Ultimo aggiornamento :
27/04/2026
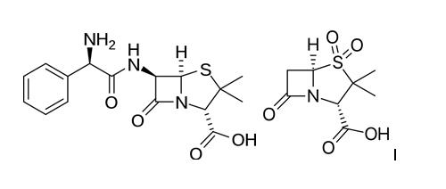
Antibiotico   Ampicillin sodium - sulbactam sodium  
Iniezione
Stabilità in soluzione Stabilità in miscela Fattori che influenzano la stabilità Compatibilità metodo di iniezione Bibliografia pdf
   Struttura chimica  

Nome commerciale   Nome commerciale     

Trade names are indicative and excipients composition can be different depending on the country and manufacturers

Alfasid Turchia
Ampibac Colombia
Ampibactam Venezuela
Ampicillin sulbactam Australia
Ampicillina sodica - sulbactam Brasile, Ecuador
Ampictam Egitto
Ampiplus Arabia Saudita, Romania
Ampisid Turchia
Ampixim Venezuela
Bacimex Spagna
Begalin Grecia
Bethacil Italia
Cinclox India
Combicid Turchia
Darzitil Argentina
Duobaktam Turchia
Duocid Turchia
Galotam Spagna
Libractam Chile
Loricin Italia
Prixin Argentina
Ranpisul Messico
Retarpen Spagna
Sabect Egitto
Sulamp Colombia
Sulbacter Venezuela
Sulbaksit Turchia
Sulbin Egitto
Sulcid Turchia
Sumitan Colombia, Venezuela
Synerpen Egitto
Ultracillin Egitto
Unacid Germania
Unacim Francia
Unasyn Arabia Saudita, Austria, Brasile, Chile, Colombia, Ecuador, Egitto, Germania, Giappone, Italia, Malaysia, Marocco, Messico, Perù, Polonia, Spagna, Stati Uniti d’America, Ungheria
Unictam Egitto
Xilbac Perù
Compatibilità   Iniezione   Compatibilità : Ampicillin sodium - sulbactam sodium              
explication_incompatibilite_molecules
Molecola Solvente Bibliografia
Compatibile
Iniezione Ampicillin sodium - sulbactam sodium 20/10 mg/ml
Iniezione Amifostine 10 mg/ml
Glucosio 5% 3
Instabilità chimica Incompatibile
Iniezione Ampicillin sodium - sulbactam sodium
Iniezione Amikacin sulfate
3549
Precipitazioni immediate Incompatibile
Iniezione Ampicillin sodium - sulbactam sodium 30 mg/ml
Iniezione Amiodarone hydrochloride 6 mg/ml
Cloruro di sodio 0,9% 1611
Precipitazioni immediate Incompatibile
Iniezione Ampicillin sodium - sulbactam sodium 30 mg/ml
Iniezione Amiodarone hydrochloride 6 mg/ml
Glucosio 5% 1611
Precipitazioni immediate Incompatibile
Iniezione Ampicillin sodium - sulbactam sodium 20/10 mg/ml
Iniezione Amphotericin B cholesteryl sulfate complex 0.83 mg/ml
Glucosio 5% 921
Compatibile
Iniezione Ampicillin sodium - sulbactam sodium 20/10 mg/ml
Iniezione Anidulafungin 0.5 mg/ml
Glucosio 5% 1982
Compatibile
Iniezione Ampicillin sodium - sulbactam sodium 20/10 mg/ml
Iniezione Aztreonam 40 mg/ml
Glucosio 5% 99
Compatibile
Iniezione Ampicillin sodium - sulbactam sodium 20/10 mg/ml
Iniezione Bivalirudin 5 mg/ml
Glucosio 5% 1713
Compatibile
Iniezione Ampicillin sodium - sulbactam sodium 20/10 mg/ml
Iniezione Ceftolozane / tazobactam 10/5 mg/ml
Cloruro di sodio 0,9% 3828
Compatibile
Iniezione Ampicillin sodium - sulbactam sodium 20/10 mg/ml
Iniezione Ceftolozane / tazobactam 10/5 mg/ml
Glucosio 5% 3828
Precipitazioni immediate Incompatibile
Iniezione Ampicillin sodium - sulbactam sodium
Iniezione Ciprofloxacin lactate
Glucosio 5% 1500
Precipitazioni immediate Incompatibile
Iniezione Ampicillin sodium - sulbactam sodium 30 mg/ml
Iniezione Ciprofloxacin lactate 2 mg/ml
Glucosio 5% 285
Precipitazioni immediate Incompatibile
Iniezione Ampicillin sodium - sulbactam sodium
Iniezione Ciprofloxacin lactate
Cloruro di sodio 0,9% 1500
Incompatibilità non specificata Incompatibile
Iniezione Ampicillin sodium - sulbactam sodium
Iniezione Ciprofloxacin lactate
3529
Torbidità immediata Incompatibile
Iniezione Ampicillin sodium - sulbactam sodium 20/10 mg/ml
Iniezione Cisatracurium besylate 5 mg/ml
Glucosio 5% 299
Compatibile
Iniezione Ampicillin sodium - sulbactam sodium 20/10 mg/ml
Iniezione Dexmedetomidine 4 µg/ml
Cloruro di sodio 0,9% 1712
Compatibile
Iniezione Ampicillin sodium - sulbactam sodium 20/10 mg/ml
Iniezione Docetaxel 0.9 mg/ml
Glucosio 5% 1754
Incompatibilità non specificata Incompatibile
Iniezione Ampicillin sodium - sulbactam sodium
Nutrizione parenterale (privo di lipidi) 5067
Compatibile
Iniezione Ampicillin sodium - sulbactam sodium 20/10 mg/ml
Nutrizione parenterale (privo di lipidi) 301
Incompatibilità non specificata Incompatibile
Iniezione Ampicillin sodium - sulbactam sodium
Nutrizione parenterale (con lipidi) 5067
Compatibile
Iniezione Ampicillin sodium - sulbactam sodium 20/10 mg/ml
Iniezione Cisatracurium besylate 0.1 & 2 mg/ml
Glucosio 5% 299
Torbidità immediata Incompatibile
Iniezione Ampicillin sodium - sulbactam sodium 20/10 mg/ml
Iniezione Cisatracurium besylate 5 mg/ml
Cloruro di sodio 0,9% 299
Compatibile
Iniezione Ampicillin sodium - sulbactam sodium 2 & 15 mg/ml
Iniezione Diltiazem hydrochloride 5 mg/ml
Cloruro di sodio 0,9% 198
Compatibile
Iniezione Ampicillin sodium - sulbactam sodium 45 mg/ml
Iniezione Diltiazem hydrochloride 1 mg/ml
Cloruro di sodio 0,9% 198
Compatibile
Iniezione Ampicillin sodium - sulbactam sodium 20 mg/ml
Nutrizione parenterale (con lipidi) 4507
Torbidità immediata Incompatibile
Iniezione Ampicillin sodium - sulbactam sodium 45 mg/ml
Iniezione Diltiazem hydrochloride 5 mg/ml
Cloruro di sodio 0,9% 198
Compatibile
Iniezione Ampicillin sodium - sulbactam sodium 15 mg/ml
Iniezione Enalaprilate 0.05 mg/ml
Cloruro di sodio 0,9% 1315
Compatibile
Iniezione Ampicillin sodium - sulbactam sodium 20/10 mg/ml
Nutrizione parenterale (con lipidi) 1415
Incompatibilità non specificata Incompatibile
Iniezione Ampicillin sodium - sulbactam sodium
Iniezione Erythromycin lactobionate
3674
Compatibile
Iniezione Ampicillin sodium - sulbactam sodium 30 mg/ml
Iniezione Famotidine
Glucosio 5% 397
Compatibile
Iniezione Ampicillin sodium - sulbactam sodium 60 mg/ml
Iniezione Fluconazole 2 mg/ml
Cloruro di sodio 0,9% 496
Compatibile
Iniezione Ampicillin sodium - sulbactam sodium 15 mg/ml
Nutrizione parenterale (con lipidi) 4440
Compatibile
Iniezione Ampicillin sodium - sulbactam sodium 20/10 mg/ml
Iniezione Etoposide phosphate 5 mg/ml
Glucosio 5% 1410
Compatibile
Iniezione Ampicillin sodium - sulbactam sodium 20/10 mg/ml
Iniezione Fenoldopam mesylate 80 µg/ml
Cloruro di sodio 0,9% 1803
Compatibile
Iniezione Ampicillin sodium - sulbactam sodium 20/10 mg/ml
Iniezione Filgrastim 30 µg/ml
Glucosio 5% 244
Compatibile
Iniezione Ampicillin sodium - sulbactam sodium 20/10 mg/ml
Iniezione Fludarabine phosphate 1 mg/ml
Glucosio 5% 492
Compatibile
Iniezione Ampicillin sodium - sulbactam sodium 20/10 mg/ml
Iniezione Fosfomycin 30 mg/ml
Glucosio 5% 4055
Compatibile
Iniezione Ampicillin sodium - sulbactam sodium 20/10 mg/ml
Iniezione Fosfomycin 30 mg/ml
Cloruro di sodio 0,9% 4055
Compatibile
Iniezione Ampicillin sodium - sulbactam sodium 45/22.4 mg/ml
Iniezione Gallium nitrate 1 mg/ml
Cloruro di sodio 0,9% 91
Compatibile
Iniezione Ampicillin sodium - sulbactam sodium 20/10 mg/ml
Iniezione Gemcitabine hydrochloride 10 mg/ml
Cloruro di sodio 0,9% 1423
Incompatibilità non specificata Incompatibile
Iniezione Ampicillin sodium - sulbactam sodium
Iniezione Gentamicin sulfate
3520
Incompatibilità non specificata Incompatibile
Iniezione Ampicillin sodium - sulbactam sodium
Iniezione Gentamicin sulfate
3643
Compatibile
Iniezione Ampicillin sodium - sulbactam sodium 20/10 mg/ml
Iniezione Granisetron hydrochloride 0.05 mg/ml
Cloruro di sodio 0,9% 182
Compatibile
Iniezione Ampicillin sodium - sulbactam sodium 30 mg/ml
Iniezione Heparin sodium 50 UI/ml
Nessuno 317
Compatibile
Iniezione Ampicillin sodium - sulbactam sodium 20/10 mg/ml
Iniezione Hetastarch 60 mg/ml
solvente specifico 1721
Torbidità immediata Incompatibile
Iniezione Ampicillin sodium - sulbactam sodium 30 mg/ml
Iniezione Idarubicin hydrochloride 1 mg/ml
Cloruro di sodio 0,9% 491
Compatibile
Iniezione Ampicillin sodium - sulbactam sodium 30 mg/ml
Iniezione Insulin 0.2 UI/ml
Cloruro di sodio 0,9% 129
Torbidità immediata Incompatibile
Iniezione Ampicillin sodium - sulbactam sodium 20/10 mg/ml
Iniezione Isavuconazonium sulfate 1.5 mg/ml
Cloruro di sodio 0,9% 3829
Compatibile
Iniezione Ampicillin sodium - sulbactam sodium
Cloruro di sodio 0,9% 5067
Torbidità immediata Incompatibile
Iniezione Ampicillin sodium - sulbactam sodium 20/10 mg/ml
Iniezione Isavuconazonium sulfate 1.5 mg/ml
Glucosio 5% 3829
Compatibile
Iniezione Ampicillin sodium - sulbactam sodium 20/10 mg/ml
Iniezione Ketoprofene 3.2 mg/ml
Cloruro di sodio 0,9% 1847
Precipitazioni immediate Incompatibile
Iniezione Ampicillin sodium - sulbactam sodium 20/10 mg/ml
Iniezione Lansoprazole 0.55 mg/ml
Cloruro di sodio 0,9% 1625
Compatibile
Iniezione Ampicillin sodium - sulbactam sodium 20/10 mg/ml
Iniezione Linezolid 2 mg/ml
Nessuno 1925
Compatibile
Iniezione Ampicillin sodium - sulbactam sodium 30 mg/ml
Iniezione Morphine sulfate 1 mg/ml
Cloruro di sodio 0,9% 406
Torbidità immediata Incompatibile
Iniezione Ampicillin sodium - sulbactam sodium 15 mg/ml
Iniezione Nicardipine hydrochloride 0.1 mg/ml
Cloruro di sodio 0,9% 1490
Torbidità immediata Incompatibile
Iniezione Ampicillin sodium - sulbactam sodium 15 mg/ml
Iniezione Nicardipine hydrochloride 0.1 mg/ml
Glucosio 5% 1490
Precipitazioni immediate Incompatibile
Iniezione Ampicillin sodium - sulbactam sodium 20/10 mg/ml
Iniezione Ondansetron hydrochloride 1 mg/ml
Cloruro di sodio 0,9% 334
Compatibile
Iniezione Ampicillin sodium - sulbactam sodium 20/10 mg/ml
Iniezione Paclitaxel 1.2 mg/ml
Glucosio 5% 248
Compatibile
Iniezione Ampicillin sodium - sulbactam sodium 20/10 mg/ml
Iniezione Palonosetron hydrochloride 50 µg/ml
Cloruro di sodio 0,9% 2214
Compatibile
Iniezione Ampicillin sodium - sulbactam sodium 20/10 mg/ml
Iniezione Pemetrexed disodium 20 mg/ml
Cloruro di sodio 0,9% 1953
Compatibile
Iniezione Ampicillin sodium - sulbactam sodium 30 mg/ml
Iniezione Pethidine hydrochloride 10 mg/ml
Cloruro di sodio 0,9% 406
Compatibile
Iniezione Ampicillin sodium - sulbactam sodium 20/10 mg/ml
Iniezione Plazomicin sulfate 24 mg/ml
Cloruro di sodio 0,9% 4145
Compatibile
Iniezione Ampicillin sodium - sulbactam sodium 20/10 mg/ml
Iniezione Remifentanil hydrochloride 25 & 250 µg/ml
Cloruro di sodio 0,9% 59
Precipitazioni dopo 4 ore Incompatibile
Iniezione Ampicillin sodium - sulbactam sodium 20/10 mg/ml
Iniezione Sargramostim 10 µg/ml
Cloruro di sodio 0,9% 335
Compatibile
Iniezione Ampicillin sodium - sulbactam sodium 200 mg/ml
Iniezione Sugammadex 100 mg/ml
Nessuno 3372
Compatibile
Iniezione Ampicillin sodium - sulbactam sodium 50 mg/ml
Iniezione Tacrolimus 1000 µg/ml
Cloruro di sodio 0,9% 479
Compatibile
Iniezione Ampicillin sodium - sulbactam sodium 20/10 mg/ml
Iniezione Tedizolid phosphate 0.8 mg/ml
Cloruro di sodio 0,9% 3827
Compatibile
Iniezione Ampicillin sodium - sulbactam sodium 20/10 mg/ml
Iniezione Telavancin hydrochloride 7.5 mg/ml
Glucosio 5% 3254
Compatibile
Iniezione Ampicillin sodium - sulbactam sodium 20/10 mg/ml
Iniezione Telavancin hydrochloride 7.5 mg/ml
Cloruro di sodio 0,9% 3254
Compatibile
Iniezione Ampicillin sodium - sulbactam sodium 20/10 mg/ml
Iniezione Telavancin hydrochloride 7.5 mg/ml
Ringer lattato 3254
Compatibile
Iniezione Ampicillin sodium - sulbactam sodium 20/10 mg/ml
Iniezione Teniposide 0.1 mg/ml
Glucosio 5% 905
Compatibile
Iniezione Ampicillin sodium - sulbactam sodium 30 mg/ml
Iniezione Theophylline 4 mg/ml
Nessuno 317
Compatibile
Iniezione Ampicillin sodium - sulbactam sodium 20/10 mg/ml
Iniezione Thiotepa 1 mg/ml
Glucosio 5% 249
Compatibile
Iniezione Ampicillin sodium - sulbactam sodium 10/20 mg/ml
Iniezione Tramadol hydrochloride 0,4 mg/ml
Cloruro di sodio 0,9% 2002
Compatibile
Iniezione Ampicillin sodium - sulbactam sodium 1/0.5 >> 250/125 mg/ml
Iniezione Vancomycin hydrochloride 2 mg/ml
Glucosio 5% 1674
Compatibile
Iniezione Ampicillin sodium - sulbactam sodium 1/0.5 >> 50/25 mg/ml
Iniezione Vancomycin hydrochloride 20 mg/ml
Glucosio 5% 1674
Precipitazioni immediate Incompatibile
Iniezione Ampicillin sodium - sulbactam sodium 250-125 mg/ml
Iniezione Vancomycin hydrochloride 20 mg/ml
Glucosio 5% 1674

  Mentions Légales