Utolsó frissítés :
27/04/2026
Antibiotikum   Ampicillin sodium - sulbactam sodium  
Injekció
Az oldatok stabilitása A keverékek stabilitása Stabilitást befolyásoló tényezők Kompatibilitás Az alkalmazás módja Irodalom pdf
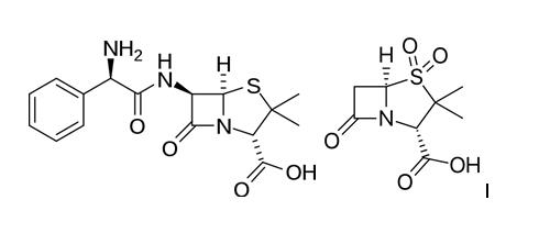
   Kémiai szerkezet   

Kereskedelmi név   Kereskedelmi név     

A kereskedelmi név meghatározó jelentőségű: a készítmények összetétele országonként, előállítóként eltérő lehet

Alfasid Törökország
Ampibac Colombia
Ampibactam Venezuela
Ampicillin sulbactam Ausztrália
Ampicillina sodica - sulbactam Brazília, Ecuador
Ampictam Egyiptom
Ampiplus Románia, Szaúd-Arábiában
Ampisid Törökország
Ampixim Venezuela
Bacimex Spanyolország
Begalin Görögország
Bethacil Olaszország
Cinclox India
Combicid Törökország
Darzitil Argentína
Duobaktam Törökország
Duocid Törökország
Galotam Spanyolország
Libractam Chile
Loricin Olaszország
Prixin Argentína
Ranpisul Mexikó
Retarpen Spanyolország
Sabect Egyiptom
Sulamp Colombia
Sulbacter Venezuela
Sulbaksit Törökország
Sulbin Egyiptom
Sulcid Törökország
Sumitan Colombia, Venezuela
Synerpen Egyiptom
Ultracillin Egyiptom
Unacid Németország
Unacim Franciaország
Unasyn Amerikai Egyesült Államok, Ausztria, Brazília, Chile, Colombia, Ecuador, Egyiptom, Japán, Lengyelország, Magyarország, Malaysia, Marokkó, Mexikó, Németország, Olaszország, Peru, Spanyolország, Szaúd-Arábiában
Unictam Egyiptom
Xilbac Peru
Kompatibilitás   Injekció   Kompatibilitás : Ampicillin sodium - sulbactam sodium              
Ovdje su prikazane kompatibilnosti ili nekompatibilnosti s tipom nekompatibilnosti (taloženje, promjena boje, modifikacija emulzije itd.) u ovom slučaju. Kompatibilnosti prikazane ovdje najčešće su fizikalne dok se kemijska stabilnost molekule rijetko procjenjuje. Procjena ovih mikstura je proučavana kako bi se razmotrila mogućnost primjene lijeka putem Y-mjesta. Ovi se podaci ne smiju koristiti za pripremu mikstura unaprijed u vrećicama ili štrcaljkama. Ova vrsta informacije se može pronaći u odjeljku « stabilnost u miksturama ».
Vegyület Oldószer Irodalom
Összeegyeztethető
Injekció Ampicillin sodium - sulbactam sodium 20/10 mg/ml
Injekció Amifostine 10 mg/ml
5% glükóz 3
Kémiai instabilitás Összeegyeztethetetlen
Injekció Ampicillin sodium - sulbactam sodium
Injekció Amikacin sulfate
3549
Azonnali csapadék Összeegyeztethetetlen
Injekció Ampicillin sodium - sulbactam sodium 30 mg/ml
Injekció Amiodarone hydrochloride 6 mg/ml
0,9% nátrium-klorid 1611
Azonnali csapadék Összeegyeztethetetlen
Injekció Ampicillin sodium - sulbactam sodium 30 mg/ml
Injekció Amiodarone hydrochloride 6 mg/ml
5% glükóz 1611
Azonnali csapadék Összeegyeztethetetlen
Injekció Ampicillin sodium - sulbactam sodium 20/10 mg/ml
Injekció Amphotericin B cholesteryl sulfate complex 0.83 mg/ml
5% glükóz 921
Összeegyeztethető
Injekció Ampicillin sodium - sulbactam sodium 20/10 mg/ml
Injekció Anidulafungin 0.5 mg/ml
5% glükóz 1982
Összeegyeztethető
Injekció Ampicillin sodium - sulbactam sodium 20/10 mg/ml
Injekció Aztreonam 40 mg/ml
5% glükóz 99
Összeegyeztethető
Injekció Ampicillin sodium - sulbactam sodium 20/10 mg/ml
Injekció Bivalirudin 5 mg/ml
5% glükóz 1713
Összeegyeztethető
Injekció Ampicillin sodium - sulbactam sodium 20/10 mg/ml
Injekció Ceftolozane / tazobactam 10/5 mg/ml
0,9% nátrium-klorid 3828
Összeegyeztethető
Injekció Ampicillin sodium - sulbactam sodium 20/10 mg/ml
Injekció Ceftolozane / tazobactam 10/5 mg/ml
5% glükóz 3828
Azonnali csapadék Összeegyeztethetetlen
Injekció Ampicillin sodium - sulbactam sodium
Injekció Ciprofloxacin lactate
5% glükóz 1500
Azonnali csapadék Összeegyeztethetetlen
Injekció Ampicillin sodium - sulbactam sodium 30 mg/ml
Injekció Ciprofloxacin lactate 2 mg/ml
5% glükóz 285
Azonnali csapadék Összeegyeztethetetlen
Injekció Ampicillin sodium - sulbactam sodium
Injekció Ciprofloxacin lactate
0,9% nátrium-klorid 1500
Meghatározatlan összeférhetetlenség Összeegyeztethetetlen
Injekció Ampicillin sodium - sulbactam sodium
Injekció Ciprofloxacin lactate
3529
Azonnali zavarosság Összeegyeztethetetlen
Injekció Ampicillin sodium - sulbactam sodium 20/10 mg/ml
Injekció Cisatracurium besylate 5 mg/ml
5% glükóz 299
Összeegyeztethető
Injekció Ampicillin sodium - sulbactam sodium 20/10 mg/ml
Injekció Dexmedetomidine 4 µg/ml
0,9% nátrium-klorid 1712
Összeegyeztethető
Injekció Ampicillin sodium - sulbactam sodium 20/10 mg/ml
Injekció Docetaxel 0.9 mg/ml
5% glükóz 1754
Meghatározatlan összeférhetetlenség Összeegyeztethetetlen
Injekció Ampicillin sodium - sulbactam sodium
Parenterális táplálás (lipid-mentes) 5067
Összeegyeztethető
Injekció Ampicillin sodium - sulbactam sodium 20/10 mg/ml
Parenterális táplálás (lipid-mentes) 301
Meghatározatlan összeférhetetlenség Összeegyeztethetetlen
Injekció Ampicillin sodium - sulbactam sodium
Parenterális táplálás (lipid) 5067
Összeegyeztethető
Injekció Ampicillin sodium - sulbactam sodium 20/10 mg/ml
Injekció Cisatracurium besylate 0.1 & 2 mg/ml
5% glükóz 299
Azonnali zavarosság Összeegyeztethetetlen
Injekció Ampicillin sodium - sulbactam sodium 20/10 mg/ml
Injekció Cisatracurium besylate 5 mg/ml
0,9% nátrium-klorid 299
Összeegyeztethető
Injekció Ampicillin sodium - sulbactam sodium 2 & 15 mg/ml
Injekció Diltiazem hydrochloride 5 mg/ml
0,9% nátrium-klorid 198
Összeegyeztethető
Injekció Ampicillin sodium - sulbactam sodium 45 mg/ml
Injekció Diltiazem hydrochloride 1 mg/ml
0,9% nátrium-klorid 198
Összeegyeztethető
Injekció Ampicillin sodium - sulbactam sodium 20 mg/ml
Parenterális táplálás (lipid) 4507
Azonnali zavarosság Összeegyeztethetetlen
Injekció Ampicillin sodium - sulbactam sodium 45 mg/ml
Injekció Diltiazem hydrochloride 5 mg/ml
0,9% nátrium-klorid 198
Összeegyeztethető
Injekció Ampicillin sodium - sulbactam sodium 15 mg/ml
Injekció Enalaprilate 0.05 mg/ml
0,9% nátrium-klorid 1315
Összeegyeztethető
Injekció Ampicillin sodium - sulbactam sodium 20/10 mg/ml
Parenterális táplálás (lipid) 1415
Meghatározatlan összeférhetetlenség Összeegyeztethetetlen
Injekció Ampicillin sodium - sulbactam sodium
Injekció Erythromycin lactobionate
3674
Összeegyeztethető
Injekció Ampicillin sodium - sulbactam sodium 30 mg/ml
Injekció Famotidine
5% glükóz 397
Összeegyeztethető
Injekció Ampicillin sodium - sulbactam sodium 60 mg/ml
Injekció Fluconazole 2 mg/ml
0,9% nátrium-klorid 496
Összeegyeztethető
Injekció Ampicillin sodium - sulbactam sodium 15 mg/ml
Parenterális táplálás (lipid) 4440
Összeegyeztethető
Injekció Ampicillin sodium - sulbactam sodium 20/10 mg/ml
Injekció Etoposide phosphate 5 mg/ml
5% glükóz 1410
Összeegyeztethető
Injekció Ampicillin sodium - sulbactam sodium 20/10 mg/ml
Injekció Fenoldopam mesylate 80 µg/ml
0,9% nátrium-klorid 1803
Összeegyeztethető
Injekció Ampicillin sodium - sulbactam sodium 20/10 mg/ml
Injekció Filgrastim 30 µg/ml
5% glükóz 244
Összeegyeztethető
Injekció Ampicillin sodium - sulbactam sodium 20/10 mg/ml
Injekció Fludarabine phosphate 1 mg/ml
5% glükóz 492
Összeegyeztethető
Injekció Ampicillin sodium - sulbactam sodium 20/10 mg/ml
Injekció Fosfomycin 30 mg/ml
5% glükóz 4055
Összeegyeztethető
Injekció Ampicillin sodium - sulbactam sodium 20/10 mg/ml
Injekció Fosfomycin 30 mg/ml
0,9% nátrium-klorid 4055
Összeegyeztethető
Injekció Ampicillin sodium - sulbactam sodium 45/22.4 mg/ml
Injekció Gallium nitrate 1 mg/ml
0,9% nátrium-klorid 91
Összeegyeztethető
Injekció Ampicillin sodium - sulbactam sodium 20/10 mg/ml
Injekció Gemcitabine hydrochloride 10 mg/ml
0,9% nátrium-klorid 1423
Meghatározatlan összeférhetetlenség Összeegyeztethetetlen
Injekció Ampicillin sodium - sulbactam sodium
Injekció Gentamicin sulfate
3520
Meghatározatlan összeférhetetlenség Összeegyeztethetetlen
Injekció Ampicillin sodium - sulbactam sodium
Injekció Gentamicin sulfate
3643
Összeegyeztethető
Injekció Ampicillin sodium - sulbactam sodium 20/10 mg/ml
Injekció Granisetron hydrochloride 0.05 mg/ml
0,9% nátrium-klorid 182
Összeegyeztethető
Injekció Ampicillin sodium - sulbactam sodium 30 mg/ml
Injekció Heparin sodium 50 UI/ml
Egy sem 317
Összeegyeztethető
Injekció Ampicillin sodium - sulbactam sodium 20/10 mg/ml
Injekció Hetastarch 60 mg/ml
egyedi oldószer 1721
Azonnali zavarosság Összeegyeztethetetlen
Injekció Ampicillin sodium - sulbactam sodium 30 mg/ml
Injekció Idarubicin hydrochloride 1 mg/ml
0,9% nátrium-klorid 491
Összeegyeztethető
Injekció Ampicillin sodium - sulbactam sodium 30 mg/ml
Injekció Insulin 0.2 UI/ml
0,9% nátrium-klorid 129
Azonnali zavarosság Összeegyeztethetetlen
Injekció Ampicillin sodium - sulbactam sodium 20/10 mg/ml
Injekció Isavuconazonium sulfate 1.5 mg/ml
0,9% nátrium-klorid 3829
Összeegyeztethető
Injekció Ampicillin sodium - sulbactam sodium
0,9% nátrium-klorid 5067
Azonnali zavarosság Összeegyeztethetetlen
Injekció Ampicillin sodium - sulbactam sodium 20/10 mg/ml
Injekció Isavuconazonium sulfate 1.5 mg/ml
5% glükóz 3829
Összeegyeztethető
Injekció Ampicillin sodium - sulbactam sodium 20/10 mg/ml
Injekció Ketoprofene 3.2 mg/ml
0,9% nátrium-klorid 1847
Azonnali csapadék Összeegyeztethetetlen
Injekció Ampicillin sodium - sulbactam sodium 20/10 mg/ml
Injekció Lansoprazole 0.55 mg/ml
0,9% nátrium-klorid 1625
Összeegyeztethető
Injekció Ampicillin sodium - sulbactam sodium 20/10 mg/ml
Injekció Linezolid 2 mg/ml
Egy sem 1925
Összeegyeztethető
Injekció Ampicillin sodium - sulbactam sodium 30 mg/ml
Injekció Morphine sulfate 1 mg/ml
0,9% nátrium-klorid 406
Azonnali zavarosság Összeegyeztethetetlen
Injekció Ampicillin sodium - sulbactam sodium 15 mg/ml
Injekció Nicardipine hydrochloride 0.1 mg/ml
0,9% nátrium-klorid 1490
Azonnali zavarosság Összeegyeztethetetlen
Injekció Ampicillin sodium - sulbactam sodium 15 mg/ml
Injekció Nicardipine hydrochloride 0.1 mg/ml
5% glükóz 1490
Azonnali csapadék Összeegyeztethetetlen
Injekció Ampicillin sodium - sulbactam sodium 20/10 mg/ml
Injekció Ondansetron hydrochloride 1 mg/ml
0,9% nátrium-klorid 334
Összeegyeztethető
Injekció Ampicillin sodium - sulbactam sodium 20/10 mg/ml
Injekció Paclitaxel 1.2 mg/ml
5% glükóz 248
Összeegyeztethető
Injekció Ampicillin sodium - sulbactam sodium 20/10 mg/ml
Injekció Palonosetron hydrochloride 50 µg/ml
0,9% nátrium-klorid 2214
Összeegyeztethető
Injekció Ampicillin sodium - sulbactam sodium 20/10 mg/ml
Injekció Pemetrexed disodium 20 mg/ml
0,9% nátrium-klorid 1953
Összeegyeztethető
Injekció Ampicillin sodium - sulbactam sodium 30 mg/ml
Injekció Pethidine hydrochloride 10 mg/ml
0,9% nátrium-klorid 406
Összeegyeztethető
Injekció Ampicillin sodium - sulbactam sodium 20/10 mg/ml
Injekció Plazomicin sulfate 24 mg/ml
0,9% nátrium-klorid 4145
Összeegyeztethető
Injekció Ampicillin sodium - sulbactam sodium 20/10 mg/ml
Injekció Remifentanil hydrochloride 25 & 250 µg/ml
0,9% nátrium-klorid 59
Csapadék 4 óra után Összeegyeztethetetlen
Injekció Ampicillin sodium - sulbactam sodium 20/10 mg/ml
Injekció Sargramostim 10 µg/ml
0,9% nátrium-klorid 335
Összeegyeztethető
Injekció Ampicillin sodium - sulbactam sodium 200 mg/ml
Injekció Sugammadex 100 mg/ml
Egy sem 3372
Összeegyeztethető
Injekció Ampicillin sodium - sulbactam sodium 50 mg/ml
Injekció Tacrolimus 1000 µg/ml
0,9% nátrium-klorid 479
Összeegyeztethető
Injekció Ampicillin sodium - sulbactam sodium 20/10 mg/ml
Injekció Tedizolid phosphate 0.8 mg/ml
0,9% nátrium-klorid 3827
Összeegyeztethető
Injekció Ampicillin sodium - sulbactam sodium 20/10 mg/ml
Injekció Telavancin hydrochloride 7.5 mg/ml
5% glükóz 3254
Összeegyeztethető
Injekció Ampicillin sodium - sulbactam sodium 20/10 mg/ml
Injekció Telavancin hydrochloride 7.5 mg/ml
0,9% nátrium-klorid 3254
Összeegyeztethető
Injekció Ampicillin sodium - sulbactam sodium 20/10 mg/ml
Injekció Telavancin hydrochloride 7.5 mg/ml
Ringer-laktát oldat 3254
Összeegyeztethető
Injekció Ampicillin sodium - sulbactam sodium 20/10 mg/ml
Injekció Teniposide 0.1 mg/ml
5% glükóz 905
Összeegyeztethető
Injekció Ampicillin sodium - sulbactam sodium 30 mg/ml
Injekció Theophylline 4 mg/ml
Egy sem 317
Összeegyeztethető
Injekció Ampicillin sodium - sulbactam sodium 20/10 mg/ml
Injekció Thiotepa 1 mg/ml
5% glükóz 249
Összeegyeztethető
Injekció Ampicillin sodium - sulbactam sodium 10/20 mg/ml
Injekció Tramadol hydrochloride 0,4 mg/ml
0,9% nátrium-klorid 2002
Összeegyeztethető
Injekció Ampicillin sodium - sulbactam sodium 1/0.5 >> 250/125 mg/ml
Injekció Vancomycin hydrochloride 2 mg/ml
5% glükóz 1674
Összeegyeztethető
Injekció Ampicillin sodium - sulbactam sodium 1/0.5 >> 50/25 mg/ml
Injekció Vancomycin hydrochloride 20 mg/ml
5% glükóz 1674
Azonnali csapadék Összeegyeztethetetlen
Injekció Ampicillin sodium - sulbactam sodium 250-125 mg/ml
Injekció Vancomycin hydrochloride 20 mg/ml
5% glükóz 1674

  Mentions Légales