Laatste update :
27/04/2026
Antibioticum   Ampicillin sodium - sulbactam sodium  
injecteerbaar geneesmiddel
Stabiliteit in oplossing Stabiliteit in mengsels Factoren die de stabiliteit beïnvloeden Verenigbaarheden Toedieningswijze Literatuur pdf
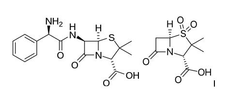
   Molecuulstructuur  

Merknamen in verschillende landen   Merknamen in verschillende landen     

Handelsnamen zijn slechts een indicatie; de samenstelling van hulpstoffen kan per land variëren afhankelijk van de fabrikant

Alfasid Turkije
Ampibac Colombia
Ampibactam Venezuela
Ampicillin sulbactam Australië
Ampicillina sodica - sulbactam Brazilië, Ecuador
Ampictam Egypte
Ampiplus Roemenië, Saudi-Arabië
Ampisid Turkije
Ampixim Venezuela
Bacimex Spanje
Begalin Griekenland
Bethacil Italië
Cinclox Indië
Combicid Turkije
Darzitil Argentinië
Duobaktam Turkije
Duocid Turkije
Galotam Spanje
Libractam Chili
Loricin Italië
Prixin Argentinië
Ranpisul Mexico
Retarpen Spanje
Sabect Egypte
Sulamp Colombia
Sulbacter Venezuela
Sulbaksit Turkije
Sulbin Egypte
Sulcid Turkije
Sumitan Colombia, Venezuela
Synerpen Egypte
Ultracillin Egypte
Unacid Duitsland
Unacim Frankrijk
Unasyn Brazilië, Chili, Colombia, Duitsland, Ecuador, Egypte, Hongarije, Italië, Japan, Maleisië, Marokko, Mexico, Oostenrijk, Peru, Polen, Saudi-Arabië, Spanje, USA
Unictam Egypte
Xilbac Peru
Verenigbaarheden   injecteerbaar geneesmiddel   Verenigbaarheden : Ampicillin sodium - sulbactam sodium              
In dit scherm worden de verenigbaarheden en onverenigbaarheden weergegeven. In het geval van een onverenigbaarheid wordt ook het type (neerslag, kleurverandering, modificatie van een emulsie, etc) weergegeven. De weergegeven verenigbaarheden zijn meestal alleen op uiterlijk beoordeeld, er heeft zelden een chemische beoordeling van iedere component plaatsgevonden. De verenigbaarheden betreffen gelijktijdige toediening aan de patient middels de Y-site. De data kan niet gebruikt worden in de beoordeling van verenigbaarheden van componenten in infuuszakken of spuiten. Die informatie is te vinden onder ‘stabiliteit in mengsels’.
Stof Oplosmiddel Literatuur
Verenigbaar
injecteerbaar geneesmiddel Ampicillin sodium - sulbactam sodium 20/10 mg/ml
injecteerbaar geneesmiddel Amifostine 10 mg/ml
Glucose 5% 3
Chemische instabiliteit Onverenigbaar
injecteerbaar geneesmiddel Ampicillin sodium - sulbactam sodium
injecteerbaar geneesmiddel Amikacin sulfate
3549
Onmiddellijke neerslag Onverenigbaar
injecteerbaar geneesmiddel Ampicillin sodium - sulbactam sodium 30 mg/ml
injecteerbaar geneesmiddel Amiodarone hydrochloride 6 mg/ml
Natriumchloride 0,9% 1611
Onmiddellijke neerslag Onverenigbaar
injecteerbaar geneesmiddel Ampicillin sodium - sulbactam sodium 30 mg/ml
injecteerbaar geneesmiddel Amiodarone hydrochloride 6 mg/ml
Glucose 5% 1611
Onmiddellijke neerslag Onverenigbaar
injecteerbaar geneesmiddel Ampicillin sodium - sulbactam sodium 20/10 mg/ml
injecteerbaar geneesmiddel Amphotericin B cholesteryl sulfate complex 0.83 mg/ml
Glucose 5% 921
Verenigbaar
injecteerbaar geneesmiddel Ampicillin sodium - sulbactam sodium 20/10 mg/ml
injecteerbaar geneesmiddel Anidulafungin 0.5 mg/ml
Glucose 5% 1982
Verenigbaar
injecteerbaar geneesmiddel Ampicillin sodium - sulbactam sodium 20/10 mg/ml
injecteerbaar geneesmiddel Aztreonam 40 mg/ml
Glucose 5% 99
Verenigbaar
injecteerbaar geneesmiddel Ampicillin sodium - sulbactam sodium 20/10 mg/ml
injecteerbaar geneesmiddel Bivalirudin 5 mg/ml
Glucose 5% 1713
Verenigbaar
injecteerbaar geneesmiddel Ampicillin sodium - sulbactam sodium 20/10 mg/ml
injecteerbaar geneesmiddel Ceftolozane / tazobactam 10/5 mg/ml
Natriumchloride 0,9% 3828
Verenigbaar
injecteerbaar geneesmiddel Ampicillin sodium - sulbactam sodium 20/10 mg/ml
injecteerbaar geneesmiddel Ceftolozane / tazobactam 10/5 mg/ml
Glucose 5% 3828
Onmiddellijke neerslag Onverenigbaar
injecteerbaar geneesmiddel Ampicillin sodium - sulbactam sodium
injecteerbaar geneesmiddel Ciprofloxacin lactate
Glucose 5% 1500
Onmiddellijke neerslag Onverenigbaar
injecteerbaar geneesmiddel Ampicillin sodium - sulbactam sodium 30 mg/ml
injecteerbaar geneesmiddel Ciprofloxacin lactate 2 mg/ml
Glucose 5% 285
Onmiddellijke neerslag Onverenigbaar
injecteerbaar geneesmiddel Ampicillin sodium - sulbactam sodium
injecteerbaar geneesmiddel Ciprofloxacin lactate
Natriumchloride 0,9% 1500
Niet-gespecificeerde incompatibiliteit Onverenigbaar
injecteerbaar geneesmiddel Ampicillin sodium - sulbactam sodium
injecteerbaar geneesmiddel Ciprofloxacin lactate
3529
Onmiddellijke troebelheid Onverenigbaar
injecteerbaar geneesmiddel Ampicillin sodium - sulbactam sodium 20/10 mg/ml
injecteerbaar geneesmiddel Cisatracurium besylate 5 mg/ml
Glucose 5% 299
Verenigbaar
injecteerbaar geneesmiddel Ampicillin sodium - sulbactam sodium 20/10 mg/ml
injecteerbaar geneesmiddel Dexmedetomidine 4 µg/ml
Natriumchloride 0,9% 1712
Verenigbaar
injecteerbaar geneesmiddel Ampicillin sodium - sulbactam sodium 20/10 mg/ml
injecteerbaar geneesmiddel Docetaxel 0.9 mg/ml
Glucose 5% 1754
Niet-gespecificeerde incompatibiliteit Onverenigbaar
injecteerbaar geneesmiddel Ampicillin sodium - sulbactam sodium
Parenterale voeding (zonder vet) 5067
Verenigbaar
injecteerbaar geneesmiddel Ampicillin sodium - sulbactam sodium 20/10 mg/ml
Parenterale voeding (zonder vet) 301
Niet-gespecificeerde incompatibiliteit Onverenigbaar
injecteerbaar geneesmiddel Ampicillin sodium - sulbactam sodium
Parenterale voeding (met lipiden) 5067
Verenigbaar
injecteerbaar geneesmiddel Ampicillin sodium - sulbactam sodium 20/10 mg/ml
injecteerbaar geneesmiddel Cisatracurium besylate 0.1 & 2 mg/ml
Glucose 5% 299
Onmiddellijke troebelheid Onverenigbaar
injecteerbaar geneesmiddel Ampicillin sodium - sulbactam sodium 20/10 mg/ml
injecteerbaar geneesmiddel Cisatracurium besylate 5 mg/ml
Natriumchloride 0,9% 299
Verenigbaar
injecteerbaar geneesmiddel Ampicillin sodium - sulbactam sodium 2 & 15 mg/ml
injecteerbaar geneesmiddel Diltiazem hydrochloride 5 mg/ml
Natriumchloride 0,9% 198
Verenigbaar
injecteerbaar geneesmiddel Ampicillin sodium - sulbactam sodium 45 mg/ml
injecteerbaar geneesmiddel Diltiazem hydrochloride 1 mg/ml
Natriumchloride 0,9% 198
Verenigbaar
injecteerbaar geneesmiddel Ampicillin sodium - sulbactam sodium 20 mg/ml
Parenterale voeding (met lipiden) 4507
Onmiddellijke troebelheid Onverenigbaar
injecteerbaar geneesmiddel Ampicillin sodium - sulbactam sodium 45 mg/ml
injecteerbaar geneesmiddel Diltiazem hydrochloride 5 mg/ml
Natriumchloride 0,9% 198
Verenigbaar
injecteerbaar geneesmiddel Ampicillin sodium - sulbactam sodium 15 mg/ml
injecteerbaar geneesmiddel Enalaprilate 0.05 mg/ml
Natriumchloride 0,9% 1315
Verenigbaar
injecteerbaar geneesmiddel Ampicillin sodium - sulbactam sodium 20/10 mg/ml
Parenterale voeding (met lipiden) 1415
Niet-gespecificeerde incompatibiliteit Onverenigbaar
injecteerbaar geneesmiddel Ampicillin sodium - sulbactam sodium
injecteerbaar geneesmiddel Erythromycin lactobionate
3674
Verenigbaar
injecteerbaar geneesmiddel Ampicillin sodium - sulbactam sodium 30 mg/ml
injecteerbaar geneesmiddel Famotidine
Glucose 5% 397
Verenigbaar
injecteerbaar geneesmiddel Ampicillin sodium - sulbactam sodium 60 mg/ml
injecteerbaar geneesmiddel Fluconazole 2 mg/ml
Natriumchloride 0,9% 496
Verenigbaar
injecteerbaar geneesmiddel Ampicillin sodium - sulbactam sodium 15 mg/ml
Parenterale voeding (met lipiden) 4440
Verenigbaar
injecteerbaar geneesmiddel Ampicillin sodium - sulbactam sodium 20/10 mg/ml
injecteerbaar geneesmiddel Etoposide phosphate 5 mg/ml
Glucose 5% 1410
Verenigbaar
injecteerbaar geneesmiddel Ampicillin sodium - sulbactam sodium 20/10 mg/ml
injecteerbaar geneesmiddel Fenoldopam mesylate 80 µg/ml
Natriumchloride 0,9% 1803
Verenigbaar
injecteerbaar geneesmiddel Ampicillin sodium - sulbactam sodium 20/10 mg/ml
injecteerbaar geneesmiddel Filgrastim 30 µg/ml
Glucose 5% 244
Verenigbaar
injecteerbaar geneesmiddel Ampicillin sodium - sulbactam sodium 20/10 mg/ml
injecteerbaar geneesmiddel Fludarabine phosphate 1 mg/ml
Glucose 5% 492
Verenigbaar
injecteerbaar geneesmiddel Ampicillin sodium - sulbactam sodium 20/10 mg/ml
injecteerbaar geneesmiddel Fosfomycin 30 mg/ml
Glucose 5% 4055
Verenigbaar
injecteerbaar geneesmiddel Ampicillin sodium - sulbactam sodium 20/10 mg/ml
injecteerbaar geneesmiddel Fosfomycin 30 mg/ml
Natriumchloride 0,9% 4055
Verenigbaar
injecteerbaar geneesmiddel Ampicillin sodium - sulbactam sodium 45/22.4 mg/ml
injecteerbaar geneesmiddel Gallium nitrate 1 mg/ml
Natriumchloride 0,9% 91
Verenigbaar
injecteerbaar geneesmiddel Ampicillin sodium - sulbactam sodium 20/10 mg/ml
injecteerbaar geneesmiddel Gemcitabine hydrochloride 10 mg/ml
Natriumchloride 0,9% 1423
Niet-gespecificeerde incompatibiliteit Onverenigbaar
injecteerbaar geneesmiddel Ampicillin sodium - sulbactam sodium
injecteerbaar geneesmiddel Gentamicin sulfate
3520
Niet-gespecificeerde incompatibiliteit Onverenigbaar
injecteerbaar geneesmiddel Ampicillin sodium - sulbactam sodium
injecteerbaar geneesmiddel Gentamicin sulfate
3643
Verenigbaar
injecteerbaar geneesmiddel Ampicillin sodium - sulbactam sodium 20/10 mg/ml
injecteerbaar geneesmiddel Granisetron hydrochloride 0.05 mg/ml
Natriumchloride 0,9% 182
Verenigbaar
injecteerbaar geneesmiddel Ampicillin sodium - sulbactam sodium 30 mg/ml
injecteerbaar geneesmiddel Heparin sodium 50 UI/ml
Geen 317
Verenigbaar
injecteerbaar geneesmiddel Ampicillin sodium - sulbactam sodium 20/10 mg/ml
injecteerbaar geneesmiddel Hetastarch 60 mg/ml
specifieke solvent 1721
Onmiddellijke troebelheid Onverenigbaar
injecteerbaar geneesmiddel Ampicillin sodium - sulbactam sodium 30 mg/ml
injecteerbaar geneesmiddel Idarubicin hydrochloride 1 mg/ml
Natriumchloride 0,9% 491
Verenigbaar
injecteerbaar geneesmiddel Ampicillin sodium - sulbactam sodium 30 mg/ml
injecteerbaar geneesmiddel Insulin 0.2 UI/ml
Natriumchloride 0,9% 129
Onmiddellijke troebelheid Onverenigbaar
injecteerbaar geneesmiddel Ampicillin sodium - sulbactam sodium 20/10 mg/ml
injecteerbaar geneesmiddel Isavuconazonium sulfate 1.5 mg/ml
Natriumchloride 0,9% 3829
Verenigbaar
injecteerbaar geneesmiddel Ampicillin sodium - sulbactam sodium
Natriumchloride 0,9% 5067
Onmiddellijke troebelheid Onverenigbaar
injecteerbaar geneesmiddel Ampicillin sodium - sulbactam sodium 20/10 mg/ml
injecteerbaar geneesmiddel Isavuconazonium sulfate 1.5 mg/ml
Glucose 5% 3829
Verenigbaar
injecteerbaar geneesmiddel Ampicillin sodium - sulbactam sodium 20/10 mg/ml
injecteerbaar geneesmiddel Ketoprofene 3.2 mg/ml
Natriumchloride 0,9% 1847
Onmiddellijke neerslag Onverenigbaar
injecteerbaar geneesmiddel Ampicillin sodium - sulbactam sodium 20/10 mg/ml
injecteerbaar geneesmiddel Lansoprazole 0.55 mg/ml
Natriumchloride 0,9% 1625
Verenigbaar
injecteerbaar geneesmiddel Ampicillin sodium - sulbactam sodium 20/10 mg/ml
injecteerbaar geneesmiddel Linezolid 2 mg/ml
Geen 1925
Verenigbaar
injecteerbaar geneesmiddel Ampicillin sodium - sulbactam sodium 30 mg/ml
injecteerbaar geneesmiddel Morphine sulfate 1 mg/ml
Natriumchloride 0,9% 406
Onmiddellijke troebelheid Onverenigbaar
injecteerbaar geneesmiddel Ampicillin sodium - sulbactam sodium 15 mg/ml
injecteerbaar geneesmiddel Nicardipine hydrochloride 0.1 mg/ml
Natriumchloride 0,9% 1490
Onmiddellijke troebelheid Onverenigbaar
injecteerbaar geneesmiddel Ampicillin sodium - sulbactam sodium 15 mg/ml
injecteerbaar geneesmiddel Nicardipine hydrochloride 0.1 mg/ml
Glucose 5% 1490
Onmiddellijke neerslag Onverenigbaar
injecteerbaar geneesmiddel Ampicillin sodium - sulbactam sodium 20/10 mg/ml
injecteerbaar geneesmiddel Ondansetron hydrochloride 1 mg/ml
Natriumchloride 0,9% 334
Verenigbaar
injecteerbaar geneesmiddel Ampicillin sodium - sulbactam sodium 20/10 mg/ml
injecteerbaar geneesmiddel Paclitaxel 1.2 mg/ml
Glucose 5% 248
Verenigbaar
injecteerbaar geneesmiddel Ampicillin sodium - sulbactam sodium 20/10 mg/ml
injecteerbaar geneesmiddel Palonosetron hydrochloride 50 µg/ml
Natriumchloride 0,9% 2214
Verenigbaar
injecteerbaar geneesmiddel Ampicillin sodium - sulbactam sodium 20/10 mg/ml
injecteerbaar geneesmiddel Pemetrexed disodium 20 mg/ml
Natriumchloride 0,9% 1953
Verenigbaar
injecteerbaar geneesmiddel Ampicillin sodium - sulbactam sodium 30 mg/ml
injecteerbaar geneesmiddel Pethidine hydrochloride 10 mg/ml
Natriumchloride 0,9% 406
Verenigbaar
injecteerbaar geneesmiddel Ampicillin sodium - sulbactam sodium 20/10 mg/ml
injecteerbaar geneesmiddel Plazomicin sulfate 24 mg/ml
Natriumchloride 0,9% 4145
Verenigbaar
injecteerbaar geneesmiddel Ampicillin sodium - sulbactam sodium 20/10 mg/ml
injecteerbaar geneesmiddel Remifentanil hydrochloride 25 & 250 µg/ml
Natriumchloride 0,9% 59
Neerslag na 4 uur Onverenigbaar
injecteerbaar geneesmiddel Ampicillin sodium - sulbactam sodium 20/10 mg/ml
injecteerbaar geneesmiddel Sargramostim 10 µg/ml
Natriumchloride 0,9% 335
Verenigbaar
injecteerbaar geneesmiddel Ampicillin sodium - sulbactam sodium 200 mg/ml
injecteerbaar geneesmiddel Sugammadex 100 mg/ml
Geen 3372
Verenigbaar
injecteerbaar geneesmiddel Ampicillin sodium - sulbactam sodium 50 mg/ml
injecteerbaar geneesmiddel Tacrolimus 1000 µg/ml
Natriumchloride 0,9% 479
Verenigbaar
injecteerbaar geneesmiddel Ampicillin sodium - sulbactam sodium 20/10 mg/ml
injecteerbaar geneesmiddel Tedizolid phosphate 0.8 mg/ml
Natriumchloride 0,9% 3827
Verenigbaar
injecteerbaar geneesmiddel Ampicillin sodium - sulbactam sodium 20/10 mg/ml
injecteerbaar geneesmiddel Telavancin hydrochloride 7.5 mg/ml
Glucose 5% 3254
Verenigbaar
injecteerbaar geneesmiddel Ampicillin sodium - sulbactam sodium 20/10 mg/ml
injecteerbaar geneesmiddel Telavancin hydrochloride 7.5 mg/ml
Natriumchloride 0,9% 3254
Verenigbaar
injecteerbaar geneesmiddel Ampicillin sodium - sulbactam sodium 20/10 mg/ml
injecteerbaar geneesmiddel Telavancin hydrochloride 7.5 mg/ml
Ringer-lactaat 3254
Verenigbaar
injecteerbaar geneesmiddel Ampicillin sodium - sulbactam sodium 20/10 mg/ml
injecteerbaar geneesmiddel Teniposide 0.1 mg/ml
Glucose 5% 905
Verenigbaar
injecteerbaar geneesmiddel Ampicillin sodium - sulbactam sodium 30 mg/ml
injecteerbaar geneesmiddel Theophylline 4 mg/ml
Geen 317
Verenigbaar
injecteerbaar geneesmiddel Ampicillin sodium - sulbactam sodium 20/10 mg/ml
injecteerbaar geneesmiddel Thiotepa 1 mg/ml
Glucose 5% 249
Verenigbaar
injecteerbaar geneesmiddel Ampicillin sodium - sulbactam sodium 10/20 mg/ml
injecteerbaar geneesmiddel Tramadol hydrochloride 0,4 mg/ml
Natriumchloride 0,9% 2002
Verenigbaar
injecteerbaar geneesmiddel Ampicillin sodium - sulbactam sodium 1/0.5 >> 250/125 mg/ml
injecteerbaar geneesmiddel Vancomycin hydrochloride 2 mg/ml
Glucose 5% 1674
Verenigbaar
injecteerbaar geneesmiddel Ampicillin sodium - sulbactam sodium 1/0.5 >> 50/25 mg/ml
injecteerbaar geneesmiddel Vancomycin hydrochloride 20 mg/ml
Glucose 5% 1674
Onmiddellijke neerslag Onverenigbaar
injecteerbaar geneesmiddel Ampicillin sodium - sulbactam sodium 250-125 mg/ml
injecteerbaar geneesmiddel Vancomycin hydrochloride 20 mg/ml
Glucose 5% 1674

  Mentions Légales