Poslední aktualizace :
27/04/2026
Antibiotikum   Ampicillin sodium - sulbactam sodium  
injekce
Stabilita roztoků Stabilita směsí Faktory ovlivňující stabilitu Kompatibilita Způsoby aplikace Odkazy pdf
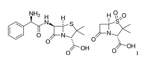
   Chemický vzorec  

Obchodní název   Obchodní název     

Trade names are indicative and excipients composition can be different depending on the country and manufacturers

Alfasid Turecko
Ampibac Kolumbie
Ampibactam Venezuela
Ampicillin sulbactam Austrálie
Ampicillina sodica - sulbactam BrazÌlie, Ekvádor
Ampictam Egypt
Ampiplus Rumunsko, Saúdská Arábie
Ampisid Turecko
Ampixim Venezuela
Bacimex äpanÏlsko
Begalin ÿecko
Bethacil Itálie
Cinclox Indie
Combicid Turecko
Darzitil Argentina
Duobaktam Turecko
Duocid Turecko
Galotam äpanÏlsko
Libractam Chile
Loricin Itálie
Prixin Argentina
Ranpisul Mexiko
Retarpen äpanÏlsko
Sabect Egypt
Sulamp Kolumbie
Sulbacter Venezuela
Sulbaksit Turecko
Sulbin Egypt
Sulcid Turecko
Sumitan Kolumbie, Venezuela
Synerpen Egypt
Ultracillin Egypt
Unacid NÏmecko
Unacim Francie
Unasyn äpanÏlsko, BrazÌlie, Chile, Egypt, Ekvádor, Itálie, Japonsko, Kolumbie, Malajsie, MaÔarsko, Maroko, Mexiko, NÏmecko, Peru, Polsko, Rakousko, Saúdská Arábie, USA
Unictam Egypt
Xilbac Peru
Kompatibilita   injekce   Kompatibilita : Ampicillin sodium - sulbactam sodium              
Tato obrazovka ukazuje kompatibilitu nebo nekompatibilitu s, v tomto případě, typem nekompatibility (srážení, změna barvy, modifikace emulze atd.). Zde uvedené kompatibility jsou většinou pouze fyzikální, přičemž chemická stabilita každé molekuly je zřídka hodnocena. Hodnocení těchto směsí bylo studováno, aby se zvážila možnost podání Y-místa pacientovi. Tyto údaje nelze použít k přípravě směsí předem v pytlích nebo stříkačkách. Tento typ informací je k dispozici na obrazovce „Stabilita ve směsi“.
SlouËenina RozpouötÏdlo Odkazy
Kompatibilní
injekce Ampicillin sodium - sulbactam sodium 20/10 mg/ml
injekce Amifostine 10 mg/ml
GlukÛza 5% 3
Chemická nestabilita Nekompatibilní
injekce Ampicillin sodium - sulbactam sodium
injekce Amikacin sulfate
3549
Okamžité srážení Nekompatibilní
injekce Ampicillin sodium - sulbactam sodium 30 mg/ml
injekce Amiodarone hydrochloride 6 mg/ml
Chlorid sodný 0,9% 1611
Okamžité srážení Nekompatibilní
injekce Ampicillin sodium - sulbactam sodium 30 mg/ml
injekce Amiodarone hydrochloride 6 mg/ml
GlukÛza 5% 1611
Okamžité srážení Nekompatibilní
injekce Ampicillin sodium - sulbactam sodium 20/10 mg/ml
injekce Amphotericin B cholesteryl sulfate complex 0.83 mg/ml
GlukÛza 5% 921
Kompatibilní
injekce Ampicillin sodium - sulbactam sodium 20/10 mg/ml
injekce Anidulafungin 0.5 mg/ml
GlukÛza 5% 1982
Kompatibilní
injekce Ampicillin sodium - sulbactam sodium 20/10 mg/ml
injekce Aztreonam 40 mg/ml
GlukÛza 5% 99
Kompatibilní
injekce Ampicillin sodium - sulbactam sodium 20/10 mg/ml
injekce Bivalirudin 5 mg/ml
GlukÛza 5% 1713
Kompatibilní
injekce Ampicillin sodium - sulbactam sodium 20/10 mg/ml
injekce Ceftolozane / tazobactam 10/5 mg/ml
Chlorid sodný 0,9% 3828
Kompatibilní
injekce Ampicillin sodium - sulbactam sodium 20/10 mg/ml
injekce Ceftolozane / tazobactam 10/5 mg/ml
GlukÛza 5% 3828
Okamžité srážení Nekompatibilní
injekce Ampicillin sodium - sulbactam sodium
injekce Ciprofloxacin lactate
GlukÛza 5% 1500
Okamžité srážení Nekompatibilní
injekce Ampicillin sodium - sulbactam sodium 30 mg/ml
injekce Ciprofloxacin lactate 2 mg/ml
GlukÛza 5% 285
Okamžité srážení Nekompatibilní
injekce Ampicillin sodium - sulbactam sodium
injekce Ciprofloxacin lactate
Chlorid sodný 0,9% 1500
Nespecifikovaná nekompatibilita Nekompatibilní
injekce Ampicillin sodium - sulbactam sodium
injekce Ciprofloxacin lactate
3529
Okamžitá zákal Nekompatibilní
injekce Ampicillin sodium - sulbactam sodium 20/10 mg/ml
injekce Cisatracurium besylate 5 mg/ml
GlukÛza 5% 299
Kompatibilní
injekce Ampicillin sodium - sulbactam sodium 20/10 mg/ml
injekce Dexmedetomidine 4 µg/ml
Chlorid sodný 0,9% 1712
Kompatibilní
injekce Ampicillin sodium - sulbactam sodium 20/10 mg/ml
injekce Docetaxel 0.9 mg/ml
GlukÛza 5% 1754
Nespecifikovaná nekompatibilita Nekompatibilní
injekce Ampicillin sodium - sulbactam sodium
Parenterální výživa (binární směs) 5067
Kompatibilní
injekce Ampicillin sodium - sulbactam sodium 20/10 mg/ml
Parenterální výživa (binární směs) 301
Nespecifikovaná nekompatibilita Nekompatibilní
injekce Ampicillin sodium - sulbactam sodium
Parenterální výživa (lipidy) 5067
Kompatibilní
injekce Ampicillin sodium - sulbactam sodium 20/10 mg/ml
injekce Cisatracurium besylate 0.1 & 2 mg/ml
GlukÛza 5% 299
Okamžitá zákal Nekompatibilní
injekce Ampicillin sodium - sulbactam sodium 20/10 mg/ml
injekce Cisatracurium besylate 5 mg/ml
Chlorid sodný 0,9% 299
Kompatibilní
injekce Ampicillin sodium - sulbactam sodium 2 & 15 mg/ml
injekce Diltiazem hydrochloride 5 mg/ml
Chlorid sodný 0,9% 198
Kompatibilní
injekce Ampicillin sodium - sulbactam sodium 45 mg/ml
injekce Diltiazem hydrochloride 1 mg/ml
Chlorid sodný 0,9% 198
Kompatibilní
injekce Ampicillin sodium - sulbactam sodium 20 mg/ml
Parenterální výživa (lipidy) 4507
Okamžitá zákal Nekompatibilní
injekce Ampicillin sodium - sulbactam sodium 45 mg/ml
injekce Diltiazem hydrochloride 5 mg/ml
Chlorid sodný 0,9% 198
Kompatibilní
injekce Ampicillin sodium - sulbactam sodium 15 mg/ml
injekce Enalaprilate 0.05 mg/ml
Chlorid sodný 0,9% 1315
Kompatibilní
injekce Ampicillin sodium - sulbactam sodium 20/10 mg/ml
Parenterální výživa (lipidy) 1415
Nespecifikovaná nekompatibilita Nekompatibilní
injekce Ampicillin sodium - sulbactam sodium
injekce Erythromycin lactobionate
3674
Kompatibilní
injekce Ampicillin sodium - sulbactam sodium 30 mg/ml
injekce Famotidine
GlukÛza 5% 397
Kompatibilní
injekce Ampicillin sodium - sulbactam sodium 60 mg/ml
injekce Fluconazole 2 mg/ml
Chlorid sodný 0,9% 496
Kompatibilní
injekce Ampicillin sodium - sulbactam sodium 15 mg/ml
Parenterální výživa (lipidy) 4440
Kompatibilní
injekce Ampicillin sodium - sulbactam sodium 20/10 mg/ml
injekce Etoposide phosphate 5 mg/ml
GlukÛza 5% 1410
Kompatibilní
injekce Ampicillin sodium - sulbactam sodium 20/10 mg/ml
injekce Fenoldopam mesylate 80 µg/ml
Chlorid sodný 0,9% 1803
Kompatibilní
injekce Ampicillin sodium - sulbactam sodium 20/10 mg/ml
injekce Filgrastim 30 µg/ml
GlukÛza 5% 244
Kompatibilní
injekce Ampicillin sodium - sulbactam sodium 20/10 mg/ml
injekce Fludarabine phosphate 1 mg/ml
GlukÛza 5% 492
Kompatibilní
injekce Ampicillin sodium - sulbactam sodium 20/10 mg/ml
injekce Fosfomycin 30 mg/ml
GlukÛza 5% 4055
Kompatibilní
injekce Ampicillin sodium - sulbactam sodium 20/10 mg/ml
injekce Fosfomycin 30 mg/ml
Chlorid sodný 0,9% 4055
Kompatibilní
injekce Ampicillin sodium - sulbactam sodium 45/22.4 mg/ml
injekce Gallium nitrate 1 mg/ml
Chlorid sodný 0,9% 91
Kompatibilní
injekce Ampicillin sodium - sulbactam sodium 20/10 mg/ml
injekce Gemcitabine hydrochloride 10 mg/ml
Chlorid sodný 0,9% 1423
Nespecifikovaná nekompatibilita Nekompatibilní
injekce Ampicillin sodium - sulbactam sodium
injekce Gentamicin sulfate
3520
Nespecifikovaná nekompatibilita Nekompatibilní
injekce Ampicillin sodium - sulbactam sodium
injekce Gentamicin sulfate
3643
Kompatibilní
injekce Ampicillin sodium - sulbactam sodium 20/10 mg/ml
injekce Granisetron hydrochloride 0.05 mg/ml
Chlorid sodný 0,9% 182
Kompatibilní
injekce Ampicillin sodium - sulbactam sodium 30 mg/ml
injekce Heparin sodium 50 UI/ml
Žádné 317
Kompatibilní
injekce Ampicillin sodium - sulbactam sodium 20/10 mg/ml
injekce Hetastarch 60 mg/ml
Zvláštní rozpouštědla 1721
Okamžitá zákal Nekompatibilní
injekce Ampicillin sodium - sulbactam sodium 30 mg/ml
injekce Idarubicin hydrochloride 1 mg/ml
Chlorid sodný 0,9% 491
Kompatibilní
injekce Ampicillin sodium - sulbactam sodium 30 mg/ml
injekce Insulin 0.2 UI/ml
Chlorid sodný 0,9% 129
Okamžitá zákal Nekompatibilní
injekce Ampicillin sodium - sulbactam sodium 20/10 mg/ml
injekce Isavuconazonium sulfate 1.5 mg/ml
Chlorid sodný 0,9% 3829
Kompatibilní
injekce Ampicillin sodium - sulbactam sodium
Chlorid sodný 0,9% 5067
Okamžitá zákal Nekompatibilní
injekce Ampicillin sodium - sulbactam sodium 20/10 mg/ml
injekce Isavuconazonium sulfate 1.5 mg/ml
GlukÛza 5% 3829
Kompatibilní
injekce Ampicillin sodium - sulbactam sodium 20/10 mg/ml
injekce Ketoprofene 3.2 mg/ml
Chlorid sodný 0,9% 1847
Okamžité srážení Nekompatibilní
injekce Ampicillin sodium - sulbactam sodium 20/10 mg/ml
injekce Lansoprazole 0.55 mg/ml
Chlorid sodný 0,9% 1625
Kompatibilní
injekce Ampicillin sodium - sulbactam sodium 20/10 mg/ml
injekce Linezolid 2 mg/ml
Žádné 1925
Kompatibilní
injekce Ampicillin sodium - sulbactam sodium 30 mg/ml
injekce Morphine sulfate 1 mg/ml
Chlorid sodný 0,9% 406
Okamžitá zákal Nekompatibilní
injekce Ampicillin sodium - sulbactam sodium 15 mg/ml
injekce Nicardipine hydrochloride 0.1 mg/ml
Chlorid sodný 0,9% 1490
Okamžitá zákal Nekompatibilní
injekce Ampicillin sodium - sulbactam sodium 15 mg/ml
injekce Nicardipine hydrochloride 0.1 mg/ml
GlukÛza 5% 1490
Okamžité srážení Nekompatibilní
injekce Ampicillin sodium - sulbactam sodium 20/10 mg/ml
injekce Ondansetron hydrochloride 1 mg/ml
Chlorid sodný 0,9% 334
Kompatibilní
injekce Ampicillin sodium - sulbactam sodium 20/10 mg/ml
injekce Paclitaxel 1.2 mg/ml
GlukÛza 5% 248
Kompatibilní
injekce Ampicillin sodium - sulbactam sodium 20/10 mg/ml
injekce Palonosetron hydrochloride 50 µg/ml
Chlorid sodný 0,9% 2214
Kompatibilní
injekce Ampicillin sodium - sulbactam sodium 20/10 mg/ml
injekce Pemetrexed disodium 20 mg/ml
Chlorid sodný 0,9% 1953
Kompatibilní
injekce Ampicillin sodium - sulbactam sodium 30 mg/ml
injekce Pethidine hydrochloride 10 mg/ml
Chlorid sodný 0,9% 406
Kompatibilní
injekce Ampicillin sodium - sulbactam sodium 20/10 mg/ml
injekce Plazomicin sulfate 24 mg/ml
Chlorid sodný 0,9% 4145
Kompatibilní
injekce Ampicillin sodium - sulbactam sodium 20/10 mg/ml
injekce Remifentanil hydrochloride 25 & 250 µg/ml
Chlorid sodný 0,9% 59
Srážky po 4 hodinách Nekompatibilní
injekce Ampicillin sodium - sulbactam sodium 20/10 mg/ml
injekce Sargramostim 10 µg/ml
Chlorid sodný 0,9% 335
Kompatibilní
injekce Ampicillin sodium - sulbactam sodium 200 mg/ml
injekce Sugammadex 100 mg/ml
Žádné 3372
Kompatibilní
injekce Ampicillin sodium - sulbactam sodium 50 mg/ml
injekce Tacrolimus 1000 µg/ml
Chlorid sodný 0,9% 479
Kompatibilní
injekce Ampicillin sodium - sulbactam sodium 20/10 mg/ml
injekce Tedizolid phosphate 0.8 mg/ml
Chlorid sodný 0,9% 3827
Kompatibilní
injekce Ampicillin sodium - sulbactam sodium 20/10 mg/ml
injekce Telavancin hydrochloride 7.5 mg/ml
GlukÛza 5% 3254
Kompatibilní
injekce Ampicillin sodium - sulbactam sodium 20/10 mg/ml
injekce Telavancin hydrochloride 7.5 mg/ml
Chlorid sodný 0,9% 3254
Kompatibilní
injekce Ampicillin sodium - sulbactam sodium 20/10 mg/ml
injekce Telavancin hydrochloride 7.5 mg/ml
RingerŐs laktátový roztok 3254
Kompatibilní
injekce Ampicillin sodium - sulbactam sodium 20/10 mg/ml
injekce Teniposide 0.1 mg/ml
GlukÛza 5% 905
Kompatibilní
injekce Ampicillin sodium - sulbactam sodium 30 mg/ml
injekce Theophylline 4 mg/ml
Žádné 317
Kompatibilní
injekce Ampicillin sodium - sulbactam sodium 20/10 mg/ml
injekce Thiotepa 1 mg/ml
GlukÛza 5% 249
Kompatibilní
injekce Ampicillin sodium - sulbactam sodium 10/20 mg/ml
injekce Tramadol hydrochloride 0,4 mg/ml
Chlorid sodný 0,9% 2002
Kompatibilní
injekce Ampicillin sodium - sulbactam sodium 1/0.5 >> 250/125 mg/ml
injekce Vancomycin hydrochloride 2 mg/ml
GlukÛza 5% 1674
Kompatibilní
injekce Ampicillin sodium - sulbactam sodium 1/0.5 >> 50/25 mg/ml
injekce Vancomycin hydrochloride 20 mg/ml
GlukÛza 5% 1674
Okamžité srážení Nekompatibilní
injekce Ampicillin sodium - sulbactam sodium 250-125 mg/ml
injekce Vancomycin hydrochloride 20 mg/ml
GlukÛza 5% 1674

  Mentions Légales