - sulbactam sodium 20/10 mg/ml
Injekcija Telavancin hydrochloride 7.5 mg/ml
Ringera laktāta šķīdums 3254
Savietojams
Injekcija Ampicillin sodium - sulbactam sodium 20/10 mg/ml
Injekcija Teniposide 0.1 mg/ml
5% glikoze 905
Savietojams
Injekcija Ampicillin sodium - sulbactam sodium 30 mg/ml
Injekcija Theophylline 4 mg/ml
Nekāds 317
Savietojams
Injekcija Ampicillin sodium - sulbactam sodium 20/10 mg/ml
Injekcija Thiotepa 1 mg/ml
5% glikoze 249
Savietojams
Injekcija Ampicillin sodium - sulbactam sodium 10/20 mg/ml
Injekcija Tramadol hydrochloride 0,4 mg/ml
Nātrija hlorīds 0.9% 2002
Savietojams
Injekcija Ampicillin sodium - sulbactam sodium 1/0.5 >> 250/125 mg/ml
Injekcija Vancomycin hydrochloride 2 mg/ml
5% glikoze 1674
Savietojams
Injekcija Ampicillin sodium - sulbactam sodium 1/0.5 >> 50/25 mg/ml
Injekcija Vancomycin hydrochloride 20 mg/ml
5% glikoze 1674
Tūlītēji nokrišņi Nesavienojams
Injekcija Ampicillin sodium - sulbactam sodium 250-125 mg/ml
Injekcija Vancomycin hydrochloride 20 mg/ml
5% glikoze 1674

  Mentions Légales