Cập nhật lần cuối :
27/01/2026
thuốc trị ung thư   Paclitaxel  
Dạng tiêm
Tính ổn định của các dung dịch Độ ổn định khi trộn lẫn Những yếu tố ảnh hưởng đến độ ổn định Khả năng tương thích Đường dùng Tài liệu tham khảo Pdf
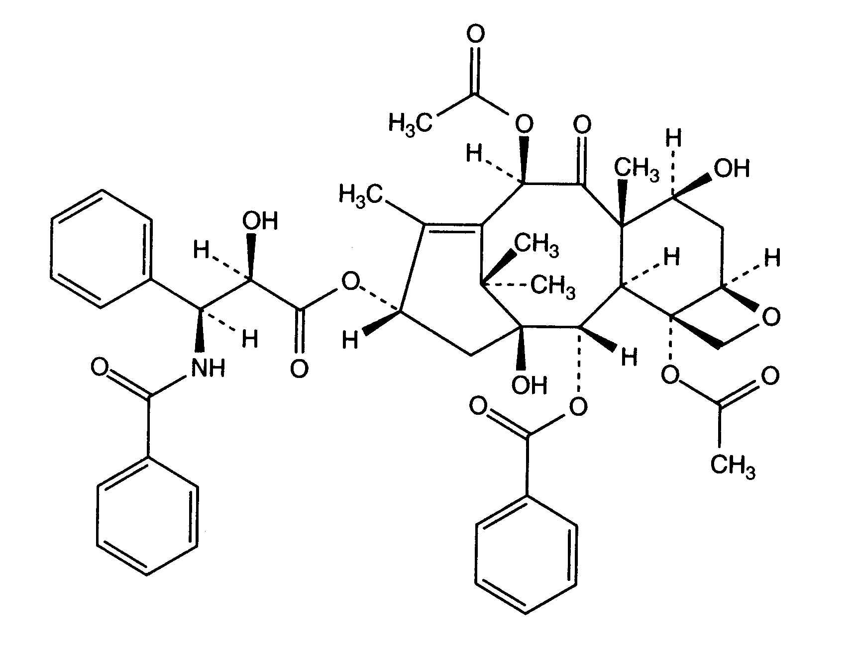
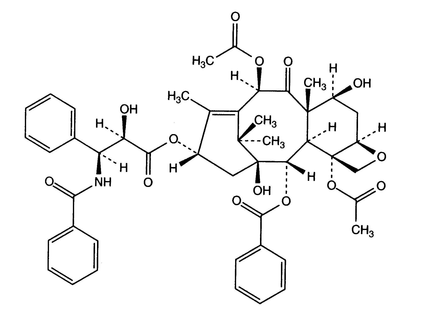
   Cấu trúc hóa học  

Tên thương mại   Tên thương mại     

Các tên thương mại được cung cấp và thành phần tá dược có thể khác nhau giữa các quốc gia và các hãng dược

Aclipak Malaysia
Acoexcel Mexico
Acupaxil Morocco
Anzatax Ả Rập, Ả Rập Saudi, Iran, Malaysia, Morocco, new zealand, Peru, Thổ Nhĩ Kỳ, Tunisia, United Arab Emirates
Aritaxel Đức
Cantaxel Ấn Độ
Clitaxel Argentina, Venezuela
Dalys Argentina
Ebetaxel Ả Rập Saudi, Áo, Iran, Morocco, Thổ Nhĩ Kỳ, Tunisia
Genexol Ả Rập, Ấn Độ, Iran
Onxol Hoa Kỳ
Paclinova Argentina
Paclitaxin Brazil, Luxembourg, Malaysia, Slovenia
Parexel Brazil, Colombia, Ecuador, Venezuela
Paxene Ba Lan, Hà Lan, Hy Lạp, Ireland, Tây Ban Nha, Đan Mạch
Poltaxel Ba Lan
Ribotax Đức
Taxol Ả Rập, Áo, Ba Lan, Bồ Đào Nha, Brazil, Colombia, Hà Lan, Hy Lạp, Iran, Malaysia, Morocco, new zealand, Nhật, Peru, Slovenia, Thổ Nhĩ Kỳ, Thụy Sỹ, Thụy Điển, United Arab Emirates, Venezuela, Ý, Đan Mạch
Taxomedac Đức
Vitax Brazil, Peru, Thổ Nhĩ Kỳ
Khả năng tương thích   Dạng tiêm   Khả năng tương thích : Paclitaxel              
Màn hình này cho biết khả năng tương thích hoặc không tương thích, trong trường hợp này là loại không tương thích (kết tủa, thay đổi màu sắc, sửa đổi nhũ tương, v.v.). Sự tương hợp được chỉ ra ở đây chủ yếu chỉ là vật lý, với độ ổn định hóa học của mỗi phân tử hiếm khi được đánh giá. Việc đánh giá các hỗn hợp này được nghiên cứu để xem xét khả năng sử dụng vị trí Y cho bệnh nhân. Những dữ liệu này không thể được sử dụng để tạo hỗn hợp trước trong túi hoặc ống tiêm. Loại thông tin này có sẵn trong màn hình "Độ ổn định trong hỗn hợp».
Phân tử Dung môi Mục lục
Tương thích
Dạng tiêm Paclitaxel 1.2 mg/ml
Dạng tiêm Aciclovir sodium 7 mg/ml
Glucose 5% 248
Tương thích
Dạng tiêm Paclitaxel 1.2 mg/ml
Dạng tiêm Amikacin sulfate 5 mg/ml
Glucose 5% 248
Tương thích
Dạng tiêm Paclitaxel 1.2 mg/ml
Dạng tiêm Aminophylline 2.5 mg/ml
Glucose 5% 248
Độ đục ngay lập tức Không tương thích
Dạng tiêm Paclitaxel 1.2 mg/ml
Dạng tiêm Amphotericin B 0.6 mg/ml
Glucose 5% 248
Mất độ đục Không tương thích
Dạng tiêm Paclitaxel 0.6 mg/ml
Dạng tiêm Amphotericin B cholesteryl sulfate complex 0.83 mg/ml
Glucose 5% 921
Tương thích
Dạng tiêm Paclitaxel 1.2 mg/ml
Dạng tiêm Ampicillin sodium - sulbactam sodium 20/10 mg/ml
Glucose 5% 248
Tương thích
Dạng tiêm Paclitaxel 0.6 mg/ml
Dạng tiêm Anidulafungin 0.5 mg/ml
Glucose 5% 1982
Tương thích
Dạng tiêm Paclitaxel 1.2 mg/ml
Dạng tiêm Bleomycin sulfate 1 mg/ml
Glucose 5% 248
Tương thích
Dạng tiêm Paclitaxel 1.2 mg/ml
Dạng tiêm Butorphanol tartrate 0.04 mg/ml
Glucose 5% 248
Tương thích
Dạng tiêm Paclitaxel 1.2 mg/ml
Dạng tiêm Calcium chloride 20 mg/ml
Glucose 5% 248
Tương thích
Dạng tiêm Paclitaxel 1.2 mg/ml
Dạng tiêm Carboplatin 5 mg/ml
Glucose 5% 85
Tương thích
Dạng tiêm Paclitaxel 0,3 & 1,2 mg/ml
Dạng tiêm Carboplatin 2 mg/ml
NaCl 0,9% 872
Tương thích
Dạng tiêm Paclitaxel 0,3 & 1,2 mg/ml
Dạng tiêm Carboplatin 2 mg/ml
Glucose 5% 872
Tương thích
Dạng tiêm Paclitaxel 1.2 mg/ml
Dạng tiêm Ceforanide 20 mg/ml
Glucose 5% 248
Tương thích
Dạng tiêm Paclitaxel 1.2 mg/ml
Dạng tiêm Ceftazidime 40 mg/ml
Glucose 5% 248
Tương thích
Dạng tiêm Paclitaxel 1.2 mg/ml
Dạng tiêm Ceftriaxone disodium 20 mg/ml
Glucose 5% 248
Mất độ đục Không tương thích
Dạng tiêm Paclitaxel 1.2 mg/ml
Dạng tiêm Chlorpromazine hydrochloride 2 mg/ml
Glucose 5% 248
Tương thích
Dạng tiêm Paclitaxel
Glucose 5% 1956
Tương thích
Dạng tiêm Paclitaxel 0,3 & 1,2 mg/ml
Dạng tiêm Cisplatin 0,2 mg/ml
NaCl 0,9% 872
Tương thích
Dạng tiêm Paclitaxel 1.2 mg/ml
Dinh dưỡng đường tĩnh mạch (có lipids) 1415
Tương thích
Dạng tiêm Paclitaxel 1.2 mg/ml
Dinh dưỡng đường tĩnh mạch (hỗn hợp 2 thành phần) 301
Tương thích
Dạng tiêm Paclitaxel 1.2 mg/ml
Dạng tiêm Cimetidine hydrochloride 12 mg/ml
Glucose 5% 85
Tương thích
Dạng tiêm Paclitaxel 1.2 mg/ml
Dạng tiêm Cisplatin 1 mg/ml
Glucose 5% 85
Không ổn định hóa học Không tương thích
Dạng tiêm Paclitaxel
Dạng tiêm Cisplatin
3578
Tương thích
Dạng tiêm Paclitaxel 0.6 mg/ml
Dạng tiêm Cladribine 0.5 mg/ml
NaCl 0,9% + chất kháng khuẩn 1496
Tương thích
Dạng tiêm Paclitaxel 0.6 mg/ml
Dạng tiêm Cladribine 0.015 mg/ml
NaCl 0,9% 1496
Tương thích
Dạng tiêm Paclitaxel 1.2 mg/ml
Dạng tiêm Cyclophosphamide 10 mg/ml
Glucose 5% 85
Tương thích
Dạng tiêm Paclitaxel 1.2 mg/ml
Dạng tiêm Cytarabine 50 mg/ml
Glucose 5% 85
Tương thích
Dạng tiêm Paclitaxel 1.2 mg/ml
Dạng tiêm Dacarbazine 4 mg/ml
Glucose 5% 248
Tương thích
Dạng tiêm Paclitaxel 1.2 mg/ml
Dạng tiêm Dexamethasone sodium phosphate 1 mg/ml
Glucose 5% 85
Tương thích
Dạng tiêm Paclitaxel 1.2 mg/ml
Dạng tiêm Diphenhydramine hydrochloride 2 mg/ml
Glucose 5% 85
Tương thích
Dạng tiêm Paclitaxel 0,6 mg/ml
Dạng tiêm Doripenem 5 mg/ml
NaCl 0,9% 2262
Tương thích
Dạng tiêm Paclitaxel 0,6 mg/ml
Dạng tiêm Doripenem 5 mg/ml
Glucose 5% 2262
Tương thích
Dạng tiêm Paclitaxel 0,3 & 1,2 mg/ml
Dạng tiêm Doxorubicin hydrochloride 0,2 mg/ml
Glucose 5% 1286
Tương thích
Dạng tiêm Paclitaxel 1.2 mg/ml
Dạng tiêm Doxorubicin hydrochloride 2 mg/ml
Glucose 5% 85
Tương thích
Dạng tiêm Paclitaxel 0,3 & 1,2 mg/ml
Dạng tiêm Doxorubicin hydrochloride 0,2 mg/ml
NaCl 0,9% 1286
Mất độ đục Không tương thích
Dạng tiêm Paclitaxel 0.6 mg/ml
Dạng tiêm Doxorubicin hydrochloride liposome peg 0.4 mg/ml
Glucose 5% 251
Tương thích
Dạng tiêm Paclitaxel
NaCl 0,9% 1956
Tương thích
Dạng tiêm Paclitaxel 1.2 mg/ml
Dạng tiêm Droperidol 0.4 mg/ml
Glucose 5% 248
Tương thích
Dạng tiêm Paclitaxel 1.2 mg/ml
Dạng tiêm Etoposide 0.4 mg/ml
Glucose 5% 85
Tương thích
Dạng tiêm Paclitaxel 1.2 mg/ml
Dạng tiêm Etoposide phosphate 5 mg/ml
Glucose 5% 1410
Tương thích
Dạng tiêm Paclitaxel 1.2 mg/ml
Dạng tiêm Famotidine 2 mg/ml
Glucose 5% 248
Tương thích
Dạng tiêm Paclitaxel 1.2 mg/ml
Dạng tiêm Floxuridine 3 mg/ml
Glucose 5% 248
Tương thích
Dạng tiêm Paclitaxel 0,3 & 1,2 mg/ml
Dạng tiêm Fluconazole 2 mg/ml
Glucose 5% 151
Tương thích
Dạng tiêm Paclitaxel 1.2 mg/ml
Dạng tiêm Fluconazole 2 mg/ml
Glucose 5% 248
Tương thích
Dạng tiêm Paclitaxel 1.2 mg/ml
Dạng tiêm Fluorouracil 16 mg/ml
Glucose 5% 85
Tương thích
Dạng tiêm Paclitaxel 1.2 mg/ml
Dạng tiêm Furosemide 3 mg/ml
Glucose 5% 248
Tương thích
Dạng tiêm Paclitaxel 1.2 mg/ml
Dạng tiêm Ganciclovir sodium 20 mg/ml
Glucose 5% 248
Tương thích
Dạng tiêm Paclitaxel 1.2 mg/ml
Dạng tiêm Gemcitabine hydrochloride 10 mg/ml
NaCl 0,9% 1423
Tương thích
Dạng tiêm Paclitaxel 1.2 mg/ml
Dạng tiêm Gentamicin sulfate 5 mg/ml
Glucose 5% 248
Tương thích
Dạng tiêm Paclitaxel 1.2 mg/ml
Dạng tiêm Granisetron hydrochloride 0.05 mg/ml
Glucose 5% 182
Tương thích
Dạng tiêm Paclitaxel 0.29 mg/ml
Dạng tiêm Granisetron hydrochloride 1 mg/ml
NaCl 0,9% 57
Tương thích
Dạng tiêm Paclitaxel 1.2 mg/ml
Dạng tiêm Haloperidol lactate 0.2 mg/ml
Glucose 5% 85
Tương thích
Dạng tiêm Paclitaxel 1.2 mg/ml
Dạng tiêm Heparin sodium 100 UI/ml
Glucose 5% 248
Tương thích
Dạng tiêm Paclitaxel 1.2 mg/ml
Dạng tiêm Hydrocortisone sodium succinate 1 mg/ml
Glucose 5% 248
Tương thích
Dạng tiêm Paclitaxel 1.2 mg/ml
Dạng tiêm Hydromorphone hydrochloride 0.5 mg/ml
Glucose 5% 248
Mất độ đục Không tương thích
Dạng tiêm Paclitaxel 1.2 mg/ml
Dạng tiêm Hydroxyzine dihydrochloride 4 mg/ml
Glucose 5% 248
Tương thích
Dạng tiêm Paclitaxel 1.2 mg/ml
Dạng tiêm Ifosfamide 25 mg/ml
Glucose 5% 248
Tương thích
Dạng tiêm Paclitaxel 0.6 mg/ml
Dạng tiêm Lansoprazole 0.55 mg/ml
NaCl 0,9% 1625
Tương thích
Dạng tiêm Paclitaxel 0.6 mg/ml
Dạng tiêm Linezolid 2 mg/ml
Không 1925
Tương thích
Dạng tiêm Paclitaxel 1.2 mg/ml
Dạng tiêm Lorazepam 0.1 mg/ml
Glucose 5% 85
Tương thích
Dạng tiêm Paclitaxel 1.2 mg/ml
Dạng tiêm Magnesium sulfate 100 mg/ml
Glucose 5% 248
Tương thích
Dạng tiêm Paclitaxel 1.2 mg/ml
Dạng tiêm Mannitol 150 mg/ml
Glucose 5% 248
Tương thích
Dạng tiêm Paclitaxel 1.2 mg/ml
Dạng tiêm Mesna 10 mg/ml
Glucose 5% 248
Tương thích
Dạng tiêm Paclitaxel 1.2 mg/ml
Dạng tiêm Methotrexate sodium 15 mg/ml
Glucose 5% 85
Mất độ đục Không tương thích
Dạng tiêm Paclitaxel 1.2 mg/ml
Dạng tiêm Methylprednisolone sodium succinate 5 mg/ml
Glucose 5% 248
Tương thích
Dạng tiêm Paclitaxel 1.2 mg/ml
Dạng tiêm Metoclopramide hydrochloride 5 mg/ml
Glucose 5% 85
Mất độ đục Không tương thích
Dạng tiêm Paclitaxel 1.2 mg/ml
Dạng tiêm Mitoxantrone dihydrochloride 0.5 mg/ml
Glucose 5% 248
Tương thích
Dạng tiêm Paclitaxel 1.2 mg/ml
Dạng tiêm Morphine sulfate 1 mg/ml
Glucose 5% 248
Tương thích
Dạng tiêm Paclitaxel 1.2 mg/ml
Dạng tiêm Nalbuphine hydrochloride 10 mg/ml
Glucose 5% 248
Tương thích
Dạng tiêm Paclitaxel 0.3 & 1.2 mg/ml
Dạng tiêm Ondansetron hydrochloride 0.03 & 0.3 mg/ml
Glucose 5% 47
Tương thích
Dạng tiêm Paclitaxel 1.2 mg/ml
Dạng tiêm Ondansetron hydrochloride 0.5 mg/ml
Glucose 5% 248
Tương thích
Dạng tiêm Paclitaxel 0,6 mg/ml
Dạng tiêm Oxaliplatin 0,5 mg/ml
Glucose 5% 1662
Tương thích
Dạng tiêm Paclitaxel 1,2 mg/ml
Dạng tiêm Palonosetron hydrochloride 50 µg/ml
Glucose 5% 1940
Tương thích
Dạng tiêm Paclitaxel 0.6 mg/ml
Dạng tiêm Pemetrexed disodium 20 mg/ml
NaCl 0,9% 1953
Tương thích
Dạng tiêm Paclitaxel 1.2 mg/ml
Dạng tiêm Pentostatin 0.4 mg/ml
Glucose 5% 248
Tương thích
Dạng tiêm Paclitaxel 1.2 mg/ml
Dạng tiêm Pethidine hydrochloride 4 mg/ml
Glucose 5% 248
Tương thích
Dạng tiêm Paclitaxel 1.2 mg/ml
Dạng tiêm Potassium chloride 100 mEq/l
Glucose 5% 248
Tương thích
Dạng tiêm Paclitaxel 1.2 mg/ml
Dạng tiêm Prochlorperazine edysilate 0.5 mg/ml
Glucose 5% 85
Tương thích
Dạng tiêm Paclitaxel 1.2 mg/ml
Dạng tiêm Propofol 10 mg/ml
Không 300
Tương thích
Dạng tiêm Paclitaxel 0.3 & 1.2 mg/ml
Dạng tiêm Ranitidine hydrochloride 0.5 & 2 mg/ml
Glucose 5% 47
Tương thích
Dạng tiêm Paclitaxel 1.2 mg/ml
Dạng tiêm Ranitidine hydrochloride 2 mg/ml
Glucose 5% 85
Tương thích
Dạng tiêm Paclitaxel 1.2 mg/ml
Dạng tiêm Sodium bicarbonate 84 mg/ml
Glucose 5% 248
Tương thích
Dạng tiêm Paclitaxel 0.6 mg/ml
Dạng tiêm Thiotepa 1 mg/ml
Glucose 5% 249
Tương thích
Dạng tiêm Paclitaxel 0.54 mg/ml
Dạng tiêm Topotecan 0.056 mg/ml
NaCl 0,9% 1026
Tương thích
Dạng tiêm Paclitaxel 0.54 mg/ml
Dạng tiêm Topotecan 0.056 mg/ml
Glucose 5% 1026
Tương thích
Dạng tiêm Paclitaxel 1.2 mg/ml
Dạng tiêm Vancomycin hydrochloride 10 mg/ml
Glucose 5% 85
Tương thích
Dạng tiêm Paclitaxel 1.2 mg/ml
Dạng tiêm Vinblastine sulfate 0.12 mg/ml
Glucose 5% 248
Tương thích
Dạng tiêm Paclitaxel 1.2 mg/ml
Dạng tiêm Vincristine sulfate 0.05 mg/ml
Glucose 5% 248
Tương thích
Dạng tiêm Paclitaxel 1.2 mg/ml
Dạng tiêm Zidovudine 4 mg/ml
Glucose 5% 248

  Mentions Légales