Posledná aktualizácia :
27/04/2026
antibiotikum   Ampicillin sodium - sulbactam sodium  
Injekcia
Stabilita roztokov Stabilita v zmesiach Faktory ovplyvňujúce stabilitu Kompatibility spôsob podania Odkazy na literatúru PDF
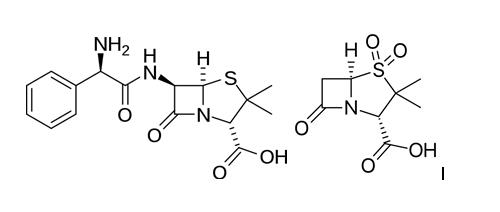
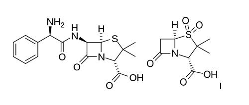
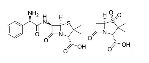
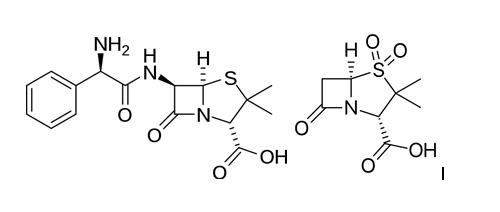
   Chemický vzorec  

Obchodný názov   Obchodný názov     

Obchodné názvy sú orientačné, a zloženie pomocných látok sa môže líšiť v závislosti od krajiny a výrobcu.

Alfasid Turecko
Ampibac Kolumbia
Ampibactam Venezuela
Ampicillin sulbactam Austrália
Ampicillina sodica - sulbactam Brazília, Ekvádor
Ampictam Egypt
Ampiplus Rumunsko, Saudská Arábia
Ampisid Turecko
Ampixim Venezuela
Bacimex Španielsko
Begalin Grécko
Bethacil Taliansko
Cinclox India
Combicid Turecko
Darzitil Argentína
Duobaktam Turecko
Duocid Turecko
Galotam Španielsko
Libractam Čile
Loricin Taliansko
Prixin Argentína
Ranpisul Mexiko
Retarpen Španielsko
Sabect Egypt
Sulamp Kolumbia
Sulbacter Venezuela
Sulbaksit Turecko
Sulbin Egypt
Sulcid Turecko
Sumitan Kolumbia, Venezuela
Synerpen Egypt
Ultracillin Egypt
Unacid Nemecko
Unacim Francúzsko
Unasyn Brazília, Čile, Egypt, Ekvádor, Japonsko, Kolumbia, Maďarsko, Malajzia, Maroko, Mexiko, Nemecko, peru, Poľsko, Rakúsko, Saudská Arábia, Španielsko, Spojené štáty Americké, Taliansko
Unictam Egypt
Xilbac peru
Kompatibility   Injekcia   Kompatibility : Ampicillin sodium - sulbactam sodium              
Toto okno zobrazuje kompatibility alebo inkombatibility, v prípade inkompatibility aj jej typ (vyzrážanie, zmena farby, zmena emulzie atď.). Tu vymenované kompatibility sú väčšinou len fyzikálne, chemická stabilita každej zo zlúčenín sa hodnotila len zriedkavo. Tieto zmesi sa skúmali za účelom možnosti súbežného podávania pacientovi cez infúznu spojku Y. Údaje sa nedajú použiť na prípravu zmesí vo vakoch alebo striekačkách. Taká informácia sa nachádza v okne „Stabilita v zmesiach“.
Zlúčenina rozpúšťadlo odkazy na lieteratúru
kompatibilný
Injekcia Ampicillin sodium - sulbactam sodium 20/10 mg/ml
Injekcia Amifostine 10 mg/ml
5% glukóza 3
Chemická nestabilita nezlučiteľný
Injekcia Ampicillin sodium - sulbactam sodium
Injekcia Amikacin sulfate
3549
Okamžité zrážanie nezlučiteľný
Injekcia Ampicillin sodium - sulbactam sodium 30 mg/ml
Injekcia Amiodarone hydrochloride 6 mg/ml
0,9% chlorid sodný 1611
Okamžité zrážanie nezlučiteľný
Injekcia Ampicillin sodium - sulbactam sodium 30 mg/ml
Injekcia Amiodarone hydrochloride 6 mg/ml
5% glukóza 1611
Okamžité zrážanie nezlučiteľný
Injekcia Ampicillin sodium - sulbactam sodium 20/10 mg/ml
Injekcia Amphotericin B cholesteryl sulfate complex 0.83 mg/ml
5% glukóza 921
kompatibilný
Injekcia Ampicillin sodium - sulbactam sodium 20/10 mg/ml
Injekcia Anidulafungin 0.5 mg/ml
5% glukóza 1982
kompatibilný
Injekcia Ampicillin sodium - sulbactam sodium 20/10 mg/ml
Injekcia Aztreonam 40 mg/ml
5% glukóza 99
kompatibilný
Injekcia Ampicillin sodium - sulbactam sodium 20/10 mg/ml
Injekcia Bivalirudin 5 mg/ml
5% glukóza 1713
kompatibilný
Injekcia Ampicillin sodium - sulbactam sodium 20/10 mg/ml
Injekcia Ceftolozane / tazobactam 10/5 mg/ml
0,9% chlorid sodný 3828
kompatibilný
Injekcia Ampicillin sodium - sulbactam sodium 20/10 mg/ml
Injekcia Ceftolozane / tazobactam 10/5 mg/ml
5% glukóza 3828
Okamžité zrážanie nezlučiteľný
Injekcia Ampicillin sodium - sulbactam sodium
Injekcia Ciprofloxacin lactate
5% glukóza 1500
Okamžité zrážanie nezlučiteľný
Injekcia Ampicillin sodium - sulbactam sodium 30 mg/ml
Injekcia Ciprofloxacin lactate 2 mg/ml
5% glukóza 285
Okamžité zrážanie nezlučiteľný
Injekcia Ampicillin sodium - sulbactam sodium
Injekcia Ciprofloxacin lactate
0,9% chlorid sodný 1500
Nešpecifikovaná nekompatibilita nezlučiteľný
Injekcia Ampicillin sodium - sulbactam sodium
Injekcia Ciprofloxacin lactate
3529
Okamžitá zákal nezlučiteľný
Injekcia Ampicillin sodium - sulbactam sodium 20/10 mg/ml
Injekcia Cisatracurium besylate 5 mg/ml
5% glukóza 299
kompatibilný
Injekcia Ampicillin sodium - sulbactam sodium 20/10 mg/ml
Injekcia Dexmedetomidine 4 µg/ml
0,9% chlorid sodný 1712
kompatibilný
Injekcia Ampicillin sodium - sulbactam sodium 20/10 mg/ml
Injekcia Docetaxel 0.9 mg/ml
5% glukóza 1754
Nešpecifikovaná nekompatibilita nezlučiteľný
Injekcia Ampicillin sodium - sulbactam sodium
parenterálna výživa (binárna zmes) 5067
kompatibilný
Injekcia Ampicillin sodium - sulbactam sodium 20/10 mg/ml
parenterálna výživa (binárna zmes) 301
Nešpecifikovaná nekompatibilita nezlučiteľný
Injekcia Ampicillin sodium - sulbactam sodium
Parenterálna výživa (lipidy) 5067
kompatibilný
Injekcia Ampicillin sodium - sulbactam sodium 20/10 mg/ml
Injekcia Cisatracurium besylate 0.1 & 2 mg/ml
5% glukóza 299
Okamžitá zákal nezlučiteľný
Injekcia Ampicillin sodium - sulbactam sodium 20/10 mg/ml
Injekcia Cisatracurium besylate 5 mg/ml
0,9% chlorid sodný 299
kompatibilný
Injekcia Ampicillin sodium - sulbactam sodium 2 & 15 mg/ml
Injekcia Diltiazem hydrochloride 5 mg/ml
0,9% chlorid sodný 198
kompatibilný
Injekcia Ampicillin sodium - sulbactam sodium 45 mg/ml
Injekcia Diltiazem hydrochloride 1 mg/ml
0,9% chlorid sodný 198
kompatibilný
Injekcia Ampicillin sodium - sulbactam sodium 20 mg/ml
Parenterálna výživa (lipidy) 4507
Okamžitá zákal nezlučiteľný
Injekcia Ampicillin sodium - sulbactam sodium 45 mg/ml
Injekcia Diltiazem hydrochloride 5 mg/ml
0,9% chlorid sodný 198
kompatibilný
Injekcia Ampicillin sodium - sulbactam sodium 15 mg/ml
Injekcia Enalaprilate 0.05 mg/ml
0,9% chlorid sodný 1315
kompatibilný
Injekcia Ampicillin sodium - sulbactam sodium 20/10 mg/ml
Parenterálna výživa (lipidy) 1415
Nešpecifikovaná nekompatibilita nezlučiteľný
Injekcia Ampicillin sodium - sulbactam sodium
Injekcia Erythromycin lactobionate
3674
kompatibilný
Injekcia Ampicillin sodium - sulbactam sodium 30 mg/ml
Injekcia Famotidine
5% glukóza 397
kompatibilný
Injekcia Ampicillin sodium - sulbactam sodium 60 mg/ml
Injekcia Fluconazole 2 mg/ml
0,9% chlorid sodný 496
kompatibilný
Injekcia Ampicillin sodium - sulbactam sodium 15 mg/ml
Parenterálna výživa (lipidy) 4440
kompatibilný
Injekcia Ampicillin sodium - sulbactam sodium 20/10 mg/ml
Injekcia Etoposide phosphate 5 mg/ml
5% glukóza 1410
kompatibilný
Injekcia Ampicillin sodium - sulbactam sodium 20/10 mg/ml
Injekcia Fenoldopam mesylate 80 µg/ml
0,9% chlorid sodný 1803
kompatibilný
Injekcia Ampicillin sodium - sulbactam sodium 20/10 mg/ml
Injekcia Filgrastim 30 µg/ml
5% glukóza 244
kompatibilný
Injekcia Ampicillin sodium - sulbactam sodium 20/10 mg/ml
Injekcia Fludarabine phosphate 1 mg/ml
5% glukóza 492
kompatibilný
Injekcia Ampicillin sodium - sulbactam sodium 20/10 mg/ml
Injekcia Fosfomycin 30 mg/ml
5% glukóza 4055
kompatibilný
Injekcia Ampicillin sodium - sulbactam sodium 20/10 mg/ml
Injekcia Fosfomycin 30 mg/ml
0,9% chlorid sodný 4055
kompatibilný
Injekcia Ampicillin sodium - sulbactam sodium 45/22.4 mg/ml
Injekcia Gallium nitrate 1 mg/ml
0,9% chlorid sodný 91
kompatibilný
Injekcia Ampicillin sodium - sulbactam sodium 20/10 mg/ml
Injekcia Gemcitabine hydrochloride 10 mg/ml
0,9% chlorid sodný 1423
Nešpecifikovaná nekompatibilita nezlučiteľný
Injekcia Ampicillin sodium - sulbactam sodium
Injekcia Gentamicin sulfate
3520
Nešpecifikovaná nekompatibilita nezlučiteľný
Injekcia Ampicillin sodium - sulbactam sodium
Injekcia Gentamicin sulfate
3643
kompatibilný
Injekcia Ampicillin sodium - sulbactam sodium 20/10 mg/ml
Injekcia Granisetron hydrochloride 0.05 mg/ml
0,9% chlorid sodný 182
kompatibilný
Injekcia Ampicillin sodium - sulbactam sodium 30 mg/ml
Injekcia Heparin sodium 50 UI/ml
Žiadny 317
kompatibilný
Injekcia Ampicillin sodium - sulbactam sodium 20/10 mg/ml
Injekcia Hetastarch 60 mg/ml
Špeciálne rozpúšťadlá 1721
Okamžitá zákal nezlučiteľný
Injekcia Ampicillin sodium - sulbactam sodium 30 mg/ml
Injekcia Idarubicin hydrochloride 1 mg/ml
0,9% chlorid sodný 491
kompatibilný
Injekcia Ampicillin sodium - sulbactam sodium 30 mg/ml
Injekcia Insulin 0.2 UI/ml
0,9% chlorid sodný 129
Okamžitá zákal nezlučiteľný
Injekcia Ampicillin sodium - sulbactam sodium 20/10 mg/ml
Injekcia Isavuconazonium sulfate 1.5 mg/ml
0,9% chlorid sodný 3829
kompatibilný
Injekcia Ampicillin sodium - sulbactam sodium
0,9% chlorid sodný 5067
Okamžitá zákal nezlučiteľný
Injekcia Ampicillin sodium - sulbactam sodium 20/10 mg/ml
Injekcia Isavuconazonium sulfate 1.5 mg/ml
5% glukóza 3829
kompatibilný
Injekcia Ampicillin sodium - sulbactam sodium 20/10 mg/ml
Injekcia Ketoprofene 3.2 mg/ml
0,9% chlorid sodný 1847
Okamžité zrážanie nezlučiteľný
Injekcia Ampicillin sodium - sulbactam sodium 20/10 mg/ml
Injekcia Lansoprazole 0.55 mg/ml
0,9% chlorid sodný 1625
kompatibilný
Injekcia Ampicillin sodium - sulbactam sodium 20/10 mg/ml
Injekcia Linezolid 2 mg/ml
Žiadny 1925
kompatibilný
Injekcia Ampicillin sodium - sulbactam sodium 30 mg/ml
Injekcia Morphine sulfate 1 mg/ml
0,9% chlorid sodný 406
Okamžitá zákal nezlučiteľný
Injekcia Ampicillin sodium - sulbactam sodium 15 mg/ml
Injekcia Nicardipine hydrochloride 0.1 mg/ml
0,9% chlorid sodný 1490
Okamžitá zákal nezlučiteľný
Injekcia Ampicillin sodium - sulbactam sodium 15 mg/ml
Injekcia Nicardipine hydrochloride 0.1 mg/ml
5% glukóza 1490
Okamžité zrážanie nezlučiteľný
Injekcia Ampicillin sodium - sulbactam sodium 20/10 mg/ml
Injekcia Ondansetron hydrochloride 1 mg/ml
0,9% chlorid sodný 334
kompatibilný
Injekcia Ampicillin sodium - sulbactam sodium 20/10 mg/ml
Injekcia Paclitaxel 1.2 mg/ml
5% glukóza 248
kompatibilný
Injekcia Ampicillin sodium - sulbactam sodium 20/10 mg/ml
Injekcia Palonosetron hydrochloride 50 µg/ml
0,9% chlorid sodný 2214
kompatibilný
Injekcia Ampicillin sodium - sulbactam sodium 20/10 mg/ml
Injekcia Pemetrexed disodium 20 mg/ml
0,9% chlorid sodný 1953
kompatibilný
Injekcia Ampicillin sodium - sulbactam sodium 30 mg/ml
Injekcia Pethidine hydrochloride 10 mg/ml
0,9% chlorid sodný 406
kompatibilný
Injekcia Ampicillin sodium - sulbactam sodium 20/10 mg/ml
Injekcia Plazomicin sulfate 24 mg/ml
0,9% chlorid sodný 4145
kompatibilný
Injekcia Ampicillin sodium - sulbactam sodium 20/10 mg/ml
Injekcia Remifentanil hydrochloride 25 & 250 µg/ml
0,9% chlorid sodný 59
Zrážky po 4 hodinách nezlučiteľný
Injekcia Ampicillin sodium - sulbactam sodium 20/10 mg/ml
Injekcia Sargramostim 10 µg/ml
0,9% chlorid sodný 335
kompatibilný
Injekcia Ampicillin sodium - sulbactam sodium 200 mg/ml
Injekcia Sugammadex 100 mg/ml
Žiadny 3372
kompatibilný
Injekcia Ampicillin sodium - sulbactam sodium 50 mg/ml
Injekcia Tacrolimus 1000 µg/ml
0,9% chlorid sodný 479
kompatibilný
Injekcia Ampicillin sodium - sulbactam sodium 20/10 mg/ml
Injekcia Tedizolid phosphate 0.8 mg/ml
0,9% chlorid sodný 3827
kompatibilný
Injekcia Ampicillin sodium - sulbactam sodium 20/10 mg/ml
Injekcia Telavancin hydrochloride 7.5 mg/ml
5% glukóza 3254
kompatibilný
Injekcia Ampicillin sodium - sulbactam sodium 20/10 mg/ml
Injekcia Telavancin hydrochloride 7.5 mg/ml
0,9% chlorid sodný 3254
kompatibilný
Injekcia Ampicillin sodium - sulbactam sodium 20/10 mg/ml
Injekcia Telavancin hydrochloride 7.5 mg/ml
Ringerov laktátový roztok 3254
kompatibilný
Injekcia Ampicillin sodium - sulbactam sodium 20/10 mg/ml
Injekcia Teniposide 0.1 mg/ml
5% glukóza 905
kompatibilný
Injekcia Ampicillin sodium - sulbactam sodium 30 mg/ml
Injekcia Theophylline 4 mg/ml
Žiadny 317
kompatibilný
Injekcia Ampicillin sodium - sulbactam sodium 20/10 mg/ml
Injekcia Thiotepa 1 mg/ml
5% glukóza 249
kompatibilný
Injekcia Ampicillin sodium - sulbactam sodium 10/20 mg/ml
Injekcia Tramadol hydrochloride 0,4 mg/ml
0,9% chlorid sodný 2002
kompatibilný
Injekcia Ampicillin sodium - sulbactam sodium 1/0.5 >> 250/125 mg/ml
Injekcia Vancomycin hydrochloride 2 mg/ml
5% glukóza 1674
kompatibilný
Injekcia Ampicillin sodium - sulbactam sodium 1/0.5 >> 50/25 mg/ml
Injekcia Vancomycin hydrochloride 20 mg/ml
5% glukóza 1674
Okamžité zrážanie nezlučiteľný
Injekcia Ampicillin sodium - sulbactam sodium 250-125 mg/ml
Injekcia Vancomycin hydrochloride 20 mg/ml
5% glukóza 1674

  Mentions Légales