Viimeisin päivitys :
27/04/2026
Antibiootit   Ampicillin sodium - sulbactam sodium  
Injektioneste
Stabilius liuoksessa Stabilius seoksissa Tekijät, jotka vaikuttavat stabiliuteen Yhteensopivuus Antotapa Viitteet pdf
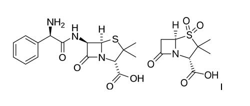
   Kemiallinen rakenne  

Kauppanimi   Kauppanimi     

Trade names are indicative and excipients composition can be different depending on the country and manufacturers

Alfasid Turkki
Ampibac Kolumbia
Ampibactam Venezuela
Ampicillin sulbactam Australia
Ampicillina sodica - sulbactam Brasilia, Ecuador
Ampictam Egypti
Ampiplus Romania, Saudi-Arabia
Ampisid Turkki
Ampixim Venezuela
Bacimex Espanja
Begalin Kreikka
Bethacil Italia
Cinclox Intia
Combicid Turkki
Darzitil Argentiina
Duobaktam Turkki
Duocid Turkki
Galotam Espanja
Libractam Chile
Loricin Italia
Prixin Argentiina
Ranpisul Meksiko
Retarpen Espanja
Sabect Egypti
Sulamp Kolumbia
Sulbacter Venezuela
Sulbaksit Turkki
Sulbin Egypti
Sulcid Turkki
Sumitan Kolumbia, Venezuela
Synerpen Egypti
Ultracillin Egypti
Unacid Saksa
Unacim Ranska
Unasyn Brasilia, Chile, Ecuador, Egypti, Espanja, Italia, Itävalta, Japani, Kolumbia, Malesia, Marokko, Marokko, Meksiko, Puola, Saksa, Saudi-Arabia, Unkari, Yhdysvallat
Unictam Egypti
Xilbac Marokko
Yhteensopivuus   Injektioneste   Yhteensopivuus : Ampicillin sodium - sulbactam sodium              
Tämä näyttö osoittaa yhteensopivuuden tai yhteensopimattomuuden yhteensopimattomuuden tyypin kanssa (saostuminen, värinmuutos, emulsiomuutos jne.). Tässä esitetty yhteensopivuus on useimmissa tapauksissa vain fysikaalinen, ja kunkin molekyylin kemiallista stabiilisuutta arvioidaan harvoin. Näiden seosten arviointia tutkittiin mahdollisuuden antaa Y-kohta potilaalle. Näitä tietoja ei voida käyttää seosten valmistamiseen etukäteen pusseissa tai ruiskuissa. Tämäntyyppiset tiedot ovat saatavilla "Stabiilisuus seoksessa" -näytössä.
Yhdiste Liuotin Viitteet
Yhteensopiva
Injektioneste Ampicillin sodium - sulbactam sodium 20/10 mg/ml
Injektioneste Amifostine 10 mg/ml
Glukoosi 5% 3
Kemiallinen epävakaus yhteensopimaton
Injektioneste Ampicillin sodium - sulbactam sodium
Injektioneste Amikacin sulfate
3549
Välittömät sateet yhteensopimaton
Injektioneste Ampicillin sodium - sulbactam sodium 30 mg/ml
Injektioneste Amiodarone hydrochloride 6 mg/ml
Natriumkloridi 0,9% 1611
Välittömät sateet yhteensopimaton
Injektioneste Ampicillin sodium - sulbactam sodium 30 mg/ml
Injektioneste Amiodarone hydrochloride 6 mg/ml
Glukoosi 5% 1611
Välittömät sateet yhteensopimaton
Injektioneste Ampicillin sodium - sulbactam sodium 20/10 mg/ml
Injektioneste Amphotericin B cholesteryl sulfate complex 0.83 mg/ml
Glukoosi 5% 921
Yhteensopiva
Injektioneste Ampicillin sodium - sulbactam sodium 20/10 mg/ml
Injektioneste Anidulafungin 0.5 mg/ml
Glukoosi 5% 1982
Yhteensopiva
Injektioneste Ampicillin sodium - sulbactam sodium 20/10 mg/ml
Injektioneste Aztreonam 40 mg/ml
Glukoosi 5% 99
Yhteensopiva
Injektioneste Ampicillin sodium - sulbactam sodium 20/10 mg/ml
Injektioneste Bivalirudin 5 mg/ml
Glukoosi 5% 1713
Yhteensopiva
Injektioneste Ampicillin sodium - sulbactam sodium 20/10 mg/ml
Injektioneste Ceftolozane / tazobactam 10/5 mg/ml
Natriumkloridi 0,9% 3828
Yhteensopiva
Injektioneste Ampicillin sodium - sulbactam sodium 20/10 mg/ml
Injektioneste Ceftolozane / tazobactam 10/5 mg/ml
Glukoosi 5% 3828
Välittömät sateet yhteensopimaton
Injektioneste Ampicillin sodium - sulbactam sodium
Injektioneste Ciprofloxacin lactate
Glukoosi 5% 1500
Välittömät sateet yhteensopimaton
Injektioneste Ampicillin sodium - sulbactam sodium 30 mg/ml
Injektioneste Ciprofloxacin lactate 2 mg/ml
Glukoosi 5% 285
Välittömät sateet yhteensopimaton
Injektioneste Ampicillin sodium - sulbactam sodium
Injektioneste Ciprofloxacin lactate
Natriumkloridi 0,9% 1500
Määrittelemätön yhteensopimattomuus yhteensopimaton
Injektioneste Ampicillin sodium - sulbactam sodium
Injektioneste Ciprofloxacin lactate
3529
Välitön sameus yhteensopimaton
Injektioneste Ampicillin sodium - sulbactam sodium 20/10 mg/ml
Injektioneste Cisatracurium besylate 5 mg/ml
Glukoosi 5% 299
Yhteensopiva
Injektioneste Ampicillin sodium - sulbactam sodium 20/10 mg/ml
Injektioneste Dexmedetomidine 4 µg/ml
Natriumkloridi 0,9% 1712
Yhteensopiva
Injektioneste Ampicillin sodium - sulbactam sodium 20/10 mg/ml
Injektioneste Docetaxel 0.9 mg/ml
Glukoosi 5% 1754
Määrittelemätön yhteensopimattomuus yhteensopimaton
Injektioneste Ampicillin sodium - sulbactam sodium
Parenteraalisesti (rasva-free) 5067
Yhteensopiva
Injektioneste Ampicillin sodium - sulbactam sodium 20/10 mg/ml
Parenteraalisesti (rasva-free) 301
Määrittelemätön yhteensopimattomuus yhteensopimaton
Injektioneste Ampicillin sodium - sulbactam sodium
Parenteraalinen (lipidien) 5067
Yhteensopiva
Injektioneste Ampicillin sodium - sulbactam sodium 20/10 mg/ml
Injektioneste Cisatracurium besylate 0.1 & 2 mg/ml
Glukoosi 5% 299
Välitön sameus yhteensopimaton
Injektioneste Ampicillin sodium - sulbactam sodium 20/10 mg/ml
Injektioneste Cisatracurium besylate 5 mg/ml
Natriumkloridi 0,9% 299
Yhteensopiva
Injektioneste Ampicillin sodium - sulbactam sodium 2 & 15 mg/ml
Injektioneste Diltiazem hydrochloride 5 mg/ml
Natriumkloridi 0,9% 198
Yhteensopiva
Injektioneste Ampicillin sodium - sulbactam sodium 45 mg/ml
Injektioneste Diltiazem hydrochloride 1 mg/ml
Natriumkloridi 0,9% 198
Yhteensopiva
Injektioneste Ampicillin sodium - sulbactam sodium 20 mg/ml
Parenteraalinen (lipidien) 4507
Välitön sameus yhteensopimaton
Injektioneste Ampicillin sodium - sulbactam sodium 45 mg/ml
Injektioneste Diltiazem hydrochloride 5 mg/ml
Natriumkloridi 0,9% 198
Yhteensopiva
Injektioneste Ampicillin sodium - sulbactam sodium 15 mg/ml
Injektioneste Enalaprilate 0.05 mg/ml
Natriumkloridi 0,9% 1315
Yhteensopiva
Injektioneste Ampicillin sodium - sulbactam sodium 20/10 mg/ml
Parenteraalinen (lipidien) 1415
Määrittelemätön yhteensopimattomuus yhteensopimaton
Injektioneste Ampicillin sodium - sulbactam sodium
Injektioneste Erythromycin lactobionate
3674
Yhteensopiva
Injektioneste Ampicillin sodium - sulbactam sodium 30 mg/ml
Injektioneste Famotidine
Glukoosi 5% 397
Yhteensopiva
Injektioneste Ampicillin sodium - sulbactam sodium 60 mg/ml
Injektioneste Fluconazole 2 mg/ml
Natriumkloridi 0,9% 496
Yhteensopiva
Injektioneste Ampicillin sodium - sulbactam sodium 15 mg/ml
Parenteraalinen (lipidien) 4440
Yhteensopiva
Injektioneste Ampicillin sodium - sulbactam sodium 20/10 mg/ml
Injektioneste Etoposide phosphate 5 mg/ml
Glukoosi 5% 1410
Yhteensopiva
Injektioneste Ampicillin sodium - sulbactam sodium 20/10 mg/ml
Injektioneste Fenoldopam mesylate 80 µg/ml
Natriumkloridi 0,9% 1803
Yhteensopiva
Injektioneste Ampicillin sodium - sulbactam sodium 20/10 mg/ml
Injektioneste Filgrastim 30 µg/ml
Glukoosi 5% 244
Yhteensopiva
Injektioneste Ampicillin sodium - sulbactam sodium 20/10 mg/ml
Injektioneste Fludarabine phosphate 1 mg/ml
Glukoosi 5% 492
Yhteensopiva
Injektioneste Ampicillin sodium - sulbactam sodium 20/10 mg/ml
Injektioneste Fosfomycin 30 mg/ml
Glukoosi 5% 4055
Yhteensopiva
Injektioneste Ampicillin sodium - sulbactam sodium 20/10 mg/ml
Injektioneste Fosfomycin 30 mg/ml
Natriumkloridi 0,9% 4055
Yhteensopiva
Injektioneste Ampicillin sodium - sulbactam sodium 45/22.4 mg/ml
Injektioneste Gallium nitrate 1 mg/ml
Natriumkloridi 0,9% 91
Yhteensopiva
Injektioneste Ampicillin sodium - sulbactam sodium 20/10 mg/ml
Injektioneste Gemcitabine hydrochloride 10 mg/ml
Natriumkloridi 0,9% 1423
Määrittelemätön yhteensopimattomuus yhteensopimaton
Injektioneste Ampicillin sodium - sulbactam sodium
Injektioneste Gentamicin sulfate
3520
Määrittelemätön yhteensopimattomuus yhteensopimaton
Injektioneste Ampicillin sodium - sulbactam sodium
Injektioneste Gentamicin sulfate
3643
Yhteensopiva
Injektioneste Ampicillin sodium - sulbactam sodium 20/10 mg/ml
Injektioneste Granisetron hydrochloride 0.05 mg/ml
Natriumkloridi 0,9% 182
Yhteensopiva
Injektioneste Ampicillin sodium - sulbactam sodium 30 mg/ml
Injektioneste Heparin sodium 50 UI/ml
Ei mikään 317
Yhteensopiva
Injektioneste Ampicillin sodium - sulbactam sodium 20/10 mg/ml
Injektioneste Hetastarch 60 mg/ml
spesifiseen liuottimeen 1721
Välitön sameus yhteensopimaton
Injektioneste Ampicillin sodium - sulbactam sodium 30 mg/ml
Injektioneste Idarubicin hydrochloride 1 mg/ml
Natriumkloridi 0,9% 491
Yhteensopiva
Injektioneste Ampicillin sodium - sulbactam sodium 30 mg/ml
Injektioneste Insulin 0.2 UI/ml
Natriumkloridi 0,9% 129
Välitön sameus yhteensopimaton
Injektioneste Ampicillin sodium - sulbactam sodium 20/10 mg/ml
Injektioneste Isavuconazonium sulfate 1.5 mg/ml
Natriumkloridi 0,9% 3829
Yhteensopiva
Injektioneste Ampicillin sodium - sulbactam sodium
Natriumkloridi 0,9% 5067
Välitön sameus yhteensopimaton
Injektioneste Ampicillin sodium - sulbactam sodium 20/10 mg/ml
Injektioneste Isavuconazonium sulfate 1.5 mg/ml
Glukoosi 5% 3829
Yhteensopiva
Injektioneste Ampicillin sodium - sulbactam sodium 20/10 mg/ml
Injektioneste Ketoprofene 3.2 mg/ml
Natriumkloridi 0,9% 1847
Välittömät sateet yhteensopimaton
Injektioneste Ampicillin sodium - sulbactam sodium 20/10 mg/ml
Injektioneste Lansoprazole 0.55 mg/ml
Natriumkloridi 0,9% 1625
Yhteensopiva
Injektioneste Ampicillin sodium - sulbactam sodium 20/10 mg/ml
Injektioneste Linezolid 2 mg/ml
Ei mikään 1925
Yhteensopiva
Injektioneste Ampicillin sodium - sulbactam sodium 30 mg/ml
Injektioneste Morphine sulfate 1 mg/ml
Natriumkloridi 0,9% 406
Välitön sameus yhteensopimaton
Injektioneste Ampicillin sodium - sulbactam sodium 15 mg/ml
Injektioneste Nicardipine hydrochloride 0.1 mg/ml
Natriumkloridi 0,9% 1490
Välitön sameus yhteensopimaton
Injektioneste Ampicillin sodium - sulbactam sodium 15 mg/ml
Injektioneste Nicardipine hydrochloride 0.1 mg/ml
Glukoosi 5% 1490
Välittömät sateet yhteensopimaton
Injektioneste Ampicillin sodium - sulbactam sodium 20/10 mg/ml
Injektioneste Ondansetron hydrochloride 1 mg/ml
Natriumkloridi 0,9% 334
Yhteensopiva
Injektioneste Ampicillin sodium - sulbactam sodium 20/10 mg/ml
Injektioneste Paclitaxel 1.2 mg/ml
Glukoosi 5% 248
Yhteensopiva
Injektioneste Ampicillin sodium - sulbactam sodium 20/10 mg/ml
Injektioneste Palonosetron hydrochloride 50 µg/ml
Natriumkloridi 0,9% 2214
Yhteensopiva
Injektioneste Ampicillin sodium - sulbactam sodium 20/10 mg/ml
Injektioneste Pemetrexed disodium 20 mg/ml
Natriumkloridi 0,9% 1953
Yhteensopiva
Injektioneste Ampicillin sodium - sulbactam sodium 30 mg/ml
Injektioneste Pethidine hydrochloride 10 mg/ml
Natriumkloridi 0,9% 406
Yhteensopiva
Injektioneste Ampicillin sodium - sulbactam sodium 20/10 mg/ml
Injektioneste Plazomicin sulfate 24 mg/ml
Natriumkloridi 0,9% 4145
Yhteensopiva
Injektioneste Ampicillin sodium - sulbactam sodium 20/10 mg/ml
Injektioneste Remifentanil hydrochloride 25 & 250 µg/ml
Natriumkloridi 0,9% 59
Sade 4 tunnin kuluttua yhteensopimaton
Injektioneste Ampicillin sodium - sulbactam sodium 20/10 mg/ml
Injektioneste Sargramostim 10 µg/ml
Natriumkloridi 0,9% 335
Yhteensopiva
Injektioneste Ampicillin sodium - sulbactam sodium 200 mg/ml
Injektioneste Sugammadex 100 mg/ml
Ei mikään 3372
Yhteensopiva
Injektioneste Ampicillin sodium - sulbactam sodium 50 mg/ml
Injektioneste Tacrolimus 1000 µg/ml
Natriumkloridi 0,9% 479
Yhteensopiva
Injektioneste Ampicillin sodium - sulbactam sodium 20/10 mg/ml
Injektioneste Tedizolid phosphate 0.8 mg/ml
Natriumkloridi 0,9% 3827
Yhteensopiva
Injektioneste Ampicillin sodium - sulbactam sodium 20/10 mg/ml
Injektioneste Telavancin hydrochloride 7.5 mg/ml
Glukoosi 5% 3254
Yhteensopiva
Injektioneste Ampicillin sodium - sulbactam sodium 20/10 mg/ml
Injektioneste Telavancin hydrochloride 7.5 mg/ml
Natriumkloridi 0,9% 3254
Yhteensopiva
Injektioneste Ampicillin sodium - sulbactam sodium 20/10 mg/ml
Injektioneste Telavancin hydrochloride 7.5 mg/ml
Ringerlaktaattiliuos 3254
Yhteensopiva
Injektioneste Ampicillin sodium - sulbactam sodium 20/10 mg/ml
Injektioneste Teniposide 0.1 mg/ml
Glukoosi 5% 905
Yhteensopiva
Injektioneste Ampicillin sodium - sulbactam sodium 30 mg/ml
Injektioneste Theophylline 4 mg/ml
Ei mikään 317
Yhteensopiva
Injektioneste Ampicillin sodium - sulbactam sodium 20/10 mg/ml
Injektioneste Thiotepa 1 mg/ml
Glukoosi 5% 249
Yhteensopiva
Injektioneste Ampicillin sodium - sulbactam sodium 10/20 mg/ml
Injektioneste Tramadol hydrochloride 0,4 mg/ml
Natriumkloridi 0,9% 2002
Yhteensopiva
Injektioneste Ampicillin sodium - sulbactam sodium 1/0.5 >> 250/125 mg/ml
Injektioneste Vancomycin hydrochloride 2 mg/ml
Glukoosi 5% 1674
Yhteensopiva
Injektioneste Ampicillin sodium - sulbactam sodium 1/0.5 >> 50/25 mg/ml
Injektioneste Vancomycin hydrochloride 20 mg/ml
Glukoosi 5% 1674
Välittömät sateet yhteensopimaton
Injektioneste Ampicillin sodium - sulbactam sodium 250-125 mg/ml
Injektioneste Vancomycin hydrochloride 20 mg/ml
Glukoosi 5% 1674

  Mentions Légales