Последнее обновление :
27/04/2026
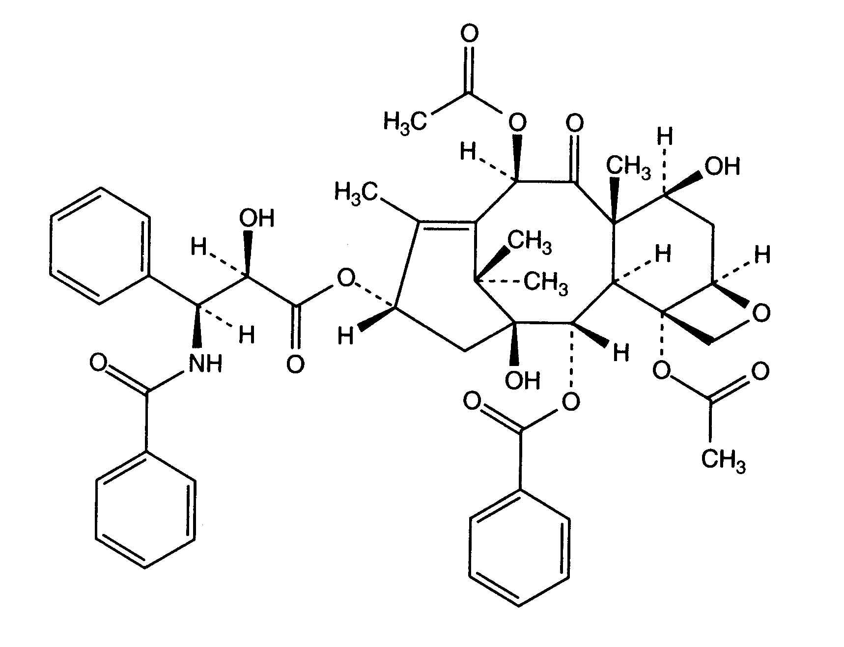
Цитостатическое средство   Paclitaxel  
Инъекция
Стабильность растворов Стабильность смесей Факторы, которые влияют на стабильность Совместимость Способы введения Библиография pdf
   Химическая структура  

Товарное название   Товарное название     

Trade names are indicative and excipients composition can be different depending on the country and manufacturers

Aclipak Малайзия
Acoexcel Мексика
Acupaxil Марокко
Anzatax Египет, Иран, Малайзия, Марокко, новая Зеландия, Объединенные Арабские Эмираты, Перу, Саудовская Аравия, Тунис, Турция
Aritaxel Германия
Cantaxel Индия
Clitaxel Аргентина, Венесуэла
Dalys Аргентина
Ebetaxel Австрия, Иран, Марокко, Саудовская Аравия, Тунис, Турция
Genexol Египет, Индия, Иран
Onxol Соединённые Штаты Америки
Paclinova Аргентина
Paclitaxin Бразилия, Люксембург, Малайзия, Словения
Parexel Бразилия, Венесуэла, Колумбия, Эквадор
Paxene Голландия, Греция, Дания, Ирландия, Испания, Польша
Poltaxel Польша
Ribotax Германия
Taxol Австрия, Бразилия, Венесуэла, Голландия, Греция, Дания, Египет, Иран, Италия, Колумбия, Малайзия, Марокко, новая Зеландия, Объединенные Арабские Эмираты, Перу, Польша, Португалия, Словения, Турция, Швейцария, Швеция, Япония
Taxomedac Германия
Vitax Бразилия, Перу, Турция
Совместимость   Инъекция   Совместимость : Paclitaxel              
Эта таблица показывает совместимость или несовместимость препаратов, по возможности тип несовместимости (преципитат, смена цвета, разложение эмульсии и др.). Показанные здесь совместимости в основном физические, по возможности указана и химическая стабильность каждой молекулы. Анализ этих смесей произведён для исследования возможности ввести препараты пациенту в Y-соединении систем. Эти данные нельзя использовать, чтобы приготовить лекарства на будущее в мешках или шприцах. Эта информация доступна в разделе "Стабильность смесей".
Молекула Растворитель Ссылки
совместимый
Инъекция Paclitaxel 1.2 mg/ml
Инъекция Aciclovir sodium 7 mg/ml
Глюкоза 5% 248
совместимый
Инъекция Paclitaxel 1.2 mg/ml
Инъекция Amikacin sulfate 5 mg/ml
Глюкоза 5% 248
совместимый
Инъекция Paclitaxel 1.2 mg/ml
Инъекция Aminophylline 2.5 mg/ml
Глюкоза 5% 248
Немедленная мутность несовместимый
Инъекция Paclitaxel 1.2 mg/ml
Инъекция Amphotericin B 0.6 mg/ml
Глюкоза 5% 248
Потеря мутности несовместимый
Инъекция Paclitaxel 0.6 mg/ml
Инъекция Amphotericin B cholesteryl sulfate complex 0.83 mg/ml
Глюкоза 5% 921
совместимый
Инъекция Paclitaxel 1.2 mg/ml
Инъекция Ampicillin sodium - sulbactam sodium 20/10 mg/ml
Глюкоза 5% 248
совместимый
Инъекция Paclitaxel 0.6 mg/ml
Инъекция Anidulafungin 0.5 mg/ml
Глюкоза 5% 1982
совместимый
Инъекция Paclitaxel 1.2 mg/ml
Инъекция Bleomycin sulfate 1 mg/ml
Глюкоза 5% 248
совместимый
Инъекция Paclitaxel 1.2 mg/ml
Инъекция Butorphanol tartrate 0.04 mg/ml
Глюкоза 5% 248
совместимый
Инъекция Paclitaxel 1.2 mg/ml
Инъекция Calcium chloride 20 mg/ml
Глюкоза 5% 248
совместимый
Инъекция Paclitaxel 1.2 mg/ml
Инъекция Carboplatin 5 mg/ml
Глюкоза 5% 85
совместимый
Инъекция Paclitaxel 0,3 & 1,2 mg/ml
Инъекция Carboplatin 2 mg/ml
Натрия хлорид 0,9% 872
совместимый
Инъекция Paclitaxel 0,3 & 1,2 mg/ml
Инъекция Carboplatin 2 mg/ml
Глюкоза 5% 872
совместимый
Инъекция Paclitaxel 1.2 mg/ml
Инъекция Ceforanide 20 mg/ml
Глюкоза 5% 248
совместимый
Инъекция Paclitaxel 1.2 mg/ml
Инъекция Ceftazidime 40 mg/ml
Глюкоза 5% 248
совместимый
Инъекция Paclitaxel 1.2 mg/ml
Инъекция Ceftriaxone disodium 20 mg/ml
Глюкоза 5% 248
Потеря мутности несовместимый
Инъекция Paclitaxel 1.2 mg/ml
Инъекция Chlorpromazine hydrochloride 2 mg/ml
Глюкоза 5% 248
совместимый
Инъекция Paclitaxel
Глюкоза 5% 1956
совместимый
Инъекция Paclitaxel 0,3 & 1,2 mg/ml
Инъекция Cisplatin 0,2 mg/ml
Натрия хлорид 0,9% 872
совместимый
Инъекция Paclitaxel 1.2 mg/ml
Парентеральное питание (с липидами) 1415
совместимый
Инъекция Paclitaxel 1.2 mg/ml
Парентеральное питание (бинарная смесь) 301
совместимый
Инъекция Paclitaxel 1.2 mg/ml
Инъекция Cimetidine hydrochloride 12 mg/ml
Глюкоза 5% 85
совместимый
Инъекция Paclitaxel 1.2 mg/ml
Инъекция Cisplatin 1 mg/ml
Глюкоза 5% 85
Химическая нестабильность несовместимый
Инъекция Paclitaxel
Инъекция Cisplatin
3578
совместимый
Инъекция Paclitaxel 0.6 mg/ml
Инъекция Cladribine 0.5 mg/ml
NaCl 0,9% + антибактериальный 1496
совместимый
Инъекция Paclitaxel 0.6 mg/ml
Инъекция Cladribine 0.015 mg/ml
Натрия хлорид 0,9% 1496
совместимый
Инъекция Paclitaxel 1.2 mg/ml
Инъекция Cyclophosphamide 10 mg/ml
Глюкоза 5% 85
совместимый
Инъекция Paclitaxel 1.2 mg/ml
Инъекция Cytarabine 50 mg/ml
Глюкоза 5% 85
совместимый
Инъекция Paclitaxel 1.2 mg/ml
Инъекция Dacarbazine 4 mg/ml
Глюкоза 5% 248
совместимый
Инъекция Paclitaxel 1.2 mg/ml
Инъекция Dexamethasone sodium phosphate 1 mg/ml
Глюкоза 5% 85
совместимый
Инъекция Paclitaxel 1.2 mg/ml
Инъекция Diphenhydramine hydrochloride 2 mg/ml
Глюкоза 5% 85
совместимый
Инъекция Paclitaxel 0,6 mg/ml
Инъекция Doripenem 5 mg/ml
Натрия хлорид 0,9% 2262
совместимый
Инъекция Paclitaxel 0,6 mg/ml
Инъекция Doripenem 5 mg/ml
Глюкоза 5% 2262
совместимый
Инъекция Paclitaxel 0,3 & 1,2 mg/ml
Инъекция Doxorubicin hydrochloride 0,2 mg/ml
Глюкоза 5% 1286
совместимый
Инъекция Paclitaxel 1.2 mg/ml
Инъекция Doxorubicin hydrochloride 2 mg/ml
Глюкоза 5% 85
совместимый
Инъекция Paclitaxel 0,3 & 1,2 mg/ml
Инъекция Doxorubicin hydrochloride 0,2 mg/ml
Натрия хлорид 0,9% 1286
Потеря мутности несовместимый
Инъекция Paclitaxel 0.6 mg/ml
Инъекция Doxorubicin hydrochloride liposome peg 0.4 mg/ml
Глюкоза 5% 251
совместимый
Инъекция Paclitaxel
Натрия хлорид 0,9% 1956
совместимый
Инъекция Paclitaxel 1.2 mg/ml
Инъекция Droperidol 0.4 mg/ml
Глюкоза 5% 248
совместимый
Инъекция Paclitaxel 1.2 mg/ml
Инъекция Etoposide 0.4 mg/ml
Глюкоза 5% 85
совместимый
Инъекция Paclitaxel 1.2 mg/ml
Инъекция Etoposide phosphate 5 mg/ml
Глюкоза 5% 1410
совместимый
Инъекция Paclitaxel 1.2 mg/ml
Инъекция Famotidine 2 mg/ml
Глюкоза 5% 248
совместимый
Инъекция Paclitaxel 1.2 mg/ml
Инъекция Floxuridine 3 mg/ml
Глюкоза 5% 248
совместимый
Инъекция Paclitaxel 0,3 & 1,2 mg/ml
Инъекция Fluconazole 2 mg/ml
Глюкоза 5% 151
совместимый
Инъекция Paclitaxel 1.2 mg/ml
Инъекция Fluconazole 2 mg/ml
Глюкоза 5% 248
совместимый
Инъекция Paclitaxel 1.2 mg/ml
Инъекция Fluorouracil 16 mg/ml
Глюкоза 5% 85
совместимый
Инъекция Paclitaxel 1.2 mg/ml
Инъекция Furosemide 3 mg/ml
Глюкоза 5% 248
совместимый
Инъекция Paclitaxel 1.2 mg/ml
Инъекция Ganciclovir sodium 20 mg/ml
Глюкоза 5% 248
совместимый
Инъекция Paclitaxel 1.2 mg/ml
Инъекция Gemcitabine hydrochloride 10 mg/ml
Натрия хлорид 0,9% 1423
совместимый
Инъекция Paclitaxel 1.2 mg/ml
Инъекция Gentamicin sulfate 5 mg/ml
Глюкоза 5% 248
совместимый
Инъекция Paclitaxel 1.2 mg/ml
Инъекция Granisetron hydrochloride 0.05 mg/ml
Глюкоза 5% 182
совместимый
Инъекция Paclitaxel 0.29 mg/ml
Инъекция Granisetron hydrochloride 1 mg/ml
Натрия хлорид 0,9% 57
совместимый
Инъекция Paclitaxel 1.2 mg/ml
Инъекция Haloperidol lactate 0.2 mg/ml
Глюкоза 5% 85
совместимый
Инъекция Paclitaxel 1.2 mg/ml
Инъекция Heparin sodium 100 UI/ml
Глюкоза 5% 248
совместимый
Инъекция Paclitaxel 1.2 mg/ml
Инъекция Hydrocortisone sodium succinate 1 mg/ml
Глюкоза 5% 248
совместимый
Инъекция Paclitaxel 1.2 mg/ml
Инъекция Hydromorphone hydrochloride 0.5 mg/ml
Глюкоза 5% 248
Потеря мутности несовместимый
Инъекция Paclitaxel 1.2 mg/ml
Инъекция Hydroxyzine dihydrochloride 4 mg/ml
Глюкоза 5% 248
совместимый
Инъекция Paclitaxel 1.2 mg/ml
Инъекция Ifosfamide 25 mg/ml
Глюкоза 5% 248
совместимый
Инъекция Paclitaxel 0.6 mg/ml
Инъекция Lansoprazole 0.55 mg/ml
Натрия хлорид 0,9% 1625
совместимый
Инъекция Paclitaxel 0.6 mg/ml
Инъекция Linezolid 2 mg/ml
Нет 1925
совместимый
Инъекция Paclitaxel 1.2 mg/ml
Инъекция Lorazepam 0.1 mg/ml
Глюкоза 5% 85
совместимый
Инъекция Paclitaxel 1.2 mg/ml
Инъекция Magnesium sulfate 100 mg/ml
Глюкоза 5% 248
совместимый
Инъекция Paclitaxel 1.2 mg/ml
Инъекция Mannitol 150 mg/ml
Глюкоза 5% 248
совместимый
Инъекция Paclitaxel 1.2 mg/ml
Инъекция Mesna 10 mg/ml
Глюкоза 5% 248
совместимый
Инъекция Paclitaxel 1.2 mg/ml
Инъекция Methotrexate sodium 15 mg/ml
Глюкоза 5% 85
Потеря мутности несовместимый
Инъекция Paclitaxel 1.2 mg/ml
Инъекция Methylprednisolone sodium succinate 5 mg/ml
Глюкоза 5% 248
совместимый
Инъекция Paclitaxel 1.2 mg/ml
Инъекция Metoclopramide hydrochloride 5 mg/ml
Глюкоза 5% 85
Потеря мутности несовместимый
Инъекция Paclitaxel 1.2 mg/ml
Инъекция Mitoxantrone dihydrochloride 0.5 mg/ml
Глюкоза 5% 248
совместимый
Инъекция Paclitaxel 1.2 mg/ml
Инъекция Morphine sulfate 1 mg/ml
Глюкоза 5% 248
совместимый
Инъекция Paclitaxel 1.2 mg/ml
Инъекция Nalbuphine hydrochloride 10 mg/ml
Глюкоза 5% 248
совместимый
Инъекция Paclitaxel 0.3 & 1.2 mg/ml
Инъекция Ondansetron hydrochloride 0.03 & 0.3 mg/ml
Глюкоза 5% 47
совместимый
Инъекция Paclitaxel 1.2 mg/ml
Инъекция Ondansetron hydrochloride 0.5 mg/ml
Глюкоза 5% 248
совместимый
Инъекция Paclitaxel 0,6 mg/ml
Инъекция Oxaliplatin 0,5 mg/ml
Глюкоза 5% 1662
совместимый
Инъекция Paclitaxel 1,2 mg/ml
Инъекция Palonosetron hydrochloride 50 µg/ml
Глюкоза 5% 1940
совместимый
Инъекция Paclitaxel 0.6 mg/ml
Инъекция Pemetrexed disodium 20 mg/ml
Натрия хлорид 0,9% 1953
совместимый
Инъекция Paclitaxel 1.2 mg/ml
Инъекция Pentostatin 0.4 mg/ml
Глюкоза 5% 248
совместимый
Инъекция Paclitaxel 1.2 mg/ml
Инъекция Pethidine hydrochloride 4 mg/ml
Глюкоза 5% 248
совместимый
Инъекция Paclitaxel 1.2 mg/ml
Инъекция Potassium chloride 100 mEq/l
Глюкоза 5% 248
совместимый
Инъекция Paclitaxel 1.2 mg/ml
Инъекция Prochlorperazine edysilate 0.5 mg/ml
Глюкоза 5% 85
совместимый
Инъекция Paclitaxel 1.2 mg/ml
Инъекция Propofol 10 mg/ml
Нет 300
совместимый
Инъекция Paclitaxel 0.3 & 1.2 mg/ml
Инъекция Ranitidine hydrochloride 0.5 & 2 mg/ml
Глюкоза 5% 47
совместимый
Инъекция Paclitaxel 1.2 mg/ml
Инъекция Ranitidine hydrochloride 2 mg/ml
Глюкоза 5% 85
совместимый
Инъекция Paclitaxel 1.2 mg/ml
Инъекция Sodium bicarbonate 84 mg/ml
Глюкоза 5% 248
совместимый
Инъекция Paclitaxel 0.6 mg/ml
Инъекция Thiotepa 1 mg/ml
Глюкоза 5% 249
совместимый
Инъекция Paclitaxel 0.54 mg/ml
Инъекция Topotecan 0.056 mg/ml
Натрия хлорид 0,9% 1026
совместимый
Инъекция Paclitaxel 0.54 mg/ml
Инъекция Topotecan 0.056 mg/ml
Глюкоза 5% 1026
совместимый
Инъекция Paclitaxel 1.2 mg/ml
Инъекция Vancomycin hydrochloride 10 mg/ml
Глюкоза 5% 85
совместимый
Инъекция Paclitaxel 1.2 mg/ml
Инъекция Vinblastine sulfate 0.12 mg/ml
Глюкоза 5% 248
совместимый
Инъекция Paclitaxel 1.2 mg/ml
Инъекция Vincristine sulfate 0.05 mg/ml
Глюкоза 5% 248
совместимый
Инъекция Paclitaxel 1.2 mg/ml
Инъекция Zidovudine 4 mg/ml
Глюкоза 5% 248

  Mentions Légales