Последно актуализиране :
27/04/2026
Антибиотик   Ampicillin sodium - sulbactam sodium  
Инжекция/Инжекционен
Стабилност на разтвори Стабилност на смеси Фактори, повлияващи стабилността Съвместимост Път на въвеждане Библиография Pdf
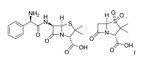
   Химична структура  

Търговско наименование   Търговско наименование     

Търговските имена са примерни и съставът на помощните вещества може да бъде различен в зависимост от държавата и лабораториите

Alfasid Турция
Ampibac Колумбия
Ampibactam Венецуела
Ampicillin sulbactam Австралия
Ampicillina sodica - sulbactam Бразилия, Еквадор
Ampictam Египет
Ampiplus Румъния, Саудитска Арабия
Ampisid Турция
Ampixim Венецуела
Bacimex Испания
Begalin Гърция
Bethacil Италия
Cinclox Индия
Combicid Турция
Darzitil Аржентина
Duobaktam Турция
Duocid Турция
Galotam Испания
Libractam Чили
Loricin Италия
Prixin Аржентина
Ranpisul Мексико
Retarpen Испания
Sabect Египет
Sulamp Колумбия
Sulbacter Венецуела
Sulbaksit Турция
Sulbin Египет
Sulcid Турция
Sumitan Венецуела, Колумбия
Synerpen Египет
Ultracillin Египет
Unacid Германия
Unacim Франция
Unasyn Австрия, Бразилия, Германия, Египет, Еквадор, Испания, Италия, Колумбия, Малайзия, Мароко, Мексико, Перу, Полша, Саудитска Арабия, Съединени Американски щати / САЩ, Унгария, Чили, Япония
Unictam Египет
Xilbac Перу
Съвместимост   Инжекция/Инжекционен   Съвместимост : Ampicillin sodium - sulbactam sodium              
Този екран показва съвместимостта или несъвместимостта с, в този случай, вида на несъвместимостта (утаяване, промяна на цвета, модификация на емулсия и др.). Показаните тук съвместимости са предимно физически, като рядко се оценява химическата стабилност на всяка молекула. Оценката на тези смеси беше проучена, за да се разгледа възможността за приложение на Y-място на пациента. Тези данни не могат да се използват за предварително приготвяне на смеси в торбички или спринцовки. Този тип информация е достъпна на екрана "Стабилност в сместа".
Състав / молекула Разтворител Библиография
съвместим
Инжекция/Инжекционен Ampicillin sodium - sulbactam sodium 20/10 mg/ml
Инжекция/Инжекционен Amifostine 10 mg/ml
Glucose 5% 3
Химическа нестабилност Несъвместим
Инжекция/Инжекционен Ampicillin sodium - sulbactam sodium
Инжекция/Инжекционен Amikacin sulfate
3549
Незабавни валежи Несъвместим
Инжекция/Инжекционен Ampicillin sodium - sulbactam sodium 30 mg/ml
Инжекция/Инжекционен Amiodarone hydrochloride 6 mg/ml
Sodium chloride 0,9% 1611
Незабавни валежи Несъвместим
Инжекция/Инжекционен Ampicillin sodium - sulbactam sodium 30 mg/ml
Инжекция/Инжекционен Amiodarone hydrochloride 6 mg/ml
Glucose 5% 1611
Незабавни валежи Несъвместим
Инжекция/Инжекционен Ampicillin sodium - sulbactam sodium 20/10 mg/ml
Инжекция/Инжекционен Amphotericin B cholesteryl sulfate complex 0.83 mg/ml
Glucose 5% 921
съвместим
Инжекция/Инжекционен Ampicillin sodium - sulbactam sodium 20/10 mg/ml
Инжекция/Инжекционен Anidulafungin 0.5 mg/ml
Glucose 5% 1982
съвместим
Инжекция/Инжекционен Ampicillin sodium - sulbactam sodium 20/10 mg/ml
Инжекция/Инжекционен Aztreonam 40 mg/ml
Glucose 5% 99
съвместим
Инжекция/Инжекционен Ampicillin sodium - sulbactam sodium 20/10 mg/ml
Инжекция/Инжекционен Bivalirudin 5 mg/ml
Glucose 5% 1713
съвместим
Инжекция/Инжекционен Ampicillin sodium - sulbactam sodium 20/10 mg/ml
Инжекция/Инжекционен Ceftolozane / tazobactam 10/5 mg/ml
Sodium chloride 0,9% 3828
съвместим
Инжекция/Инжекционен Ampicillin sodium - sulbactam sodium 20/10 mg/ml
Инжекция/Инжекционен Ceftolozane / tazobactam 10/5 mg/ml
Glucose 5% 3828
Незабавни валежи Несъвместим
Инжекция/Инжекционен Ampicillin sodium - sulbactam sodium
Инжекция/Инжекционен Ciprofloxacin lactate
Glucose 5% 1500
Незабавни валежи Несъвместим
Инжекция/Инжекционен Ampicillin sodium - sulbactam sodium 30 mg/ml
Инжекция/Инжекционен Ciprofloxacin lactate 2 mg/ml
Glucose 5% 285
Незабавни валежи Несъвместим
Инжекция/Инжекционен Ampicillin sodium - sulbactam sodium
Инжекция/Инжекционен Ciprofloxacin lactate
Sodium chloride 0,9% 1500
Неопределена несъвместимост Несъвместим
Инжекция/Инжекционен Ampicillin sodium - sulbactam sodium
Инжекция/Инжекционен Ciprofloxacin lactate
3529
Незабавна мътност Несъвместим
Инжекция/Инжекционен Ampicillin sodium - sulbactam sodium 20/10 mg/ml
Инжекция/Инжекционен Cisatracurium besylate 5 mg/ml
Glucose 5% 299
съвместим
Инжекция/Инжекционен Ampicillin sodium - sulbactam sodium 20/10 mg/ml
Инжекция/Инжекционен Dexmedetomidine 4 µg/ml
Sodium chloride 0,9% 1712
съвместим
Инжекция/Инжекционен Ampicillin sodium - sulbactam sodium 20/10 mg/ml
Инжекция/Инжекционен Docetaxel 0.9 mg/ml
Glucose 5% 1754
Неопределена несъвместимост Несъвместим
Инжекция/Инжекционен Ampicillin sodium - sulbactam sodium
Парентерално хранене (липидите безплатно) 5067
съвместим
Инжекция/Инжекционен Ampicillin sodium - sulbactam sodium 20/10 mg/ml
Парентерално хранене (липидите безплатно) 301
Неопределена несъвместимост Несъвместим
Инжекция/Инжекционен Ampicillin sodium - sulbactam sodium
Парентерално хранене (с липиди) 5067
съвместим
Инжекция/Инжекционен Ampicillin sodium - sulbactam sodium 20/10 mg/ml
Инжекция/Инжекционен Cisatracurium besylate 0.1 & 2 mg/ml
Glucose 5% 299
Незабавна мътност Несъвместим
Инжекция/Инжекционен Ampicillin sodium - sulbactam sodium 20/10 mg/ml
Инжекция/Инжекционен Cisatracurium besylate 5 mg/ml
Sodium chloride 0,9% 299
съвместим
Инжекция/Инжекционен Ampicillin sodium - sulbactam sodium 2 & 15 mg/ml
Инжекция/Инжекционен Diltiazem hydrochloride 5 mg/ml
Sodium chloride 0,9% 198
съвместим
Инжекция/Инжекционен Ampicillin sodium - sulbactam sodium 45 mg/ml
Инжекция/Инжекционен Diltiazem hydrochloride 1 mg/ml
Sodium chloride 0,9% 198
съвместим
Инжекция/Инжекционен Ampicillin sodium - sulbactam sodium 20 mg/ml
Парентерално хранене (с липиди) 4507
Незабавна мътност Несъвместим
Инжекция/Инжекционен Ampicillin sodium - sulbactam sodium 45 mg/ml
Инжекция/Инжекционен Diltiazem hydrochloride 5 mg/ml
Sodium chloride 0,9% 198
съвместим
Инжекция/Инжекционен Ampicillin sodium - sulbactam sodium 15 mg/ml
Инжекция/Инжекционен Enalaprilate 0.05 mg/ml
Sodium chloride 0,9% 1315
съвместим
Инжекция/Инжекционен Ampicillin sodium - sulbactam sodium 20/10 mg/ml
Парентерално хранене (с липиди) 1415
Неопределена несъвместимост Несъвместим
Инжекция/Инжекционен Ampicillin sodium - sulbactam sodium
Инжекция/Инжекционен Erythromycin lactobionate
3674
съвместим
Инжекция/Инжекционен Ampicillin sodium - sulbactam sodium 30 mg/ml
Инжекция/Инжекционен Famotidine
Glucose 5% 397
съвместим
Инжекция/Инжекционен Ampicillin sodium - sulbactam sodium 60 mg/ml
Инжекция/Инжекционен Fluconazole 2 mg/ml
Sodium chloride 0,9% 496
съвместим
Инжекция/Инжекционен Ampicillin sodium - sulbactam sodium 15 mg/ml
Парентерално хранене (с липиди) 4440
съвместим
Инжекция/Инжекционен Ampicillin sodium - sulbactam sodium 20/10 mg/ml
Инжекция/Инжекционен Etoposide phosphate 5 mg/ml
Glucose 5% 1410
съвместим
Инжекция/Инжекционен Ampicillin sodium - sulbactam sodium 20/10 mg/ml
Инжекция/Инжекционен Fenoldopam mesylate 80 µg/ml
Sodium chloride 0,9% 1803
съвместим
Инжекция/Инжекционен Ampicillin sodium - sulbactam sodium 20/10 mg/ml
Инжекция/Инжекционен Filgrastim 30 µg/ml
Glucose 5% 244
съвместим
Инжекция/Инжекционен Ampicillin sodium - sulbactam sodium 20/10 mg/ml
Инжекция/Инжекционен Fludarabine phosphate 1 mg/ml
Glucose 5% 492
съвместим
Инжекция/Инжекционен Ampicillin sodium - sulbactam sodium 20/10 mg/ml
Инжекция/Инжекционен Fosfomycin 30 mg/ml
Glucose 5% 4055
съвместим
Инжекция/Инжекционен Ampicillin sodium - sulbactam sodium 20/10 mg/ml
Инжекция/Инжекционен Fosfomycin 30 mg/ml
Sodium chloride 0,9% 4055
съвместим
Инжекция/Инжекционен Ampicillin sodium - sulbactam sodium 45/22.4 mg/ml
Инжекция/Инжекционен Gallium nitrate 1 mg/ml
Sodium chloride 0,9% 91
съвместим
Инжекция/Инжекционен Ampicillin sodium - sulbactam sodium 20/10 mg/ml
Инжекция/Инжекционен Gemcitabine hydrochloride 10 mg/ml
Sodium chloride 0,9% 1423
Неопределена несъвместимост Несъвместим
Инжекция/Инжекционен Ampicillin sodium - sulbactam sodium
Инжекция/Инжекционен Gentamicin sulfate
3520
Неопределена несъвместимост Несъвместим
Инжекция/Инжекционен Ampicillin sodium - sulbactam sodium
Инжекция/Инжекционен Gentamicin sulfate
3643
съвместим
Инжекция/Инжекционен Ampicillin sodium - sulbactam sodium 20/10 mg/ml
Инжекция/Инжекционен Granisetron hydrochloride 0.05 mg/ml
Sodium chloride 0,9% 182
съвместим
Инжекция/Инжекционен Ampicillin sodium - sulbactam sodium 30 mg/ml
Инжекция/Инжекционен Heparin sodium 50 UI/ml
Няма 317
съвместим
Инжекция/Инжекционен Ampicillin sodium - sulbactam sodium 20/10 mg/ml
Инжекция/Инжекционен Hetastarch 60 mg/ml
Специфична разтворител 1721
Незабавна мътност Несъвместим
Инжекция/Инжекционен Ampicillin sodium - sulbactam sodium 30 mg/ml
Инжекция/Инжекционен Idarubicin hydrochloride 1 mg/ml
Sodium chloride 0,9% 491
съвместим
Инжекция/Инжекционен Ampicillin sodium - sulbactam sodium 30 mg/ml
Инжекция/Инжекционен Insulin 0.2 UI/ml
Sodium chloride 0,9% 129
Незабавна мътност Несъвместим
Инжекция/Инжекционен Ampicillin sodium - sulbactam sodium 20/10 mg/ml
Инжекция/Инжекционен Isavuconazonium sulfate 1.5 mg/ml
Sodium chloride 0,9% 3829
съвместим
Инжекция/Инжекционен Ampicillin sodium - sulbactam sodium
Sodium chloride 0,9% 5067
Незабавна мътност Несъвместим
Инжекция/Инжекционен Ampicillin sodium - sulbactam sodium 20/10 mg/ml
Инжекция/Инжекционен Isavuconazonium sulfate 1.5 mg/ml
Glucose 5% 3829
съвместим
Инжекция/Инжекционен Ampicillin sodium - sulbactam sodium 20/10 mg/ml
Инжекция/Инжекционен Ketoprofene 3.2 mg/ml
Sodium chloride 0,9% 1847
Незабавни валежи Несъвместим
Инжекция/Инжекционен Ampicillin sodium - sulbactam sodium 20/10 mg/ml
Инжекция/Инжекционен Lansoprazole 0.55 mg/ml
Sodium chloride 0,9% 1625
съвместим
Инжекция/Инжекционен Ampicillin sodium - sulbactam sodium 20/10 mg/ml
Инжекция/Инжекционен Linezolid 2 mg/ml
Няма 1925
съвместим
Инжекция/Инжекционен Ampicillin sodium - sulbactam sodium 30 mg/ml
Инжекция/Инжекционен Morphine sulfate 1 mg/ml
Sodium chloride 0,9% 406
Незабавна мътност Несъвместим
Инжекция/Инжекционен Ampicillin sodium - sulbactam sodium 15 mg/ml
Инжекция/Инжекционен Nicardipine hydrochloride 0.1 mg/ml
Sodium chloride 0,9% 1490
Незабавна мътност Несъвместим
Инжекция/Инжекционен Ampicillin sodium - sulbactam sodium 15 mg/ml
Инжекция/Инжекционен Nicardipine hydrochloride 0.1 mg/ml
Glucose 5% 1490
Незабавни валежи Несъвместим
Инжекция/Инжекционен Ampicillin sodium - sulbactam sodium 20/10 mg/ml
Инжекция/Инжекционен Ondansetron hydrochloride 1 mg/ml
Sodium chloride 0,9% 334
съвместим
Инжекция/Инжекционен Ampicillin sodium - sulbactam sodium 20/10 mg/ml
Инжекция/Инжекционен Paclitaxel 1.2 mg/ml
Glucose 5% 248
съвместим
Инжекция/Инжекционен Ampicillin sodium - sulbactam sodium 20/10 mg/ml
Инжекция/Инжекционен Palonosetron hydrochloride 50 µg/ml
Sodium chloride 0,9% 2214
съвместим
Инжекция/Инжекционен Ampicillin sodium - sulbactam sodium 20/10 mg/ml
Инжекция/Инжекционен Pemetrexed disodium 20 mg/ml
Sodium chloride 0,9% 1953
съвместим
Инжекция/Инжекционен Ampicillin sodium - sulbactam sodium 30 mg/ml
Инжекция/Инжекционен Pethidine hydrochloride 10 mg/ml
Sodium chloride 0,9% 406
съвместим
Инжекция/Инжекционен Ampicillin sodium - sulbactam sodium 20/10 mg/ml
Инжекция/Инжекционен Plazomicin sulfate 24 mg/ml
Sodium chloride 0,9% 4145
съвместим
Инжекция/Инжекционен Ampicillin sodium - sulbactam sodium 20/10 mg/ml
Инжекция/Инжекционен Remifentanil hydrochloride 25 & 250 µg/ml
Sodium chloride 0,9% 59
Валежи след 4 часа Несъвместим
Инжекция/Инжекционен Ampicillin sodium - sulbactam sodium 20/10 mg/ml
Инжекция/Инжекционен Sargramostim 10 µg/ml
Sodium chloride 0,9% 335
съвместим
Инжекция/Инжекционен Ampicillin sodium - sulbactam sodium 200 mg/ml
Инжекция/Инжекционен Sugammadex 100 mg/ml
Няма 3372
съвместим
Инжекция/Инжекционен Ampicillin sodium - sulbactam sodium 50 mg/ml
Инжекция/Инжекционен Tacrolimus 1000 µg/ml
Sodium chloride 0,9% 479
съвместим
Инжекция/Инжекционен Ampicillin sodium - sulbactam sodium 20/10 mg/ml
Инжекция/Инжекционен Tedizolid phosphate 0.8 mg/ml
Sodium chloride 0,9% 3827
съвместим
Инжекция/Инжекционен Ampicillin sodium - sulbactam sodium 20/10 mg/ml
Инжекция/Инжекционен Telavancin hydrochloride 7.5 mg/ml
Glucose 5% 3254
съвместим
Инжекция/Инжекционен Ampicillin sodium - sulbactam sodium 20/10 mg/ml
Инжекция/Инжекционен Telavancin hydrochloride 7.5 mg/ml
Sodium chloride 0,9% 3254
съвместим
Инжекция/Инжекционен Ampicillin sodium - sulbactam sodium 20/10 mg/ml
Инжекция/Инжекционен Telavancin hydrochloride 7.5 mg/ml
Ринтер лактат 3254
съвместим
Инжекция/Инжекционен Ampicillin sodium - sulbactam sodium 20/10 mg/ml
Инжекция/Инжекционен Teniposide 0.1 mg/ml
Glucose 5% 905
съвместим
Инжекция/Инжекционен Ampicillin sodium - sulbactam sodium 30 mg/ml
Инжекция/Инжекционен Theophylline 4 mg/ml
Няма 317
съвместим
Инжекция/Инжекционен Ampicillin sodium - sulbactam sodium 20/10 mg/ml
Инжекция/Инжекционен Thiotepa 1 mg/ml
Glucose 5% 249
съвместим
Инжекция/Инжекционен Ampicillin sodium - sulbactam sodium 10/20 mg/ml
Инжекция/Инжекционен Tramadol hydrochloride 0,4 mg/ml
Sodium chloride 0,9% 2002
съвместим
Инжекция/Инжекционен Ampicillin sodium - sulbactam sodium 1/0.5 >> 250/125 mg/ml
Инжекция/Инжекционен Vancomycin hydrochloride 2 mg/ml
Glucose 5% 1674
съвместим
Инжекция/Инжекционен Ampicillin sodium - sulbactam sodium 1/0.5 >> 50/25 mg/ml
Инжекция/Инжекционен Vancomycin hydrochloride 20 mg/ml
Glucose 5% 1674
Незабавни валежи Несъвместим
Инжекция/Инжекционен Ampicillin sodium - sulbactam sodium 250-125 mg/ml
Инжекция/Инжекционен Vancomycin hydrochloride 20 mg/ml
Glucose 5% 1674

  Mentions Légales