آخر تحديث :
27/04/2026
المضادة للسرطان المخدرات   Paclitaxel  
حقن
الاستقرار في حلول استقرار مخاليط العوامل التي تؤثر على الاستقرار التوافق طريقة التعاطي مراجع pdf
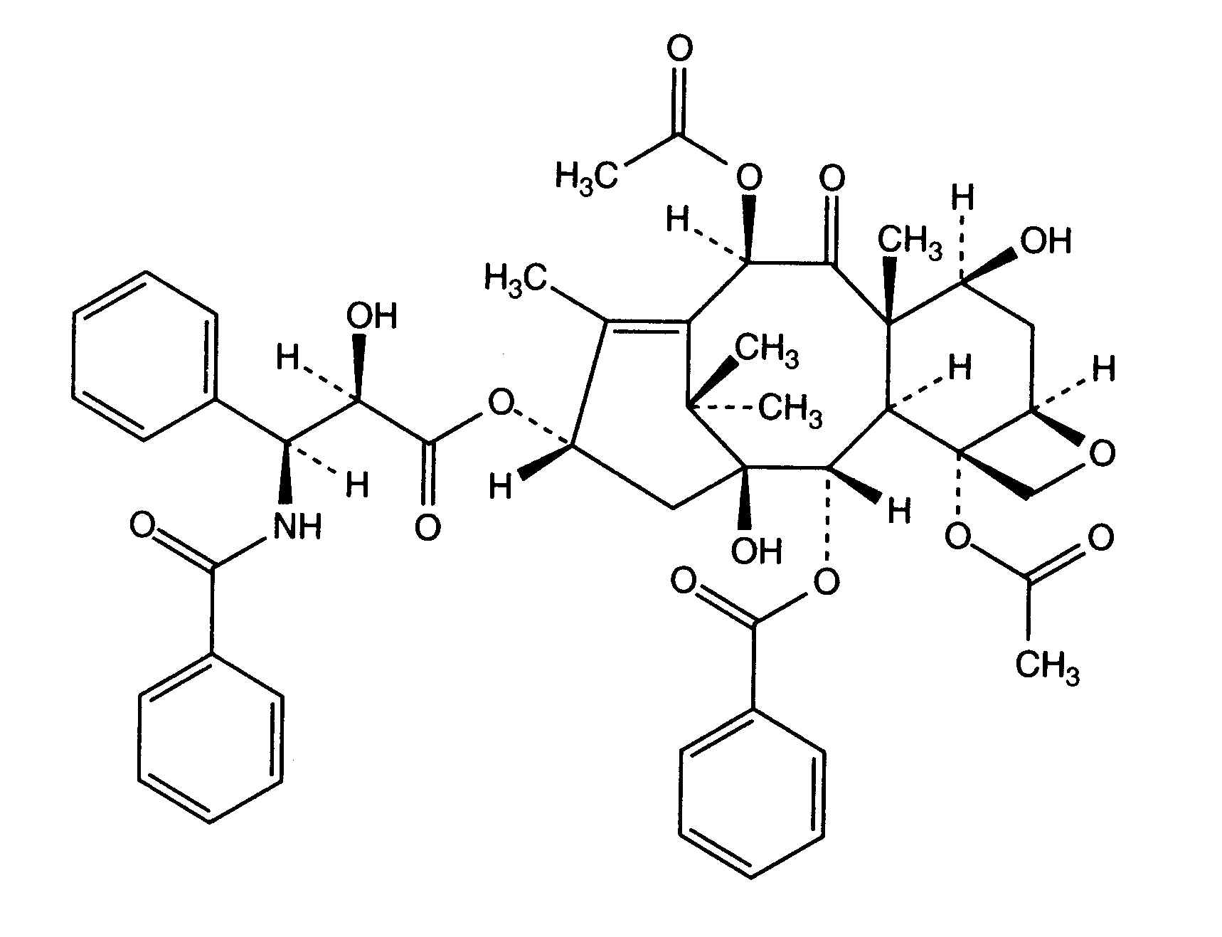
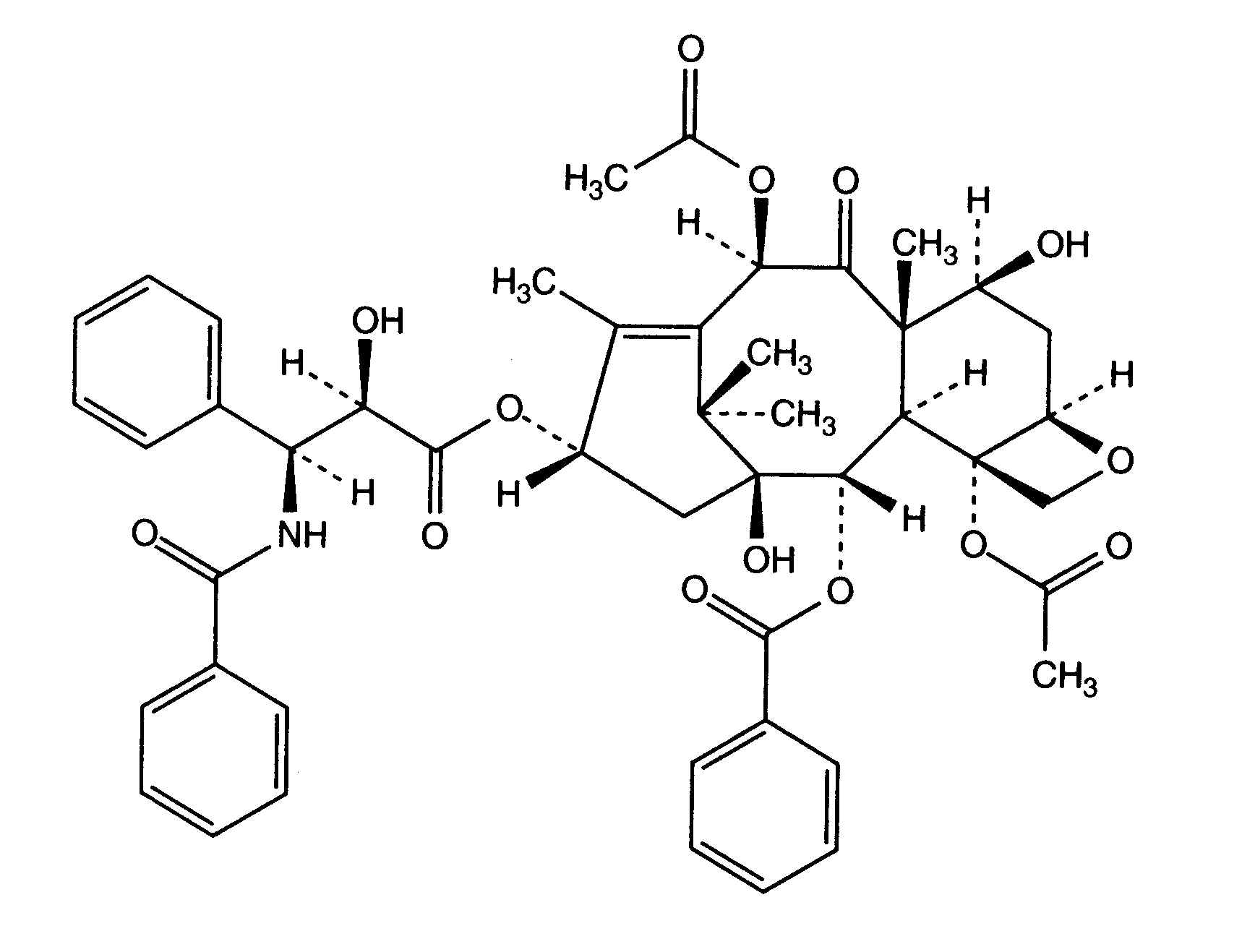
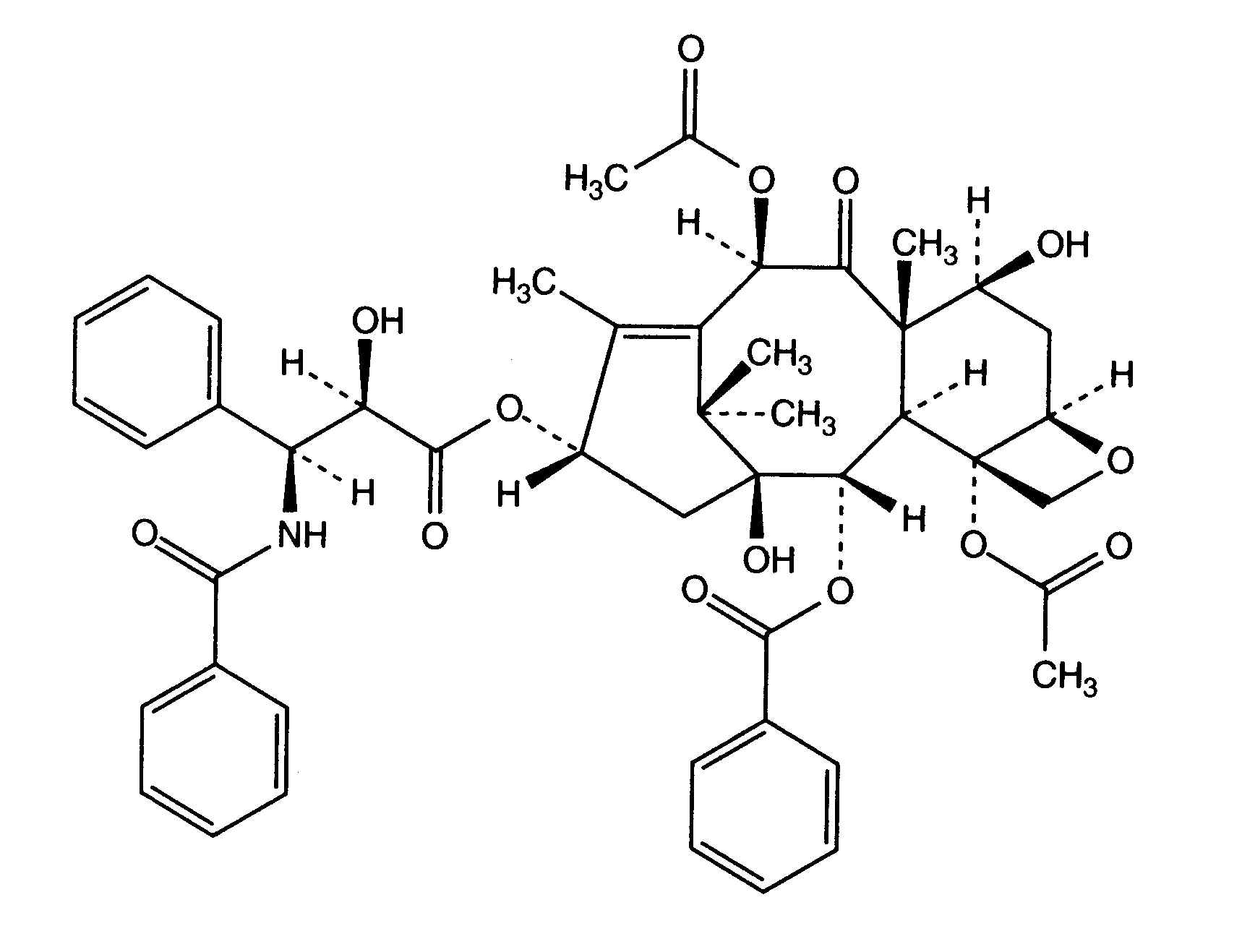
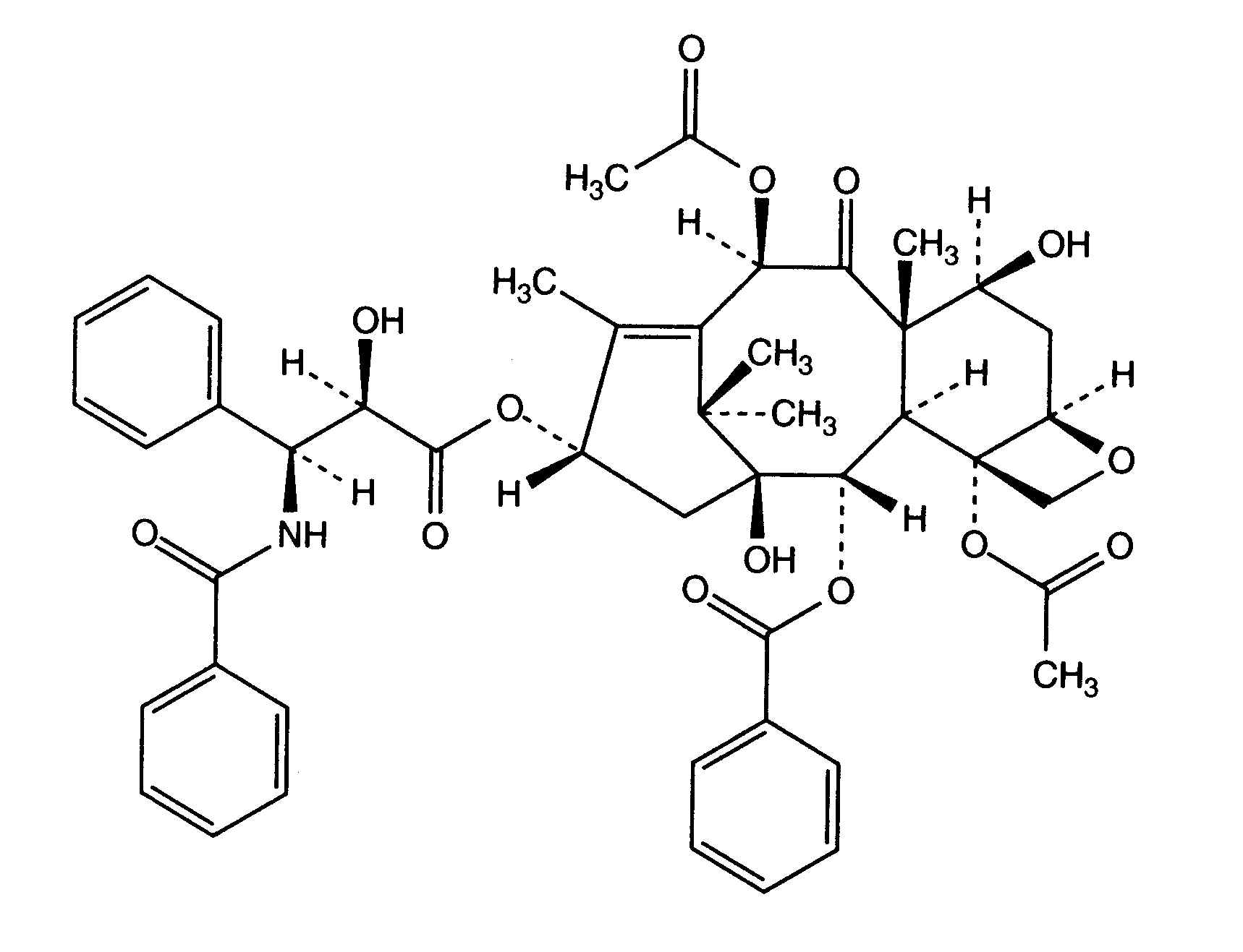
   التركيب الكيميائي  

حجز الاسم التجاري   حجز الاسم التجاري     

تحذير الأسماء التجاريه المختلفه قد تحتوي علي محتوي إضافات مختلفة حسب الدوله و المعمل

Aclipak ماليزيا
Acoexcel المكسيك
Acupaxil المغرب
Anzatax إيران, الإمارات العربية المتحدة, العربية السعودية, المغرب, بيرو, تركيا, تونس, زيلاندا الجديدة, ماليزيا, مصر
Aritaxel ألمانيا
Cantaxel الهند
Clitaxel الأرجنتين, فنزويلا
Dalys الأرجنتين
Ebetaxel إيران, العربية السعودية, المغرب, النمسا, تركيا, تونس
Genexol إيران, الهند, مصر
Onxol الولايات المتحدة
Paclinova الأرجنتين
Paclitaxin البرازيل, سلوفينيا, لوكسمبورغ, ماليزيا
Parexel الإكوادور, البرازيل, فنزويلا, كولومبيا
Paxene إسبانيا, الدنمارك, ايرلندا, بولندا, هولندا, يونان
Poltaxel بولندا
Ribotax ألمانيا
Taxol إيران, إيطاليا, الإمارات العربية المتحدة, البرازيل, البرتغال, الدنمارك, السويد, المغرب, النمسا, اليابان, بولندا, بيرو, تركيا, زيلاندا الجديدة, سلوفينيا, سويسرا, فنزويلا, كولومبيا, ماليزيا, مصر, هولندا, يونان
Taxomedac ألمانيا
Vitax البرازيل, بيرو, تركيا
التوافق   حقن   التوافق : Paclitaxel              
This screen indicates the compatibilities or incompatibilities with, in this case, the type of incompatibility (precipitation, color change, modification of an emulsion, etc.). The compatibilities shown here are mostly physical only, with the chemical stability of each molecule rarely being assessed. The evaluation of these mixtures was studied to consider the possibility of Y-site administration to the patient. These data cannot be used for making mixtures in advance in bags or syringes. This type of information is available in the screen "Stability in mixture ».
مركب مذيب مراجع
kompatibel
حقن Paclitaxel 1.2 mg/ml
حقن Aciclovir sodium 7 mg/ml
الجلوكوز %5 248
kompatibel
حقن Paclitaxel 1.2 mg/ml
حقن Amikacin sulfate 5 mg/ml
الجلوكوز %5 248
kompatibel
حقن Paclitaxel 1.2 mg/ml
حقن Aminophylline 2.5 mg/ml
الجلوكوز %5 248
التعكر الفوري غير متوافق
حقن Paclitaxel 1.2 mg/ml
حقن Amphotericin B 0.6 mg/ml
الجلوكوز %5 248
فقدان العكارة غير متوافق
حقن Paclitaxel 0.6 mg/ml
حقن Amphotericin B cholesteryl sulfate complex 0.83 mg/ml
الجلوكوز %5 921
kompatibel
حقن Paclitaxel 1.2 mg/ml
حقن Ampicillin sodium - sulbactam sodium 20/10 mg/ml
الجلوكوز %5 248
kompatibel
حقن Paclitaxel 0.6 mg/ml
حقن Anidulafungin 0.5 mg/ml
الجلوكوز %5 1982
kompatibel
حقن Paclitaxel 1.2 mg/ml
حقن Bleomycin sulfate 1 mg/ml
الجلوكوز %5 248
kompatibel
حقن Paclitaxel 1.2 mg/ml
حقن Butorphanol tartrate 0.04 mg/ml
الجلوكوز %5 248
kompatibel
حقن Paclitaxel 1.2 mg/ml
حقن Calcium chloride 20 mg/ml
الجلوكوز %5 248
kompatibel
حقن Paclitaxel 1.2 mg/ml
حقن Carboplatin 5 mg/ml
الجلوكوز %5 85
kompatibel
حقن Paclitaxel 0,3 & 1,2 mg/ml
حقن Carboplatin 2 mg/ml
كلوريد الصوديوم 0.9% 872
kompatibel
حقن Paclitaxel 0,3 & 1,2 mg/ml
حقن Carboplatin 2 mg/ml
الجلوكوز %5 872
kompatibel
حقن Paclitaxel 1.2 mg/ml
حقن Ceforanide 20 mg/ml
الجلوكوز %5 248
kompatibel
حقن Paclitaxel 1.2 mg/ml
حقن Ceftazidime 40 mg/ml
الجلوكوز %5 248
kompatibel
حقن Paclitaxel 1.2 mg/ml
حقن Ceftriaxone disodium 20 mg/ml
الجلوكوز %5 248
فقدان العكارة غير متوافق
حقن Paclitaxel 1.2 mg/ml
حقن Chlorpromazine hydrochloride 2 mg/ml
الجلوكوز %5 248
kompatibel
حقن Paclitaxel
الجلوكوز %5 1956
kompatibel
حقن Paclitaxel 0,3 & 1,2 mg/ml
حقن Cisplatin 0,2 mg/ml
كلوريد الصوديوم 0.9% 872
kompatibel
حقن Paclitaxel 1.2 mg/ml
التغذية الوريدية (مع الدهون) 1415
kompatibel
حقن Paclitaxel 1.2 mg/ml
 التغذية الوريدية (خالية من الدهن) 301
kompatibel
حقن Paclitaxel 1.2 mg/ml
حقن Cimetidine hydrochloride 12 mg/ml
الجلوكوز %5 85
kompatibel
حقن Paclitaxel 1.2 mg/ml
حقن Cisplatin 1 mg/ml
الجلوكوز %5 85
عدم الاستقرار الكيميائي غير متوافق
حقن Paclitaxel
حقن Cisplatin
3578
kompatibel
حقن Paclitaxel 0.6 mg/ml
حقن Cladribine 0.5 mg/ml
كلوريد الصوديوم 0.9% + مضاد للجراثيم 1496
kompatibel
حقن Paclitaxel 0.6 mg/ml
حقن Cladribine 0.015 mg/ml
كلوريد الصوديوم 0.9% 1496
kompatibel
حقن Paclitaxel 1.2 mg/ml
حقن Cyclophosphamide 10 mg/ml
الجلوكوز %5 85
kompatibel
حقن Paclitaxel 1.2 mg/ml
حقن Cytarabine 50 mg/ml
الجلوكوز %5 85
kompatibel
حقن Paclitaxel 1.2 mg/ml
حقن Dacarbazine 4 mg/ml
الجلوكوز %5 248
kompatibel
حقن Paclitaxel 1.2 mg/ml
حقن Dexamethasone sodium phosphate 1 mg/ml
الجلوكوز %5 85
kompatibel
حقن Paclitaxel 1.2 mg/ml
حقن Diphenhydramine hydrochloride 2 mg/ml
الجلوكوز %5 85
kompatibel
حقن Paclitaxel 0,6 mg/ml
حقن Doripenem 5 mg/ml
كلوريد الصوديوم 0.9% 2262
kompatibel
حقن Paclitaxel 0,6 mg/ml
حقن Doripenem 5 mg/ml
الجلوكوز %5 2262
kompatibel
حقن Paclitaxel 0,3 & 1,2 mg/ml
حقن Doxorubicin hydrochloride 0,2 mg/ml
الجلوكوز %5 1286
kompatibel
حقن Paclitaxel 1.2 mg/ml
حقن Doxorubicin hydrochloride 2 mg/ml
الجلوكوز %5 85
kompatibel
حقن Paclitaxel 0,3 & 1,2 mg/ml
حقن Doxorubicin hydrochloride 0,2 mg/ml
كلوريد الصوديوم 0.9% 1286
فقدان العكارة غير متوافق
حقن Paclitaxel 0.6 mg/ml
حقن Doxorubicin hydrochloride liposome peg 0.4 mg/ml
الجلوكوز %5 251
kompatibel
حقن Paclitaxel
كلوريد الصوديوم 0.9% 1956
kompatibel
حقن Paclitaxel 1.2 mg/ml
حقن Droperidol 0.4 mg/ml
الجلوكوز %5 248
kompatibel
حقن Paclitaxel 1.2 mg/ml
حقن Etoposide 0.4 mg/ml
الجلوكوز %5 85
kompatibel
حقن Paclitaxel 1.2 mg/ml
حقن Etoposide phosphate 5 mg/ml
الجلوكوز %5 1410
kompatibel
حقن Paclitaxel 1.2 mg/ml
حقن Famotidine 2 mg/ml
الجلوكوز %5 248
kompatibel
حقن Paclitaxel 1.2 mg/ml
حقن Floxuridine 3 mg/ml
الجلوكوز %5 248
kompatibel
حقن Paclitaxel 0,3 & 1,2 mg/ml
حقن Fluconazole 2 mg/ml
الجلوكوز %5 151
kompatibel
حقن Paclitaxel 1.2 mg/ml
حقن Fluconazole 2 mg/ml
الجلوكوز %5 248
kompatibel
حقن Paclitaxel 1.2 mg/ml
حقن Fluorouracil 16 mg/ml
الجلوكوز %5 85
kompatibel
حقن Paclitaxel 1.2 mg/ml
حقن Furosemide 3 mg/ml
الجلوكوز %5 248
kompatibel
حقن Paclitaxel 1.2 mg/ml
حقن Ganciclovir sodium 20 mg/ml
الجلوكوز %5 248
kompatibel
حقن Paclitaxel 1.2 mg/ml
حقن Gemcitabine hydrochloride 10 mg/ml
كلوريد الصوديوم 0.9% 1423
kompatibel
حقن Paclitaxel 1.2 mg/ml
حقن Gentamicin sulfate 5 mg/ml
الجلوكوز %5 248
kompatibel
حقن Paclitaxel 1.2 mg/ml
حقن Granisetron hydrochloride 0.05 mg/ml
الجلوكوز %5 182
kompatibel
حقن Paclitaxel 0.29 mg/ml
حقن Granisetron hydrochloride 1 mg/ml
كلوريد الصوديوم 0.9% 57
kompatibel
حقن Paclitaxel 1.2 mg/ml
حقن Haloperidol lactate 0.2 mg/ml
الجلوكوز %5 85
kompatibel
حقن Paclitaxel 1.2 mg/ml
حقن Heparin sodium 100 UI/ml
الجلوكوز %5 248
kompatibel
حقن Paclitaxel 1.2 mg/ml
حقن Hydrocortisone sodium succinate 1 mg/ml
الجلوكوز %5 248
kompatibel
حقن Paclitaxel 1.2 mg/ml
حقن Hydromorphone hydrochloride 0.5 mg/ml
الجلوكوز %5 248
فقدان العكارة غير متوافق
حقن Paclitaxel 1.2 mg/ml
حقن Hydroxyzine dihydrochloride 4 mg/ml
الجلوكوز %5 248
kompatibel
حقن Paclitaxel 1.2 mg/ml
حقن Ifosfamide 25 mg/ml
الجلوكوز %5 248
kompatibel
حقن Paclitaxel 0.6 mg/ml
حقن Lansoprazole 0.55 mg/ml
كلوريد الصوديوم 0.9% 1625
kompatibel
حقن Paclitaxel 0.6 mg/ml
حقن Linezolid 2 mg/ml
لا شيء 1925
kompatibel
حقن Paclitaxel 1.2 mg/ml
حقن Lorazepam 0.1 mg/ml
الجلوكوز %5 85
kompatibel
حقن Paclitaxel 1.2 mg/ml
حقن Magnesium sulfate 100 mg/ml
الجلوكوز %5 248
kompatibel
حقن Paclitaxel 1.2 mg/ml
حقن Mannitol 150 mg/ml
الجلوكوز %5 248
kompatibel
حقن Paclitaxel 1.2 mg/ml
حقن Mesna 10 mg/ml
الجلوكوز %5 248
kompatibel
حقن Paclitaxel 1.2 mg/ml
حقن Methotrexate sodium 15 mg/ml
الجلوكوز %5 85
فقدان العكارة غير متوافق
حقن Paclitaxel 1.2 mg/ml
حقن Methylprednisolone sodium succinate 5 mg/ml
الجلوكوز %5 248
kompatibel
حقن Paclitaxel 1.2 mg/ml
حقن Metoclopramide hydrochloride 5 mg/ml
الجلوكوز %5 85
فقدان العكارة غير متوافق
حقن Paclitaxel 1.2 mg/ml
حقن Mitoxantrone dihydrochloride 0.5 mg/ml
الجلوكوز %5 248
kompatibel
حقن Paclitaxel 1.2 mg/ml
حقن Morphine sulfate 1 mg/ml
الجلوكوز %5 248
kompatibel
حقن Paclitaxel 1.2 mg/ml
حقن Nalbuphine hydrochloride 10 mg/ml
الجلوكوز %5 248
kompatibel
حقن Paclitaxel 0.3 & 1.2 mg/ml
حقن Ondansetron hydrochloride 0.03 & 0.3 mg/ml
الجلوكوز %5 47
kompatibel
حقن Paclitaxel 1.2 mg/ml
حقن Ondansetron hydrochloride 0.5 mg/ml
الجلوكوز %5 248
kompatibel
حقن Paclitaxel 0,6 mg/ml
حقن Oxaliplatin 0,5 mg/ml
الجلوكوز %5 1662
kompatibel
حقن Paclitaxel 1,2 mg/ml
حقن Palonosetron hydrochloride 50 µg/ml
الجلوكوز %5 1940
kompatibel
حقن Paclitaxel 0.6 mg/ml
حقن Pemetrexed disodium 20 mg/ml
كلوريد الصوديوم 0.9% 1953
kompatibel
حقن Paclitaxel 1.2 mg/ml
حقن Pentostatin 0.4 mg/ml
الجلوكوز %5 248
kompatibel
حقن Paclitaxel 1.2 mg/ml
حقن Pethidine hydrochloride 4 mg/ml
الجلوكوز %5 248
kompatibel
حقن Paclitaxel 1.2 mg/ml
حقن Potassium chloride 100 mEq/l
الجلوكوز %5 248
kompatibel
حقن Paclitaxel 1.2 mg/ml
حقن Prochlorperazine edysilate 0.5 mg/ml
الجلوكوز %5 85
kompatibel
حقن Paclitaxel 1.2 mg/ml
حقن Propofol 10 mg/ml
لا شيء 300
kompatibel
حقن Paclitaxel 0.3 & 1.2 mg/ml
حقن Ranitidine hydrochloride 0.5 & 2 mg/ml
الجلوكوز %5 47
kompatibel
حقن Paclitaxel 1.2 mg/ml
حقن Ranitidine hydrochloride 2 mg/ml
الجلوكوز %5 85
kompatibel
حقن Paclitaxel 1.2 mg/ml
حقن Sodium bicarbonate 84 mg/ml
الجلوكوز %5 248
kompatibel
حقن Paclitaxel 0.6 mg/ml
حقن Thiotepa 1 mg/ml
الجلوكوز %5 249
kompatibel
حقن Paclitaxel 0.54 mg/ml
حقن Topotecan 0.056 mg/ml
كلوريد الصوديوم 0.9% 1026
kompatibel
حقن Paclitaxel 0.54 mg/ml
حقن Topotecan 0.056 mg/ml
الجلوكوز %5 1026
kompatibel
حقن Paclitaxel 1.2 mg/ml
حقن Vancomycin hydrochloride 10 mg/ml
الجلوكوز %5 85
kompatibel
حقن Paclitaxel 1.2 mg/ml
حقن Vinblastine sulfate 0.12 mg/ml
الجلوكوز %5 248
kompatibel
حقن Paclitaxel 1.2 mg/ml
حقن Vincristine sulfate 0.05 mg/ml
الجلوكوز %5 248
kompatibel
حقن Paclitaxel 1.2 mg/ml
حقن Zidovudine 4 mg/ml
الجلوكوز %5 248

  Mentions Légales