Poslední aktualizace :
27/04/2026
Antibiotikas   Ampicillin sodium - sulbactam sodium  
Įpurškimas
Tirpalų stabilumas Mišinių stabilumas Stabilumą lemiantys veiksniai Suderinamumas Leidimo būdai Bibliografija pdf
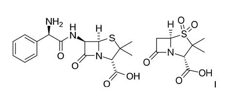
   Cheminė sandara  

Prekinis pavadinimas   Prekinis pavadinimas     

Trade names are indicative and excipients composition can be different depending on the country and manufacturers

Alfasid Turkija
Ampibac Kolumbija
Ampibactam Venesuela
Ampicillin sulbactam Australija
Ampicillina sodica - sulbactam Brazilija, Ekvadoras
Ampictam Egiptas
Ampiplus Rumunija, Saudo Arabija
Ampisid Turkija
Ampixim Venesuela
Bacimex Ispanija
Begalin Graikija
Bethacil Italija
Cinclox Indija
Combicid Turkija
Darzitil Argentina
Duobaktam Turkija
Duocid Turkija
Galotam Ispanija
Libractam Čilė
Loricin Italija
Prixin Argentina
Ranpisul Meksikas
Retarpen Ispanija
Sabect Egiptas
Sulamp Kolumbija
Sulbacter Venesuela
Sulbaksit Turkija
Sulbin Egiptas
Sulcid Turkija
Sumitan Kolumbija, Venesuela
Synerpen Egiptas
Ultracillin Egiptas
Unacid Vokietija
Unacim Prancūzija
Unasyn Austrija, Brazilija, Čilė, Egiptas, Ekvadoras, Ispanija, Italija, Japonija, Jungtinės Amerikos Valstijos, Kolumbija, Lenkija, Malaizija, Marokas, Meksikas, Peru, Saudo Arabija, Vengrija, Vokietija
Unictam Egiptas
Xilbac Peru
Suderinamumas   Įpurškimas   Suderinamumas : Ampicillin sodium - sulbactam sodium              
explication_incompatibilite_molecules
Molekulė Tirpiklis Nuorodos
Suderinamas
Įpurškimas Ampicillin sodium - sulbactam sodium 20/10 mg/ml
Įpurškimas Amifostine 10 mg/ml
Gliukozė 5% 3
Cheminis nestabilumas Nesuderinamas
Įpurškimas Ampicillin sodium - sulbactam sodium
Įpurškimas Amikacin sulfate
3549
Nedelsiant krituliai Nesuderinamas
Įpurškimas Ampicillin sodium - sulbactam sodium 30 mg/ml
Įpurškimas Amiodarone hydrochloride 6 mg/ml
Natrio chloridas 0,9% 1611
Nedelsiant krituliai Nesuderinamas
Įpurškimas Ampicillin sodium - sulbactam sodium 30 mg/ml
Įpurškimas Amiodarone hydrochloride 6 mg/ml
Gliukozė 5% 1611
Nedelsiant krituliai Nesuderinamas
Įpurškimas Ampicillin sodium - sulbactam sodium 20/10 mg/ml
Įpurškimas Amphotericin B cholesteryl sulfate complex 0.83 mg/ml
Gliukozė 5% 921
Suderinamas
Įpurškimas Ampicillin sodium - sulbactam sodium 20/10 mg/ml
Įpurškimas Anidulafungin 0.5 mg/ml
Gliukozė 5% 1982
Suderinamas
Įpurškimas Ampicillin sodium - sulbactam sodium 20/10 mg/ml
Įpurškimas Aztreonam 40 mg/ml
Gliukozė 5% 99
Suderinamas
Įpurškimas Ampicillin sodium - sulbactam sodium 20/10 mg/ml
Įpurškimas Bivalirudin 5 mg/ml
Gliukozė 5% 1713
Suderinamas
Įpurškimas Ampicillin sodium - sulbactam sodium 20/10 mg/ml
Įpurškimas Ceftolozane / tazobactam 10/5 mg/ml
Natrio chloridas 0,9% 3828
Suderinamas
Įpurškimas Ampicillin sodium - sulbactam sodium 20/10 mg/ml
Įpurškimas Ceftolozane / tazobactam 10/5 mg/ml
Gliukozė 5% 3828
Nedelsiant krituliai Nesuderinamas
Įpurškimas Ampicillin sodium - sulbactam sodium
Įpurškimas Ciprofloxacin lactate
Gliukozė 5% 1500
Nedelsiant krituliai Nesuderinamas
Įpurškimas Ampicillin sodium - sulbactam sodium 30 mg/ml
Įpurškimas Ciprofloxacin lactate 2 mg/ml
Gliukozė 5% 285
Nedelsiant krituliai Nesuderinamas
Įpurškimas Ampicillin sodium - sulbactam sodium
Įpurškimas Ciprofloxacin lactate
Natrio chloridas 0,9% 1500
Nepatikslintas nesuderinamumas Nesuderinamas
Įpurškimas Ampicillin sodium - sulbactam sodium
Įpurškimas Ciprofloxacin lactate
3529
Tiesioginis drumstumas Nesuderinamas
Įpurškimas Ampicillin sodium - sulbactam sodium 20/10 mg/ml
Įpurškimas Cisatracurium besylate 5 mg/ml
Gliukozė 5% 299
Suderinamas
Įpurškimas Ampicillin sodium - sulbactam sodium 20/10 mg/ml
Įpurškimas Dexmedetomidine 4 µg/ml
Natrio chloridas 0,9% 1712
Suderinamas
Įpurškimas Ampicillin sodium - sulbactam sodium 20/10 mg/ml
Įpurškimas Docetaxel 0.9 mg/ml
Gliukozė 5% 1754
Nepatikslintas nesuderinamumas Nesuderinamas
Įpurškimas Ampicillin sodium - sulbactam sodium
Parenterinis maitinimas (lipidų nemokamai) 5067
Suderinamas
Įpurškimas Ampicillin sodium - sulbactam sodium 20/10 mg/ml
Parenterinis maitinimas (lipidų nemokamai) 301
Nepatikslintas nesuderinamumas Nesuderinamas
Įpurškimas Ampicillin sodium - sulbactam sodium
Parenteriniu būdu (su lipidų) 5067
Suderinamas
Įpurškimas Ampicillin sodium - sulbactam sodium 20/10 mg/ml
Įpurškimas Cisatracurium besylate 0.1 & 2 mg/ml
Gliukozė 5% 299
Tiesioginis drumstumas Nesuderinamas
Įpurškimas Ampicillin sodium - sulbactam sodium 20/10 mg/ml
Įpurškimas Cisatracurium besylate 5 mg/ml
Natrio chloridas 0,9% 299
Suderinamas
Įpurškimas Ampicillin sodium - sulbactam sodium 2 & 15 mg/ml
Įpurškimas Diltiazem hydrochloride 5 mg/ml
Natrio chloridas 0,9% 198
Suderinamas
Įpurškimas Ampicillin sodium - sulbactam sodium 45 mg/ml
Įpurškimas Diltiazem hydrochloride 1 mg/ml
Natrio chloridas 0,9% 198
Suderinamas
Įpurškimas Ampicillin sodium - sulbactam sodium 20 mg/ml
Parenteriniu būdu (su lipidų) 4507
Tiesioginis drumstumas Nesuderinamas
Įpurškimas Ampicillin sodium - sulbactam sodium 45 mg/ml
Įpurškimas Diltiazem hydrochloride 5 mg/ml
Natrio chloridas 0,9% 198
Suderinamas
Įpurškimas Ampicillin sodium - sulbactam sodium 15 mg/ml
Įpurškimas Enalaprilate 0.05 mg/ml
Natrio chloridas 0,9% 1315
Suderinamas
Įpurškimas Ampicillin sodium - sulbactam sodium 20/10 mg/ml
Parenteriniu būdu (su lipidų) 1415
Nepatikslintas nesuderinamumas Nesuderinamas
Įpurškimas Ampicillin sodium - sulbactam sodium
Įpurškimas Erythromycin lactobionate
3674
Suderinamas
Įpurškimas Ampicillin sodium - sulbactam sodium 30 mg/ml
Įpurškimas Famotidine
Gliukozė 5% 397
Suderinamas
Įpurškimas Ampicillin sodium - sulbactam sodium 60 mg/ml
Įpurškimas Fluconazole 2 mg/ml
Natrio chloridas 0,9% 496
Suderinamas
Įpurškimas Ampicillin sodium - sulbactam sodium 15 mg/ml
Parenteriniu būdu (su lipidų) 4440
Suderinamas
Įpurškimas Ampicillin sodium - sulbactam sodium 20/10 mg/ml
Įpurškimas Etoposide phosphate 5 mg/ml
Gliukozė 5% 1410
Suderinamas
Įpurškimas Ampicillin sodium - sulbactam sodium 20/10 mg/ml
Įpurškimas Fenoldopam mesylate 80 µg/ml
Natrio chloridas 0,9% 1803
Suderinamas
Įpurškimas Ampicillin sodium - sulbactam sodium 20/10 mg/ml
Įpurškimas Filgrastim 30 µg/ml
Gliukozė 5% 244
Suderinamas
Įpurškimas Ampicillin sodium - sulbactam sodium 20/10 mg/ml
Įpurškimas Fludarabine phosphate 1 mg/ml
Gliukozė 5% 492
Suderinamas
Įpurškimas Ampicillin sodium - sulbactam sodium 20/10 mg/ml
Įpurškimas Fosfomycin 30 mg/ml
Gliukozė 5% 4055
Suderinamas
Įpurškimas Ampicillin sodium - sulbactam sodium 20/10 mg/ml
Įpurškimas Fosfomycin 30 mg/ml
Natrio chloridas 0,9% 4055
Suderinamas
Įpurškimas Ampicillin sodium - sulbactam sodium 45/22.4 mg/ml
Įpurškimas Gallium nitrate 1 mg/ml
Natrio chloridas 0,9% 91
Suderinamas
Įpurškimas Ampicillin sodium - sulbactam sodium 20/10 mg/ml
Įpurškimas Gemcitabine hydrochloride 10 mg/ml
Natrio chloridas 0,9% 1423
Nepatikslintas nesuderinamumas Nesuderinamas
Įpurškimas Ampicillin sodium - sulbactam sodium
Įpurškimas Gentamicin sulfate
3520
Nepatikslintas nesuderinamumas Nesuderinamas
Įpurškimas Ampicillin sodium - sulbactam sodium
Įpurškimas Gentamicin sulfate
3643
Suderinamas
Įpurškimas Ampicillin sodium - sulbactam sodium 20/10 mg/ml
Įpurškimas Granisetron hydrochloride 0.05 mg/ml
Natrio chloridas 0,9% 182
Suderinamas
Įpurškimas Ampicillin sodium - sulbactam sodium 30 mg/ml
Įpurškimas Heparin sodium 50 UI/ml
Nėra 317
Suderinamas
Įpurškimas Ampicillin sodium - sulbactam sodium 20/10 mg/ml
Įpurškimas Hetastarch 60 mg/ml
specifinis tirpiklis 1721
Tiesioginis drumstumas Nesuderinamas
Įpurškimas Ampicillin sodium - sulbactam sodium 30 mg/ml
Įpurškimas Idarubicin hydrochloride 1 mg/ml
Natrio chloridas 0,9% 491
Suderinamas
Įpurškimas Ampicillin sodium - sulbactam sodium 30 mg/ml
Įpurškimas Insulin 0.2 UI/ml
Natrio chloridas 0,9% 129
Tiesioginis drumstumas Nesuderinamas
Įpurškimas Ampicillin sodium - sulbactam sodium 20/10 mg/ml
Įpurškimas Isavuconazonium sulfate 1.5 mg/ml
Natrio chloridas 0,9% 3829
Suderinamas
Įpurškimas Ampicillin sodium - sulbactam sodium
Natrio chloridas 0,9% 5067
Tiesioginis drumstumas Nesuderinamas
Įpurškimas Ampicillin sodium - sulbactam sodium 20/10 mg/ml
Įpurškimas Isavuconazonium sulfate 1.5 mg/ml
Gliukozė 5% 3829
Suderinamas
Įpurškimas Ampicillin sodium - sulbactam sodium 20/10 mg/ml
Įpurškimas Ketoprofene 3.2 mg/ml
Natrio chloridas 0,9% 1847
Nedelsiant krituliai Nesuderinamas
Įpurškimas Ampicillin sodium - sulbactam sodium 20/10 mg/ml
Įpurškimas Lansoprazole 0.55 mg/ml
Natrio chloridas 0,9% 1625
Suderinamas
Įpurškimas Ampicillin sodium - sulbactam sodium 20/10 mg/ml
Įpurškimas Linezolid 2 mg/ml
Nėra 1925
Suderinamas
Įpurškimas Ampicillin sodium - sulbactam sodium 30 mg/ml
Įpurškimas Morphine sulfate 1 mg/ml
Natrio chloridas 0,9% 406
Tiesioginis drumstumas Nesuderinamas
Įpurškimas Ampicillin sodium - sulbactam sodium 15 mg/ml
Įpurškimas Nicardipine hydrochloride 0.1 mg/ml
Natrio chloridas 0,9% 1490
Tiesioginis drumstumas Nesuderinamas
Įpurškimas Ampicillin sodium - sulbactam sodium 15 mg/ml
Įpurškimas Nicardipine hydrochloride 0.1 mg/ml
Gliukozė 5% 1490
Nedelsiant krituliai Nesuderinamas
Įpurškimas Ampicillin sodium - sulbactam sodium 20/10 mg/ml
Įpurškimas Ondansetron hydrochloride 1 mg/ml
Natrio chloridas 0,9% 334
Suderinamas
Įpurškimas Ampicillin sodium - sulbactam sodium 20/10 mg/ml
Įpurškimas Paclitaxel 1.2 mg/ml
Gliukozė 5% 248
Suderinamas
Įpurškimas Ampicillin sodium - sulbactam sodium 20/10 mg/ml
Įpurškimas Palonosetron hydrochloride 50 µg/ml
Natrio chloridas 0,9% 2214
Suderinamas
Įpurškimas Ampicillin sodium - sulbactam sodium 20/10 mg/ml
Įpurškimas Pemetrexed disodium 20 mg/ml
Natrio chloridas 0,9% 1953
Suderinamas
Įpurškimas Ampicillin sodium - sulbactam sodium 30 mg/ml
Įpurškimas Pethidine hydrochloride 10 mg/ml
Natrio chloridas 0,9% 406
Suderinamas
Įpurškimas Ampicillin sodium - sulbactam sodium 20/10 mg/ml
Įpurškimas Plazomicin sulfate 24 mg/ml
Natrio chloridas 0,9% 4145
Suderinamas
Įpurškimas Ampicillin sodium - sulbactam sodium 20/10 mg/ml
Įpurškimas Remifentanil hydrochloride 25 & 250 µg/ml
Natrio chloridas 0,9% 59
Krituliai po 4 valandų Nesuderinamas
Įpurškimas Ampicillin sodium - sulbactam sodium 20/10 mg/ml
Įpurškimas Sargramostim 10 µg/ml
Natrio chloridas 0,9% 335
Suderinamas
Įpurškimas Ampicillin sodium - sulbactam sodium 200 mg/ml
Įpurškimas Sugammadex 100 mg/ml
Nėra 3372
Suderinamas
Įpurškimas Ampicillin sodium - sulbactam sodium 50 mg/ml
Įpurškimas Tacrolimus 1000 µg/ml
Natrio chloridas 0,9% 479
Suderinamas
Įpurškimas Ampicillin sodium - sulbactam sodium 20/10 mg/ml
Įpurškimas Tedizolid phosphate 0.8 mg/ml
Natrio chloridas 0,9% 3827
Suderinamas
Įpurškimas Ampicillin sodium - sulbactam sodium 20/10 mg/ml
Įpurškimas Telavancin hydrochloride 7.5 mg/ml
Gliukozė 5% 3254
Suderinamas
Įpurškimas Ampicillin sodium - sulbactam sodium 20/10 mg/ml
Įpurškimas Telavancin hydrochloride 7.5 mg/ml
Natrio chloridas 0,9% 3254
Suderinamas
Įpurškimas Ampicillin sodium - sulbactam sodium 20/10 mg/ml
Įpurškimas Telavancin hydrochloride 7.5 mg/ml
Ringerio laktato tirpalas 3254
Suderinamas
Įpurškimas Ampicillin sodium - sulbactam sodium 20/10 mg/ml
Įpurškimas Teniposide 0.1 mg/ml
Gliukozė 5% 905
Suderinamas
Įpurškimas Ampicillin sodium - sulbactam sodium 30 mg/ml
Įpurškimas Theophylline 4 mg/ml
Nėra 317
Suderinamas
Įpurškimas Ampicillin sodium - sulbactam sodium 20/10 mg/ml
Įpurškimas Thiotepa 1 mg/ml
Gliukozė 5% 249
Suderinamas
Įpurškimas Ampicillin sodium - sulbactam sodium 10/20 mg/ml
Įpurškimas Tramadol hydrochloride 0,4 mg/ml
Natrio chloridas 0,9% 2002
Suderinamas
Įpurškimas Ampicillin sodium - sulbactam sodium 1/0.5 >> 250/125 mg/ml
Įpurškimas Vancomycin hydrochloride 2 mg/ml
Gliukozė 5% 1674
Suderinamas
Įpurškimas Ampicillin sodium - sulbactam sodium 1/0.5 >> 50/25 mg/ml
Įpurškimas Vancomycin hydrochloride 20 mg/ml
Gliukozė 5% 1674
Nedelsiant krituliai Nesuderinamas
Įpurškimas Ampicillin sodium - sulbactam sodium 250-125 mg/ml
Įpurškimas Vancomycin hydrochloride 20 mg/ml
Gliukozė 5% 1674

  Mentions Légales