Poslední aktualizace :
27/04/2026
Antibiotikas   Clindamycin phosphate  
Įpurškimas
Tirpalų stabilumas Mišinių stabilumas Stabilumą lemiantys veiksniai Suderinamumas Leidimo būdai Bibliografija pdf
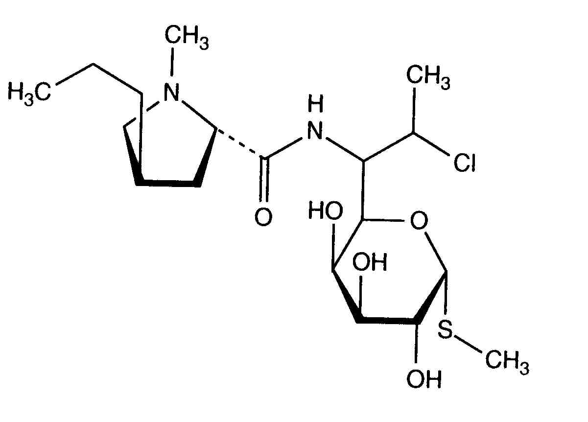
   Cheminė sandara  

Prekinis pavadinimas   Prekinis pavadinimas     

Trade names are indicative and excipients composition can be different depending on the country and manufacturers

Biodaclin Meksikas
Camyda Indija
Cinbiot Meksikas
Cleocin Austrija, Jungtinės Amerikos Valstijos, Turkija
Clinamsa Meksikas
Clinbac Kolumbija, Peru
Clincina Portugalija
Clinda-Saar Vokietija
Clindacid Venesuela
Clindacin Malaizija
Clindalaf Argentina
Clindamicina Argentina, Brazilija, Čilė, Ekvadoras, Ispanija, Italija, Kolumbija, Meksikas, Peru, Portugalija, Venesuela
Clindamycin Austrija, Iranas, Jungtinės Amerikos Valstijos, Kanada, Norvegija, Rumunija, Saudo Arabija, Švedija, Vokietija
Clindamycin-Hameln Vokietija
Clindamycine Belgija, Olandija, Prancūzija, Tunisas
Clindanovag Argentina
Clindarix Brazilija
Clindasol Vokietija
Clindaval Venesuela
Clindazyn Meksikas
Clindo Lenkija
Clysvic Meksikas
Daclin Čilė
Dalacin Airija, Australija, Belgija, Čilė, Danija, Didžioji Britanija, Egiptas, Ekvadoras, Graikija, Indija, Iranas, Islandija, Italija, Jungtiniai Arabų Emyratai, Kanada, Kolumbija, Lenkija, Liuksemburgas, Malaizija, Meksikas, Naujojoje Zelandijoje, Norvegija, Olandija, Saudo Arabija, Suomija, Švedija, Šveicarija, Tunisas, Venesuela, Vengrija
Dalacine Prancūzija, Tunisas
Daladic Iranas
Dalcinex Indija
Damclid Indija
Damicin Kolumbija, Meksikas
Damicine Kolumbija
Dolarclin Kolumbija
Euroclin Ekvadoras, Kolumbija
Gynasafe Indija
Indamid Meksikas
Klimicin Lenkija
Klindan Turkija
Klindaver Turkija
Lanacine Austrija
Lincocin Malaizija
Lincosa Malaizija
Meneklin Turkija
Sobelin Vokietija
Tidact Malaizija
Bibliografija   Įpurškimas   Bibliografija : Clindamycin phosphate  
tipas leidinys
3 Žurnalas Trissel LA, Martinez JF.
Compatibility of amifostine with selected drugs during simulated Y-site administration.
Am J Health-Syst Pharm 1995 ; 52: 2208-2212.
59 Žurnalas Trissel LA, Gilbert DL, Martinez JF, Kim MC.
Compatibility of remifentanil hydrochloride with selected drugs during simulated Y-site administration.
Am J Health-Syst Pharm 1997 ; 54: 2192-2196.
63 Žurnalas Marquardt Ed, Lam SSY.
Visual compatibility of fentanyl citrate with selected drugs during simulated Y-site injection.
Am J Hosp Pharm 1994 ; 51: 811-812.
73 Žurnalas Lor E, Takagi J.
Visual compatibility of foscarnet with other injectable drugs.
Am J Hosp Pharm 1990 ; 47: 157-159.
80 Žurnalas Nahata MC, Morosco RS, Hipple TF.
Stability of cimetidine hydrochloride and of clindamycin phosphate in water for injection stored in glass vials at two temperatures.
Am J Hosp Pharm 1993 ; 50: 2559-2561.
81 Žurnalas Trissel LA, Martinez JF.
Compatibility of piperacillin sodium plus tazobactam with selected drugs during simulated Y-site injection.
Am J Hosp Pharm 1994 ; 51: 672-678.
84 Žurnalas Trissel LA, Martinez JF.
Visual, turbidimetric, and particle-content assessment of compatibility of vinorelbine tartrate with selected drugs during simulated Y-site injection.
Am J Hosp Pharm 1994 ; 51: 495-499.
99 Žurnalas Trissel LA, Martinez JF.
Compatibility of aztreonam with selected drugs during simulated Y-site administration.
Am J Health-Syst Pharm 1995 ; 52: 1086-1090.
169 Žurnalas Trissel LA, Martinez JF.
Physical compatibility of melphalan with selected drugs during simulated Y-site administration.
Am J Hosp Pharm 1993 ; 50: 2359-2363.
176 Žurnalas Mantong ML, Marquardt ED.
Visual compatibility of midazolam hydrochloride with selected drugs during simulated Y-site injection.
Am J Health-Syst Pharm 1995 ; 52: 2567-2568.
182 Žurnalas Trissel LA, Gilbert DL, Martinez JF.
Compatibility of granisetron hydrochloride with selected drugs during simulated Y-site administration.
Am J Health-Syst Pharm 1997 ; 54: 56-60.
198 Žurnalas Gayed AA, Kheshary PR, Hinkle RL.
Visual compatibility of diltiazem injection with various diluents and medications during simulated Y-site injection.
Am J Health-Syst Pharm 1995 ; 52: 516-520.
244 Žurnalas Trissel LA, Martinez JF.
Compatibility of filgrastim with selected drugs during simulated Y-site administration.
Am J Hosp Pharm 1994 ; 51: 1907-1913.
249 Žurnalas Trissel LA, Martinez JF.
Compatibility of thiotepa (lyophilized) with selected drugs during simulated Y-site administration.
Am J Health-Syst Pharm 1996 ; 53: 1041-1045.
251 Žurnalas Trissel LA, Gilbert DL, Martinez JF.
Compatibility of doxorubicin hydrochloride liposome injection with selected other drugs during simulated Y-site administration.
Am J Health-Syst Pharm 1997 ; 54: 2708-2713.
253 Žurnalas Trissel LA, Chandler SW, Folstad JT.
Visual compatibility of amsacrine with selected drugs during simulated Y-site injection.
Am J Hosp Pharm 1990 ; 47: 2525-2528.
256 Žurnalas Inagaki K, Takagi J, Lor E, Lee KJ, Nii L, Gill MA.
Stability of fluconazole in commonly used intravenous antibiotic solutions.
Am J Hosp Pharm 1993 ; 50: 1206-1208.
280 Žurnalas Allen LV, Stiles ML, Prince SJ, Sylvestri MF.
Stability of cefpirome sulfate in the presence of commonly used intensive care drugs during simulated Y-site injection.
Am J Health-Syst Pharm 1995 ; 52: 2427-2433.
299 Žurnalas Trissel LA, Martinez JF, Gilbert DL.
Compatibility of cisatracurium besylate with selected drugs during simulated Y-site administration.
Am J Health-Syst Pharm 1997 ; 54: 1735-1741.
300 Žurnalas Trissel LA, Gilbert DL, Martinez JF.
Compatibility of propofol injectable emulsion with selected drugs during simulated Y-site administration.
Am J Health-Syst Pharm 1997 ; 54: 1287-1292.
301 Žurnalas Trissel LA, Gilbert DL, Martinez JF, Baker MB, Walter WV, Mirtallo JM.
Compatibility of parenteral nutrient solutions with selected drugs during simulated Y-site administration.
Am J Health-Syst Pharm 1997 ; 54: 1295-1300.
307 Žurnalas Trissel LA, Martinez JF.
Compatibility of allopurinol sodium with selected drugs during simulated Y-site administration.
Am J Hosp Pharm 1994 ; 51: 1792-1799.
317 Žurnalas Kershaw BP, Monnier HL, Mason JH.
Visual compatibility of premixed theophylline or heparin with selected drugs for IV administration.
Am J Hosp Pharm 1993 ; 50: 1360-1362.
334 Žurnalas Trissel LA, Tramonte SM, Grilley BJ.
Visual compatibility of ondansetron hydrochloride with selected drugs during simulated Y-site injection.
Am J Hosp Pharm 1991 ; 48: 988-992.
335 Žurnalas Trissel LA, Bready BB, Kwan JW, Santiago NM.
Visual compatibility of sargramostim with selected antineoplasic agents, anti-infectives, or other drugs during simulated Y-site injection.
Am J Hosp Pharm 1992 ; 49: 402-406.
336 Žurnalas Forman JK, Lachs JR, Souney PF.
Visual compatibility of acyclovir sodium with commonly used intravenous drugs during simulated Y-site injection.
Am J Hosp Pharm 1987 ; 44: 1408-1409.
337 Žurnalas Bashaw ED, Amantea MA, Minor JR, Galleli JF.
Visual compatibility of zidovudine with other drugs during simulated Y-site administration.
Am J Hosp Pharm 1988 ; 45: 2532-2533.
384 Žurnalas Colucci RD, Cobuzzi LE, Halpern NA.
Visual compatibility of esmolol hydrochloride and various injectable drugs during simulated Y-site injection.
Am J Hosp Pharm 1988 ; 45: 630-632.
385 Žurnalas Benedict MK, Roche VF, Banakar UV, Hilleman DE.
Visual compatibility of amiodarone hydrochloride with various antimicrobial agents during simulated Y-site injection.
Am J Hosp Pharm 1988 ; 45: 1117-1118.
386 Žurnalas Colucci RD, Cobuzzi LE, Halpern NA.
Visual compatibility of labetalol hydrochloride injection with various injectable drugs during simulated Y-site injection.
Am J Hosp Pharm 1988 ; 45: 1357-1358.
405 Žurnalas Nieves-Cordero AL, Luciw HM, Souney PF.
Compatibility of narcotic analgesic solutions with various antibiotics during simulated Y-site injection.
Am J Hosp Pharm 1985 ; 42: 1108-1109.
418 Žurnalas Bosso JA, Townsend RJ.
Stability of clindamycin phosphate and ceftizoxime sodium, cefoxitine sodium, cefamandole nafate, or cefazolin sodium in two intravenous solutions.
Am J Hosp Pharm 1985 ; 42: 2211-2214.
419 Žurnalas James MJ, Riley CM.
Stability of intravenous admixtures of aztreonam and clindamycin phosphate.
Am J Hosp Pharm 1985 ; 42: 1984-1986.
421 Žurnalas Foley PT, Bosso JA, Bair JN, Townsend RJ.
Compatibility of clindamycin phosphate with cefotaxim sodium or netilmicin sulfate in small-volume admixtures.
Am J Hosp Pharm 1985 ; 42: 839-843.
423 Žurnalas Mansur JM, Abramowitz PW, Lerner SA, Smith RB, Townsend RJ.
Stability and cost analysis of clindamycin-gentamicin admixtures given every eight hours.
Am J Hosp Pharm 1985 ; 42: 332-335.
432 Žurnalas Marble DA, Bosso JA, Townsend RJ.
Stability of clindamycin phosphate with aztreonam, ceftazidime sodium, ceftriaxone sodium, or piperacillin sodium in two intravenous solutions.
Am J Hosp Pharm 1986 ; 43: 1732-1736.
434 Žurnalas Goodwin SD, Nix DE, Heyd A, Wilton JH.
Compatibility of ciprofloxacin injection with selected drugs and solutions.
Am J Hosp Pharm 1991 ; 48: 2166-2171.
479 Žurnalas Min DI, Brown T, HWang GC.
Visual compatibility of tacrolimus with commonly used drugs during simulated Y-site injection.
Am J Hosp Pharm 1992 ; 49: 2964-2966.
491 Žurnalas Turowski RC, Durthaler JM.
Visual compatibility of idarubicin hydrochloride with selected drugs during simulated Y-site injection.
Am J Hosp Pharm 1991 ; 48: 2181-2184.
492 Žurnalas Trissel LA, Parks NPT, Santiago NM.
Visual compatibility of fludarabine phosphate with antineoplastic drugs, anti-infectives, and other selected drugs during simulated Y-site injection.
Am J Hosp Pharm 1991 ; 48: 2186-2189.
496 Žurnalas Lor E, Sheybani T, Takagi J.
Visual compatibility of fluconazole with commonly used injectable drugs during simulated Y-site administration.
Am J Hosp Pharm 1991 ; 48: 744-746.
565 Žurnalas Marble DA, Bosso JA, Townsend RJ.
Compatibility of clindamycin phosphate with amikacin sulfate at room temperature and with gentamicin sulfate and tobramycin sulfate under frozen conditions.
Drug Intell Clin Pharm 1986 ; 20: 960-963.
566 Žurnalas Porter WR, Johnson CA, Cohon MS, Gillespie W.
Compatibility and stability of clindamycin phosphate with intravenous fluids.
Am J Hosp Pharm 1983 ; 40: 91-94.
567 Žurnalas Das Gupta V, Parasrampuria J, Bethea C, Wright W.
Stability of clindamycin phophate in dextrose and saline solutions.
Can J Hosp Pharm 1989 ; 42: 109-112.
575 Žurnalas Holmes CJ, Ausman RK, Kundsin RB, Walter CW.
Effect of freezing and microwave thawing on the stability of six antibiotic admixtures in plastic bags.
Am J Hosp Pharm 1982 ; 39: 104-108.
604 Laboratorija Stabilité des médicaments dans l'Intermate® SV50, 100, 200
Baxter 1998
639 Žurnalas Zbrozek AS, Marble DA, Bosso JA, Bair JN, Townsend RJ.
Compatibility and stability of clindamycin phosphate - aminoglycoside combinations within polypropylene syringes.
Drug Intell Clin Pharm 1987 ; 21: 806-810.
644 Žurnalas Marble DA, Bosso JA, Townsend RJ.
Compatibility of clindamycin phosphate with aztreonam in polypropylene syringes and with cefoperazone sodium, cefonicid sodium, and cefuroxime sodium in partial-fill glass bottles.
Drug Intell Clin Pharm 1988 ; 22: 54-57.
695 Žurnalas Zbrozek AS, Marble DA, Bosso JA.
Compatibility and stability of cefazolin sodium, clindamycin phosphate, and gentamicin sulfate in two intravenous solutions.
Drug Intell Clin Pharm 1988 ; 22: 873-875.
889 Žurnalas Janknegt R, Stratermans T, Cilissen J, Lohman JJHM, Hooymans PM.
Ofloxacin intravenous. Compatibility with other antibacterial agents.
Pharm Weekbl [Sci] 1991 ; 13: 207-209.
905 Žurnalas Trissel LA, Martinez JF.
Screening teniposide for Y-site physical incompatibilities.
Hosp Pharm 1994 ; 29: 1010-1017.
921 Žurnalas Trissel LA, Gilbert DL, Martinez JF.
Incompatibility and compatibility of amphotericin B cholesteryl sulfate complex with selected other drugs during simulated Y-site administration.
Hosp Pharm 1998 ; 33: 284-292.
999 Žurnalas Watson D.
Piggyback compatibility of antibiotics with pediatric parenteral nutrition solution.
JPEN 1985 ; 9: 220-224.
1035 Žurnalas Bisaillon S, Sarrazin R.
Compatibility of several antibiotics or hydrocortisone when added to metronidazole solution for intravenous infusion.
J Parenter Sci Technol 1983 ; 37: 129-132.
1047 Žurnalas Souney PF, Colucci RD, Mariani G, Campbell D.
Compatibility of magnesium sulfate solutions with various antibiotics during simulated Y-site injection.
Am J Hosp Pharm 1984 ; 41: 323-324.
1055 Žurnalas Faragos S.
Compatibility of antibiotics and other drugs in total parenteral nutrition solutions.
Can J Hosp Pharm 1983 ; 36: 43-52.
1057 Žurnalas Cutie MR.
Compatibility of verapamil hydrochloride injection with commonly used additives.
Am J Hosp Pharm 1983 ; 40: 1205-1207.
1067 Žurnalas Zeidler C, Dettmering D, Schrammel W, Spieteller M.
Compatibility of various drugs used in intensive care medicine in polyethylene, PVC and glass infusion containers.
EJHP 1999 ; 5: 106-110.
1072 Žurnalas Saltsmann CL, Tom CM, Mitchell A, Fan JH, Gailey RA.
Compatibility of levofloxacin with 34 medications during simulated Y-site administration.
Am J Health-Syst Pharm 1999 ; 56: 1458-1459.
1135 Žurnalas Baltz JK, Kennedy P, Minor JR, Gallelli J.
Visual compatibility of foscarnet with other injectable drugs during simulated Y-site administration.
Am J Hosp Pharm 1990 ; 47: 2075-2077.
1201 Žurnalas Yuhas EM, Lofton FT, Rosenberg HA, Mayron D, Baldinus JG.
Cimetidine hydrochloride compatibility III: Room temperature stability in drug admixtures.
Am J Hosp Pharm 1981 ; 38: 1919-1922.
1315 Žurnalas Halpern NA, Colucci RD, Alicea M, Greenstein R.
Visual compatibility of enalaprilat with commonly used critical care medications during simulated Y-site injection.
Int J Pharm Clin Pharmacol Ther Tox 1989 ; 27: 294-297.
1410 Žurnalas Trissel LA, Martinez JF, Simmons M.
Compatibility of etoposide phosphate with selected drugs during simulated Y-site injection.
J Am Pharm Assoc 1999 ; 39: 141-145.
1415 Žurnalas Trissel L.A, Gilbert D.L, Martinez J.F, Baker M.B, Walter W.V, Mirtallo J.M.
Compatibility of medications with 3-in-1 parenteral nutrition admixtures.
JPEN 1999 ; 23: 67-74.
1423 Žurnalas Trissel LA, Martinez JF, Gilbert DL.
Compatibility of gemcitabine hyrochloride with 107 selected drugs during simulated Y-site injection.
J Am Pharm Assoc 1999 ; 39: 514-518.
1490 Žurnalas Halpern NA, Colucci RD, Alicea M, Greenstein R.
The compatibility of nicardipine hydrochloride injection with various ICU medications during simulated Y-site injection.
Int J Pharm Clin Pharmacol Ther Tox 1989 ; 27: 250-254.
1625 Žurnalas Trissel LA, Saenz C, Williams YW, Ingram D.
Incompatibilities of lansoprazole injection with other drugs during simulated Y-site coadministration.
Int J Pharm Compound 2001 ; 5: 314-321.
1712 Žurnalas Trissel LA, Saenz CA.
Compatibility screening of Precedex during simulated Y-site administration with other drugs.
Int J Pharm Compound 2002 ; 6: 230-233.
1713 Žurnalas Trissel LA, Saenz CA.
Compatibility screening of bivalirudin during simulated Y-site administration with other drugs.
Int J Pharm Compound 2002 ; 6: 311-315.
1721 Žurnalas Trissel LA, Williams KY, Baker MB.
Compatibility screening of Hextend during simulated Y-site administration with other drugs.
Int J Pharm Compound 2001 ; 5: 69-72.
1754 Žurnalas Trissel LA, Gilbert DL, Wolkin AC.
Compatibility of docetaxel with selected drugs during simulated Y-site administration.
Int J Pharm Compound 1999 ; 3: 241-244.
1800 Žurnalas Voytilla KL, Tyler LS, Rusho WJ.
Visual compatibility of azithromycin with 24 commonly used drugs during simulated Y-site delivery.
Am J Health-Syst Pharm 2002 ; 59: 853-855.
1802 Žurnalas Bell MS, Nolt DH.
Visual compatibility of doxapram hydrochloride with drugs commonly administered via a Y-site in the intensive care nursery.
Am J Health-Syst Pharm 2003 ; 60: 193-194.
1803 Žurnalas Trissel, LA, Saenz CA, Ogundele OB, Ingram D, Baker MB.
Compatibility of fenoldopam mesylate with other drugs during simulated Y-site administration.
Am J Health-Syst Pharm 2003 ; 60: 80-85.
1815 Žurnalas Xu QA, Trissel LA.
Stability of clindamycin phosphate in autodose infusion system bags.
Int J Pharm Compound 2003 ; 7, 2: 149-151.
1925 Žurnalas Trissel LA , Williams KY, Gilbert DL.
Compatibility screening of linezolid injection during simulated Y-site administration with other drugs and infusion solutions.
J Am Pharm Assoc 2000 ; 40: 515-519.
1953 Žurnalas Trissel LA, Saenz CA, Ogundele AB, Ingram DS.
Physical compatibility of pemetrexed disodium with other drugs during simulated Y-site administration.
Am J Health-Syst Pharm 2004 ; 61: 2289-2293.
1982 Žurnalas Trissel LA, Ogundele AB.
Compatibility of anidulafungin with other drugs during simulated Y-site administration.
Am J Health-Syst Pharm 2005 ; 62: 834-837.
2002 Žurnalas Abanmy NO, Zaghloul IY, Radwan MA.
Compatibility of tramadol hydrochloride injection with selected drugs and solutions.
Am J Health-Syst Pharm 2005 ; 62: 1299-1302.
2087 Žurnalas Ferreira E, Forest JM, Hildgen P.
Compatibility of dimenhydrinate injectable by Y administration.
Pharmactuel 2004 ; 37: 17-20.
2090 Žurnalas Pere H, Chasse V, Forest JM, Hildgen P.
Compatibility of injectable pantoprazole in Y-site administration.
Pharmactuel 2004 ; 37: 193-196.
2109 Žurnalas Pelletier E, Forest JM, Hildgen P.
Compatibilité de la kétamine injectable lors de l’administration en dérivé avec d’autres médicaments usuels.
Pharmactuel 2006 ; 39: 71-75.
2231 Žurnalas de Jongh R, Hens R, Basma V, mouton JW, Tulkens PM, Carryn S.
Continuous versus intermittent infusion of temocillin, a directed spectrum penicillin for intensive care patients with nosocomial pneumonia: stability, compatibility, population pharmacokinetic studies and breakpoint selection.
J Antimicrob Chemother 2008 ; 61, 2: 382-388.
2233 Žurnalas Condie C.K, Tyler L.S, Barker B, Canann D.M.
Visual compatibility of caspofungin acetate with commonly used drugs during simulated Y-site delivery
Am J Health-Syst Pharm 2008 ; 65, 5: 454-457.
2247 Žurnalas Chan P, Heatherly K, Kupiec T.C, Trissel L.A.
Compatibility of caspofungin acetate injection with other drugs during simulated Y-site coadministration.
Int J Pharm Compound 2008 ; 12, 3: 276-278.
2269 Žurnalas Chan P, Bishop A, Kupiec TC, Trissel LA, Gole D, Jimidar IM, Vermeersch H.
Compatibility of ceftobiprole medocaril with selected drugs during simulated Y-site administration.
Am J Health-Syst Pharm 2008 ; 65, 16: 1545-1551.
3012 Žurnalas Sullivan T, Forrest J.M, Leclair G.
Compatibility of Cloxacillin Sodium with Selected Intravenous Drugs During Simulated Y-Site Administration
Hosp Pharm 2015 ; 50, 3: 214-220.
3152 Žurnalas Kumar A, Mann HJ.
Visual compatibility of oritavancin diphosphate with selected coadministered drugs during simulated Y-site administration.
Am J Health-Syst Pharm 2010 ; 67: 1640-1644.
3216 Žurnalas Legris ME, Valiquette ME, Lavoie A, Forest JM, Leclair G.
Compatibilité physique par évaluation visuelle du salbutamol injectable lors de son administration en Y.
Pharmactuel 2011 ; 44, 1 : 14-18
3249 Žurnalas Singh BM, Dedhiya MG, Dinunzio J, Chan P, Kupiec TC, Trissel LA, Laudano JB.
Compatibility of ceftaroline fosamil for injection with selected drugs during simulated Y-site administration.
Am J Health-Syst Pharm 2011 ; 68: 2163-2169.
3379 Žurnalas Fox L.M, Wilder A.G, Foushee J.A.
Physical compatibility of various drugs with neonatal total parenteral nutrient solution during simulated Y-site administration.
Am J Health-Syst Pharm 2013 ;70:520-524.
3408 Žurnalas Tollec S, Touzin K, Pelletier E, Forest J.M.
Evaluation visuelle de la compatibilité physique de la naloxone avec d’autres médicaments intraveineux usuels.
Pharmactuel 2013 ; 46, 1 : 16-21.
3526 Laboratorija Clindamycin (Dalacin®) - Summary of Product Characteristics
Pharmacia 2010
3548 Laboratorija Cefepime (Maxipime®) - Summary of Product caracteristics.
Bristol Myers Squibb 2007
3571 Žurnalas Anderson C, Boehme S, Ouellette J, Stidham C, MacKay M.
Physical and Chemical Compatibility of Injectable Acetaminophen During Simulated Y-Site Administration.
Hosp Pharm 2014 ; 49, 1: 42-47.
3594 Laboratorija Metronidazole (Flagyl®) - Summary of Product Characteristics
Zentiva 2013
3644 Laboratorija Calcium gluconate® - Summary of Product Characteristics
Hameln Pharmaceuticals 2010
3766 Žurnalas Forrest J.M, Hildgen P.
Compatibilité de l’acétylcystéine injectable lors de son administration en Y avec d’autres médicaments usuels
Pharmactuel 2014 ; 47, 3 : 161-165.
3767 Žurnalas Legris M.E, Lavoie A, Forrest J.M, Hildgen P.
Compatibilité par évaluation visuelle du thiopental injectable lors de son administration en Y avec des médicaments usuels.
Pharmactuel 2014 ; 47, 3 : 167-172.
3791 plakatas Sadou Yaye H, Burtet E, Hamel C, Aljhni R, Gard C, Tilleul P.
Étude de la compatibilité physico-chimique du phloroglucinol injectable durant les mélanges au sein des tubulures en Y.
Apifh Congress, Paris November 2014 2014
3824 Žurnalas Boudi S, Roy H, Forest JM, Leclair G.
Compatibilité physique de l'association amoxicilline-acide clavulanique en injection avec plusieurs autres médicaments lors d'une administration en Y.
Pharmactuel 2023 2023;56,3:91-98
3838 Laboratorija Magnesium Sulphate - Summary of Product Characteristics
Martindale Pharmaceuticals Ltd 2007
3964 Žurnalas Audet M.A, Forest E, Friciu M, Forest J.M, Leclair G.
Compatibilité du citrate de caféine injectable avec plusieurs autres médicaments.
Pharmactuel 2017 ; 50,1 : 27-33.
3967 Žurnalas Staven V, Herra I, Wang S, Grönlie I,Tho I.
Physical compatibility of total parenteral nutrition and drugs in Y-site administration to children from neonates to adolescents.
J Pharm Pharmacol 2017 ;69,7:448-462
4319 Žurnalas Lessard J-J, Caron E, Schérer H, Forest J-M, Leclair G.
Compatibility of Y-site Injection of Meropenem Trihydrate With 101 Other Injectable Drugs.
Hosp Pharm 2020 ; 55, 5: 332-337.
4440 Žurnalas Omotani S, Aoe M, Esaki S, Nagai K, Hatsuda Y, Mukai J, Teramachi H, Myotoku M.
Compatibility of Intravenous Fat Emulsion with Antibiotics for Secondary Piggyback Infusion.
Ann Nutr Metab 2018 ; 73: 227-233.
4528 Žurnalas Lu J, Liu Q, Kupiec T, Vail H, Lunch L, Fam D, Vu N.
Physical Compatibility of Cefiderocol with Selected Intravenous Drugs During Simulated Y-site Administration.
Int J Pharm Compound 2021 ;25,1:52-61
4619 Kokybės kontrolės laboratorija Simms D, Roberts J, Rigge D.
Stability Study for Clindamycin 9.52mg/mL in 5.0% w/v Glucose 50mL Infusion Bags.
Quality Control North West, Stockport NHS Foundati 2021
4622 Kokybės kontrolės laboratorija Simms D, Roberts J, Rigge D.
Stability Study for Clindamycin 9.52mg/mL in 0.9% w/v Sodium Chloride 50mL Infusion Bags.
Quality Control North West, Stockport NHS Foundati 2021
4642 plakatas Larossa garcia M, Jimenez-Lozano I, Boix-Montanés A, Mallandrich Miret M, Clemente Bautista M, cabanas Poy M.J., Gorgas Torner
Compatibilidad en Y de atosiban y farmacois habitualmente utilizados en obstetricia.
SEFH Congress (Virtual) October 2021 2021
4742 Žurnalas Macoviciuc M, Nguyen C, Forest J-M, Leclair G.
Compatibilité physique de l’acétaminophène injectable avec 102 autres médicaments lors d’une administration en Y.
Pharmactuel 2022 ; 55, 4: 247-255.
4964 Laboratorija GLUCONATE DE CALCIUM 10 % B.BRAUN, solution pour perfusion - Résumé des caractéristiques du produit.
B BRAUN MELSUNGEN AG 2019
5012 Laboratorija CHLORURE DE MAGNESIUM 10 POUR CENT (1 g/10 ml) LAVOISIER, solution injectable (I.V.) en ampoule - Résumé des caractéristiques du produit.
LABORATOIRES CHAIX ET DU MARAIS 2018

  Mentions Légales