Letztes “update” :
27/04/2026
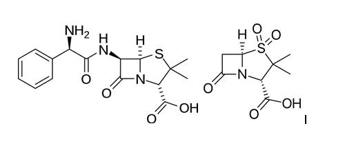
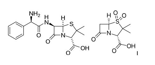
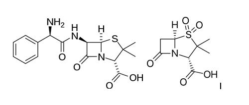
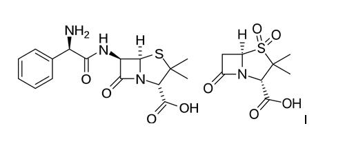
Antibiotikum   Ampicillin sodium - sulbactam sodium  
Injektion
Stabilität der Lösung Gemengestabilität Stabilitätbeeinflussende Faktoren Kompatibilitäten Applikationsart Literaturverzeichnis pdf
   Chemische Struktur  

Handelsmarke   Handelsmarke     

Handelsnamen sind als beispielhaft anzusehen. Sonstige Bestandteile können je nach Hersteller oder Land verschieden sein

Alfasid Türkei
Ampibac Kolumbien
Ampibactam Venezuela
Ampicillin sulbactam Australien
Ampicillina sodica - sulbactam Brasilien, Ecuador
Ampictam Ägypten
Ampiplus Rumänien, Saudi-Arabien
Ampisid Türkei
Ampixim Venezuela
Bacimex Spanien
Begalin Griechenland
Bethacil Italien
Cinclox Indien
Combicid Türkei
Darzitil Argentinien
Duobaktam Türkei
Duocid Türkei
Galotam Spanien
Libractam Chile
Loricin Italien
Prixin Argentinien
Ranpisul Mexiko
Retarpen Spanien
Sabect Ägypten
Sulamp Kolumbien
Sulbacter Venezuela
Sulbaksit Türkei
Sulbin Ägypten
Sulcid Türkei
Sumitan Kolumbien, Venezuela
Synerpen Ägypten
Ultracillin Ägypten
Unacid Deutschland
Unacim Frankreich
Unasyn Ägypten, Brasilien, Chile, Deutschland, Ecuador, Italien, Japan, Kolumbien, Malaysia, Marokko, Mexiko, Österreich, Peru, Polen, Saudi-Arabien, Spanien, Ungarn, Vereinigte Staaten von Amerika
Unictam Ägypten
Xilbac Peru
Kompatibilitäten   Injektion   Kompatibilitäten : Ampicillin sodium - sulbactam sodium              
Dieser Bildschirm zeigt die Kompatibilitäten oder Inkompatibilitäten mit der Art der Inkompatibilität (hier: Ausfällung, Farbänderung, Modifikation einer Emulsion usw.) an. Die hier gezeigten Kompatibilitäten sind meist nur physikalisch, wobei die chemische Stabilität jedes Moleküls selten bewertet wird. Die Bewertung dieser Gemische wurde untersucht, um die Möglichkeit einer Verabreichung über eine Y-Verbindung zu berücksichtigen. Diese Daten können daher nicht zur Herstellung von Mischungen im Voraus in Beuteln oder Spritzen verwendet werden. Sie finden diese Informationen auf dem Bildschirm "Stabilität in Mischung».
Molekül Lösungsmittel Literaturverzeichnis
kompatibel
Injektion Ampicillin sodium - sulbactam sodium 20/10 mg/ml
Injektion Amifostine 10 mg/ml
5% Glucose 3
Chemische Instabilität nicht kompatibel
Injektion Ampicillin sodium - sulbactam sodium
Injektion Amikacin sulfate
3549
Sofortiger Niederschlag nicht kompatibel
Injektion Ampicillin sodium - sulbactam sodium 30 mg/ml
Injektion Amiodarone hydrochloride 6 mg/ml
0,9% Natriumchlorid 1611
Sofortiger Niederschlag nicht kompatibel
Injektion Ampicillin sodium - sulbactam sodium 30 mg/ml
Injektion Amiodarone hydrochloride 6 mg/ml
5% Glucose 1611
Sofortiger Niederschlag nicht kompatibel
Injektion Ampicillin sodium - sulbactam sodium 20/10 mg/ml
Injektion Amphotericin B cholesteryl sulfate complex 0.83 mg/ml
5% Glucose 921
kompatibel
Injektion Ampicillin sodium - sulbactam sodium 20/10 mg/ml
Injektion Anidulafungin 0.5 mg/ml
5% Glucose 1982
kompatibel
Injektion Ampicillin sodium - sulbactam sodium 20/10 mg/ml
Injektion Aztreonam 40 mg/ml
5% Glucose 99
kompatibel
Injektion Ampicillin sodium - sulbactam sodium 20/10 mg/ml
Injektion Bivalirudin 5 mg/ml
5% Glucose 1713
kompatibel
Injektion Ampicillin sodium - sulbactam sodium 20/10 mg/ml
Injektion Ceftolozane / tazobactam 10/5 mg/ml
0,9% Natriumchlorid 3828
kompatibel
Injektion Ampicillin sodium - sulbactam sodium 20/10 mg/ml
Injektion Ceftolozane / tazobactam 10/5 mg/ml
5% Glucose 3828
Sofortiger Niederschlag nicht kompatibel
Injektion Ampicillin sodium - sulbactam sodium
Injektion Ciprofloxacin lactate
5% Glucose 1500
Sofortiger Niederschlag nicht kompatibel
Injektion Ampicillin sodium - sulbactam sodium 30 mg/ml
Injektion Ciprofloxacin lactate 2 mg/ml
5% Glucose 285
Sofortiger Niederschlag nicht kompatibel
Injektion Ampicillin sodium - sulbactam sodium
Injektion Ciprofloxacin lactate
0,9% Natriumchlorid 1500
Nicht spezifizierte Inkompatibilität nicht kompatibel
Injektion Ampicillin sodium - sulbactam sodium
Injektion Ciprofloxacin lactate
3529
Sofortige Trübung nicht kompatibel
Injektion Ampicillin sodium - sulbactam sodium 20/10 mg/ml
Injektion Cisatracurium besylate 5 mg/ml
5% Glucose 299
kompatibel
Injektion Ampicillin sodium - sulbactam sodium 20/10 mg/ml
Injektion Dexmedetomidine 4 µg/ml
0,9% Natriumchlorid 1712
kompatibel
Injektion Ampicillin sodium - sulbactam sodium 20/10 mg/ml
Injektion Docetaxel 0.9 mg/ml
5% Glucose 1754
Nicht spezifizierte Inkompatibilität nicht kompatibel
Injektion Ampicillin sodium - sulbactam sodium
Parenterale Ernährung (Lipid-frei) 5067
kompatibel
Injektion Ampicillin sodium - sulbactam sodium 20/10 mg/ml
Parenterale Ernährung (Lipid-frei) 301
Nicht spezifizierte Inkompatibilität nicht kompatibel
Injektion Ampicillin sodium - sulbactam sodium
Parenterale Ernährung (mit Lipiden) 5067
kompatibel
Injektion Ampicillin sodium - sulbactam sodium 20/10 mg/ml
Injektion Cisatracurium besylate 0.1 & 2 mg/ml
5% Glucose 299
Sofortige Trübung nicht kompatibel
Injektion Ampicillin sodium - sulbactam sodium 20/10 mg/ml
Injektion Cisatracurium besylate 5 mg/ml
0,9% Natriumchlorid 299
kompatibel
Injektion Ampicillin sodium - sulbactam sodium 2 & 15 mg/ml
Injektion Diltiazem hydrochloride 5 mg/ml
0,9% Natriumchlorid 198
kompatibel
Injektion Ampicillin sodium - sulbactam sodium 45 mg/ml
Injektion Diltiazem hydrochloride 1 mg/ml
0,9% Natriumchlorid 198
kompatibel
Injektion Ampicillin sodium - sulbactam sodium 20 mg/ml
Parenterale Ernährung (mit Lipiden) 4507
Sofortige Trübung nicht kompatibel
Injektion Ampicillin sodium - sulbactam sodium 45 mg/ml
Injektion Diltiazem hydrochloride 5 mg/ml
0,9% Natriumchlorid 198
kompatibel
Injektion Ampicillin sodium - sulbactam sodium 15 mg/ml
Injektion Enalaprilate 0.05 mg/ml
0,9% Natriumchlorid 1315
kompatibel
Injektion Ampicillin sodium - sulbactam sodium 20/10 mg/ml
Parenterale Ernährung (mit Lipiden) 1415
Nicht spezifizierte Inkompatibilität nicht kompatibel
Injektion Ampicillin sodium - sulbactam sodium
Injektion Erythromycin lactobionate
3674
kompatibel
Injektion Ampicillin sodium - sulbactam sodium 30 mg/ml
Injektion Famotidine
5% Glucose 397
kompatibel
Injektion Ampicillin sodium - sulbactam sodium 60 mg/ml
Injektion Fluconazole 2 mg/ml
0,9% Natriumchlorid 496
kompatibel
Injektion Ampicillin sodium - sulbactam sodium 15 mg/ml
Parenterale Ernährung (mit Lipiden) 4440
kompatibel
Injektion Ampicillin sodium - sulbactam sodium 20/10 mg/ml
Injektion Etoposide phosphate 5 mg/ml
5% Glucose 1410
kompatibel
Injektion Ampicillin sodium - sulbactam sodium 20/10 mg/ml
Injektion Fenoldopam mesylate 80 µg/ml
0,9% Natriumchlorid 1803
kompatibel
Injektion Ampicillin sodium - sulbactam sodium 20/10 mg/ml
Injektion Filgrastim 30 µg/ml
5% Glucose 244
kompatibel
Injektion Ampicillin sodium - sulbactam sodium 20/10 mg/ml
Injektion Fludarabine phosphate 1 mg/ml
5% Glucose 492
kompatibel
Injektion Ampicillin sodium - sulbactam sodium 20/10 mg/ml
Injektion Fosfomycin 30 mg/ml
5% Glucose 4055
kompatibel
Injektion Ampicillin sodium - sulbactam sodium 20/10 mg/ml
Injektion Fosfomycin 30 mg/ml
0,9% Natriumchlorid 4055
kompatibel
Injektion Ampicillin sodium - sulbactam sodium 45/22.4 mg/ml
Injektion Gallium nitrate 1 mg/ml
0,9% Natriumchlorid 91
kompatibel
Injektion Ampicillin sodium - sulbactam sodium 20/10 mg/ml
Injektion Gemcitabine hydrochloride 10 mg/ml
0,9% Natriumchlorid 1423
Nicht spezifizierte Inkompatibilität nicht kompatibel
Injektion Ampicillin sodium - sulbactam sodium
Injektion Gentamicin sulfate
3520
Nicht spezifizierte Inkompatibilität nicht kompatibel
Injektion Ampicillin sodium - sulbactam sodium
Injektion Gentamicin sulfate
3643
kompatibel
Injektion Ampicillin sodium - sulbactam sodium 20/10 mg/ml
Injektion Granisetron hydrochloride 0.05 mg/ml
0,9% Natriumchlorid 182
kompatibel
Injektion Ampicillin sodium - sulbactam sodium 30 mg/ml
Injektion Heparin sodium 50 UI/ml
Kein 317
kompatibel
Injektion Ampicillin sodium - sulbactam sodium 20/10 mg/ml
Injektion Hetastarch 60 mg/ml
spezifische Lösungsmittel 1721
Sofortige Trübung nicht kompatibel
Injektion Ampicillin sodium - sulbactam sodium 30 mg/ml
Injektion Idarubicin hydrochloride 1 mg/ml
0,9% Natriumchlorid 491
kompatibel
Injektion Ampicillin sodium - sulbactam sodium 30 mg/ml
Injektion Insulin 0.2 UI/ml
0,9% Natriumchlorid 129
Sofortige Trübung nicht kompatibel
Injektion Ampicillin sodium - sulbactam sodium 20/10 mg/ml
Injektion Isavuconazonium sulfate 1.5 mg/ml
0,9% Natriumchlorid 3829
kompatibel
Injektion Ampicillin sodium - sulbactam sodium
0,9% Natriumchlorid 5067
Sofortige Trübung nicht kompatibel
Injektion Ampicillin sodium - sulbactam sodium 20/10 mg/ml
Injektion Isavuconazonium sulfate 1.5 mg/ml
5% Glucose 3829
kompatibel
Injektion Ampicillin sodium - sulbactam sodium 20/10 mg/ml
Injektion Ketoprofene 3.2 mg/ml
0,9% Natriumchlorid 1847
Sofortiger Niederschlag nicht kompatibel
Injektion Ampicillin sodium - sulbactam sodium 20/10 mg/ml
Injektion Lansoprazole 0.55 mg/ml
0,9% Natriumchlorid 1625
kompatibel
Injektion Ampicillin sodium - sulbactam sodium 20/10 mg/ml
Injektion Linezolid 2 mg/ml
Kein 1925
kompatibel
Injektion Ampicillin sodium - sulbactam sodium 30 mg/ml
Injektion Morphine sulfate 1 mg/ml
0,9% Natriumchlorid 406
Sofortige Trübung nicht kompatibel
Injektion Ampicillin sodium - sulbactam sodium 15 mg/ml
Injektion Nicardipine hydrochloride 0.1 mg/ml
0,9% Natriumchlorid 1490
Sofortige Trübung nicht kompatibel
Injektion Ampicillin sodium - sulbactam sodium 15 mg/ml
Injektion Nicardipine hydrochloride 0.1 mg/ml
5% Glucose 1490
Sofortiger Niederschlag nicht kompatibel
Injektion Ampicillin sodium - sulbactam sodium 20/10 mg/ml
Injektion Ondansetron hydrochloride 1 mg/ml
0,9% Natriumchlorid 334
kompatibel
Injektion Ampicillin sodium - sulbactam sodium 20/10 mg/ml
Injektion Paclitaxel 1.2 mg/ml
5% Glucose 248
kompatibel
Injektion Ampicillin sodium - sulbactam sodium 20/10 mg/ml
Injektion Palonosetron hydrochloride 50 µg/ml
0,9% Natriumchlorid 2214
kompatibel
Injektion Ampicillin sodium - sulbactam sodium 20/10 mg/ml
Injektion Pemetrexed disodium 20 mg/ml
0,9% Natriumchlorid 1953
kompatibel
Injektion Ampicillin sodium - sulbactam sodium 30 mg/ml
Injektion Pethidine hydrochloride 10 mg/ml
0,9% Natriumchlorid 406
kompatibel
Injektion Ampicillin sodium - sulbactam sodium 20/10 mg/ml
Injektion Plazomicin sulfate 24 mg/ml
0,9% Natriumchlorid 4145
kompatibel
Injektion Ampicillin sodium - sulbactam sodium 20/10 mg/ml
Injektion Remifentanil hydrochloride 25 & 250 µg/ml
0,9% Natriumchlorid 59
Niederschlag nach 4 Stunden nicht kompatibel
Injektion Ampicillin sodium - sulbactam sodium 20/10 mg/ml
Injektion Sargramostim 10 µg/ml
0,9% Natriumchlorid 335
kompatibel
Injektion Ampicillin sodium - sulbactam sodium 200 mg/ml
Injektion Sugammadex 100 mg/ml
Kein 3372
kompatibel
Injektion Ampicillin sodium - sulbactam sodium 50 mg/ml
Injektion Tacrolimus 1000 µg/ml
0,9% Natriumchlorid 479
kompatibel
Injektion Ampicillin sodium - sulbactam sodium 20/10 mg/ml
Injektion Tedizolid phosphate 0.8 mg/ml
0,9% Natriumchlorid 3827
kompatibel
Injektion Ampicillin sodium - sulbactam sodium 20/10 mg/ml
Injektion Telavancin hydrochloride 7.5 mg/ml
5% Glucose 3254
kompatibel
Injektion Ampicillin sodium - sulbactam sodium 20/10 mg/ml
Injektion Telavancin hydrochloride 7.5 mg/ml
0,9% Natriumchlorid 3254
kompatibel
Injektion Ampicillin sodium - sulbactam sodium 20/10 mg/ml
Injektion Telavancin hydrochloride 7.5 mg/ml
Ringer Lactat - Lösung 3254
kompatibel
Injektion Ampicillin sodium - sulbactam sodium 20/10 mg/ml
Injektion Teniposide 0.1 mg/ml
5% Glucose 905
kompatibel
Injektion Ampicillin sodium - sulbactam sodium 30 mg/ml
Injektion Theophylline 4 mg/ml
Kein 317
kompatibel
Injektion Ampicillin sodium - sulbactam sodium 20/10 mg/ml
Injektion Thiotepa 1 mg/ml
5% Glucose 249
kompatibel
Injektion Ampicillin sodium - sulbactam sodium 10/20 mg/ml
Injektion Tramadol hydrochloride 0,4 mg/ml
0,9% Natriumchlorid 2002
kompatibel
Injektion Ampicillin sodium - sulbactam sodium 1/0.5 >> 250/125 mg/ml
Injektion Vancomycin hydrochloride 2 mg/ml
5% Glucose 1674
kompatibel
Injektion Ampicillin sodium - sulbactam sodium 1/0.5 >> 50/25 mg/ml
Injektion Vancomycin hydrochloride 20 mg/ml
5% Glucose 1674
Sofortiger Niederschlag nicht kompatibel
Injektion Ampicillin sodium - sulbactam sodium 250-125 mg/ml
Injektion Vancomycin hydrochloride 20 mg/ml
5% Glucose 1674

  Mentions Légales