Last update :
27/04/2026
Anticancer drug   Paclitaxel  
injection
Stability in solutions Stability of mixtures Factors which affect stability Compatibility Route of administration References pdf
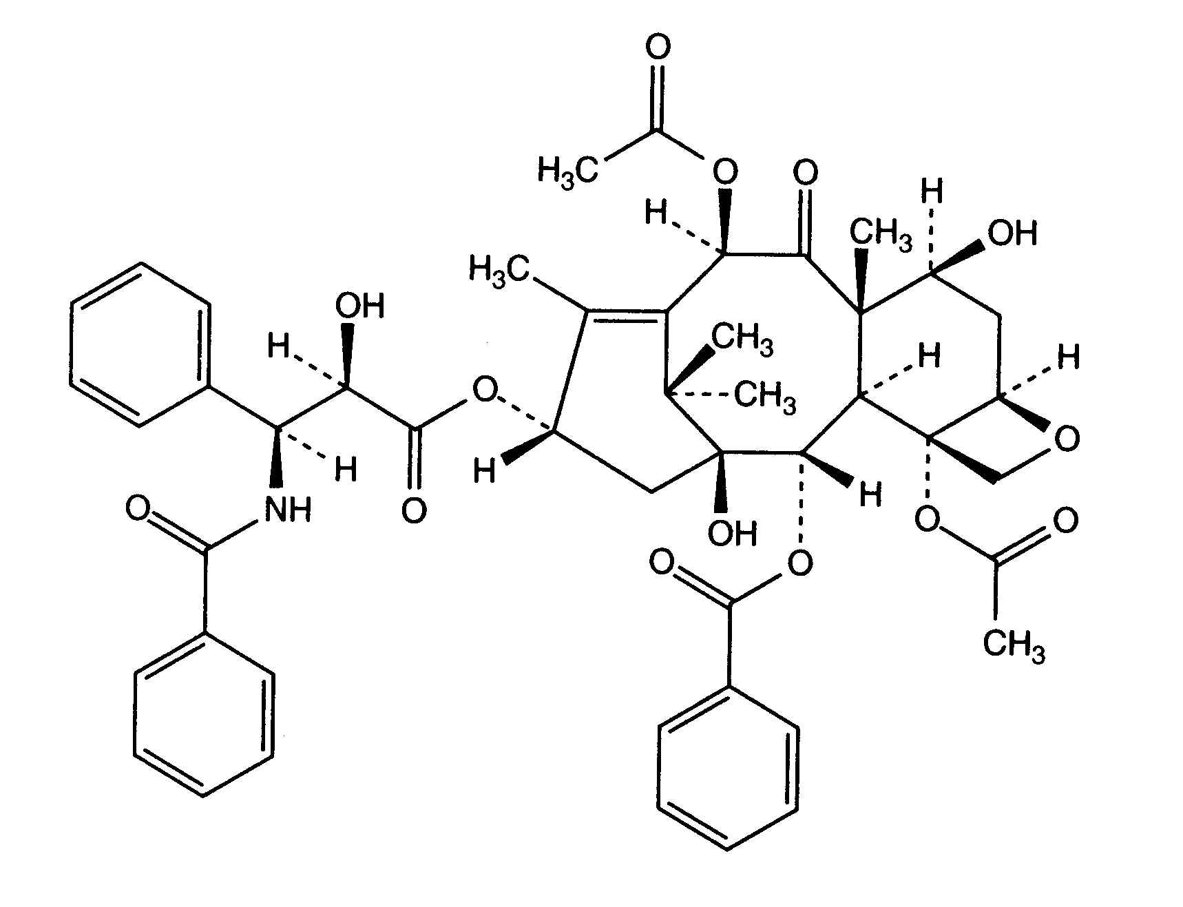
   Chemical structure  

Tradename   Tradename     

Trade names are indicative and excipients composition can be different depending on the country and manufacturers

Aclipak Malaysia
Acoexcel Mexico
Acupaxil Morocco
Anzatax Egypt, Iran, Malaysia, Morocco, New Zealand, Peru, Saudi Arabia, Tunisia, Turkey, United Arab Emirates
Aritaxel Germany
Cantaxel India
Clitaxel Argentina, Venezuela
Dalys Argentina
Ebetaxel Austria, Iran, Morocco, Saudi Arabia, Tunisia, Turkey
Genexol Egypt, India, Iran
Onxol United States of America
Paclinova Argentina
Paclitaxin Brazil, Luxembourg, Malaysia, Slovenia
Parexel Brazil, Colombia, Ecuador, Venezuela
Paxene Denmark, Greece, Ireland, Netherlands, Poland, Spain
Poltaxel Poland
Ribotax Germany
Taxol Austria, Brazil, Colombia, Denmark, Egypt, Greece, Iran, Italy, Japan, Malaysia, Morocco, Netherlands, New Zealand, Peru, Poland, Portugal, Slovenia, Sweden, Switzerland, Turkey, United Arab Emirates, Venezuela
Taxomedac Germany
Vitax Brazil, Peru, Turkey
Compatibility   injection   Compatibility : Paclitaxel              
This screen indicates the compatibilities or incompatibilities with, in this case, the type of incompatibility (precipitation, color change, modification of an emulsion, etc.). The compatibilities shown here are mostly physical only, with the chemical stability of each molecule rarely being assessed. The evaluation of these mixtures was studied to consider the possibility of Y-site administration to the patient. These data cannot be used for making mixtures in advance in bags or syringes. This type of information is available in the screen "Stability in mixture ».
Compound Solvent References
Compatible
injection Paclitaxel 1.2 mg/ml
injection Aciclovir sodium 7 mg/ml
Glucose 5% 248
Compatible
injection Paclitaxel 1.2 mg/ml
injection Amikacin sulfate 5 mg/ml
Glucose 5% 248
Compatible
injection Paclitaxel 1.2 mg/ml
injection Aminophylline 2.5 mg/ml
Glucose 5% 248
Immediate turbidity Incompatible
injection Paclitaxel 1.2 mg/ml
injection Amphotericin B 0.6 mg/ml
Glucose 5% 248
Loss of turbidity Incompatible
injection Paclitaxel 0.6 mg/ml
injection Amphotericin B cholesteryl sulfate complex 0.83 mg/ml
Glucose 5% 921
Compatible
injection Paclitaxel 1.2 mg/ml
injection Ampicillin sodium - sulbactam sodium 20/10 mg/ml
Glucose 5% 248
Compatible
injection Paclitaxel 0.6 mg/ml
injection Anidulafungin 0.5 mg/ml
Glucose 5% 1982
Compatible
injection Paclitaxel 1.2 mg/ml
injection Bleomycin sulfate 1 mg/ml
Glucose 5% 248
Compatible
injection Paclitaxel 1.2 mg/ml
injection Butorphanol tartrate 0.04 mg/ml
Glucose 5% 248
Compatible
injection Paclitaxel 1.2 mg/ml
injection Calcium chloride 20 mg/ml
Glucose 5% 248
Compatible
injection Paclitaxel 1.2 mg/ml
injection Carboplatin 5 mg/ml
Glucose 5% 85
Compatible
injection Paclitaxel 0,3 & 1,2 mg/ml
injection Carboplatin 2 mg/ml
Sodium chloride 0,9% 872
Compatible
injection Paclitaxel 0,3 & 1,2 mg/ml
injection Carboplatin 2 mg/ml
Glucose 5% 872
Compatible
injection Paclitaxel 1.2 mg/ml
injection Ceforanide 20 mg/ml
Glucose 5% 248
Compatible
injection Paclitaxel 1.2 mg/ml
injection Ceftazidime 40 mg/ml
Glucose 5% 248
Compatible
injection Paclitaxel 1.2 mg/ml
injection Ceftriaxone disodium 20 mg/ml
Glucose 5% 248
Loss of turbidity Incompatible
injection Paclitaxel 1.2 mg/ml
injection Chlorpromazine hydrochloride 2 mg/ml
Glucose 5% 248
Compatible
injection Paclitaxel
Glucose 5% 1956
Compatible
injection Paclitaxel 0,3 & 1,2 mg/ml
injection Cisplatin 0,2 mg/ml
Sodium chloride 0,9% 872
Compatible
injection Paclitaxel 1.2 mg/ml
Parenteral nutrition (with lipids) 1415
Compatible
injection Paclitaxel 1.2 mg/ml
Parenteral nutrition (binary mixture) 301
Compatible
injection Paclitaxel 1.2 mg/ml
injection Cimetidine hydrochloride 12 mg/ml
Glucose 5% 85
Compatible
injection Paclitaxel 1.2 mg/ml
injection Cisplatin 1 mg/ml
Glucose 5% 85
Chemical instability Incompatible
injection Paclitaxel
injection Cisplatin
3578
Compatible
injection Paclitaxel 0.6 mg/ml
injection Cladribine 0.5 mg/ml
NaCl 0,9% + antibacterial 1496
Compatible
injection Paclitaxel 0.6 mg/ml
injection Cladribine 0.015 mg/ml
Sodium chloride 0,9% 1496
Compatible
injection Paclitaxel 1.2 mg/ml
injection Cyclophosphamide 10 mg/ml
Glucose 5% 85
Compatible
injection Paclitaxel 1.2 mg/ml
injection Cytarabine 50 mg/ml
Glucose 5% 85
Compatible
injection Paclitaxel 1.2 mg/ml
injection Dacarbazine 4 mg/ml
Glucose 5% 248
Compatible
injection Paclitaxel 1.2 mg/ml
injection Dexamethasone sodium phosphate 1 mg/ml
Glucose 5% 85
Compatible
injection Paclitaxel 1.2 mg/ml
injection Diphenhydramine hydrochloride 2 mg/ml
Glucose 5% 85
Compatible
injection Paclitaxel 0,6 mg/ml
injection Doripenem 5 mg/ml
Sodium chloride 0,9% 2262
Compatible
injection Paclitaxel 0,6 mg/ml
injection Doripenem 5 mg/ml
Glucose 5% 2262
Compatible
injection Paclitaxel 0,3 & 1,2 mg/ml
injection Doxorubicin hydrochloride 0,2 mg/ml
Glucose 5% 1286
Compatible
injection Paclitaxel 1.2 mg/ml
injection Doxorubicin hydrochloride 2 mg/ml
Glucose 5% 85
Compatible
injection Paclitaxel 0,3 & 1,2 mg/ml
injection Doxorubicin hydrochloride 0,2 mg/ml
Sodium chloride 0,9% 1286
Loss of turbidity Incompatible
injection Paclitaxel 0.6 mg/ml
injection Doxorubicin hydrochloride liposome peg 0.4 mg/ml
Glucose 5% 251
Compatible
injection Paclitaxel
Sodium chloride 0,9% 1956
Compatible
injection Paclitaxel 1.2 mg/ml
injection Droperidol 0.4 mg/ml
Glucose 5% 248
Compatible
injection Paclitaxel 1.2 mg/ml
injection Etoposide 0.4 mg/ml
Glucose 5% 85
Compatible
injection Paclitaxel 1.2 mg/ml
injection Etoposide phosphate 5 mg/ml
Glucose 5% 1410
Compatible
injection Paclitaxel 1.2 mg/ml
injection Famotidine 2 mg/ml
Glucose 5% 248
Compatible
injection Paclitaxel 1.2 mg/ml
injection Floxuridine 3 mg/ml
Glucose 5% 248
Compatible
injection Paclitaxel 0,3 & 1,2 mg/ml
injection Fluconazole 2 mg/ml
Glucose 5% 151
Compatible
injection Paclitaxel 1.2 mg/ml
injection Fluconazole 2 mg/ml
Glucose 5% 248
Compatible
injection Paclitaxel 1.2 mg/ml
injection Fluorouracil 16 mg/ml
Glucose 5% 85
Compatible
injection Paclitaxel 1.2 mg/ml
injection Furosemide 3 mg/ml
Glucose 5% 248
Compatible
injection Paclitaxel 1.2 mg/ml
injection Ganciclovir sodium 20 mg/ml
Glucose 5% 248
Compatible
injection Paclitaxel 1.2 mg/ml
injection Gemcitabine hydrochloride 10 mg/ml
Sodium chloride 0,9% 1423
Compatible
injection Paclitaxel 1.2 mg/ml
injection Gentamicin sulfate 5 mg/ml
Glucose 5% 248
Compatible
injection Paclitaxel 1.2 mg/ml
injection Granisetron hydrochloride 0.05 mg/ml
Glucose 5% 182
Compatible
injection Paclitaxel 0.29 mg/ml
injection Granisetron hydrochloride 1 mg/ml
Sodium chloride 0,9% 57
Compatible
injection Paclitaxel 1.2 mg/ml
injection Haloperidol lactate 0.2 mg/ml
Glucose 5% 85
Compatible
injection Paclitaxel 1.2 mg/ml
injection Heparin sodium 100 UI/ml
Glucose 5% 248
Compatible
injection Paclitaxel 1.2 mg/ml
injection Hydrocortisone sodium succinate 1 mg/ml
Glucose 5% 248
Compatible
injection Paclitaxel 1.2 mg/ml
injection Hydromorphone hydrochloride 0.5 mg/ml
Glucose 5% 248
Loss of turbidity Incompatible
injection Paclitaxel 1.2 mg/ml
injection Hydroxyzine dihydrochloride 4 mg/ml
Glucose 5% 248
Compatible
injection Paclitaxel 1.2 mg/ml
injection Ifosfamide 25 mg/ml
Glucose 5% 248
Compatible
injection Paclitaxel 0.6 mg/ml
injection Lansoprazole 0.55 mg/ml
Sodium chloride 0,9% 1625
Compatible
injection Paclitaxel 0.6 mg/ml
injection Linezolid 2 mg/ml
None 1925
Compatible
injection Paclitaxel 1.2 mg/ml
injection Lorazepam 0.1 mg/ml
Glucose 5% 85
Compatible
injection Paclitaxel 1.2 mg/ml
injection Magnesium sulfate 100 mg/ml
Glucose 5% 248
Compatible
injection Paclitaxel 1.2 mg/ml
injection Mannitol 150 mg/ml
Glucose 5% 248
Compatible
injection Paclitaxel 1.2 mg/ml
injection Mesna 10 mg/ml
Glucose 5% 248
Compatible
injection Paclitaxel 1.2 mg/ml
injection Methotrexate sodium 15 mg/ml
Glucose 5% 85
Loss of turbidity Incompatible
injection Paclitaxel 1.2 mg/ml
injection Methylprednisolone sodium succinate 5 mg/ml
Glucose 5% 248
Compatible
injection Paclitaxel 1.2 mg/ml
injection Metoclopramide hydrochloride 5 mg/ml
Glucose 5% 85
Loss of turbidity Incompatible
injection Paclitaxel 1.2 mg/ml
injection Mitoxantrone dihydrochloride 0.5 mg/ml
Glucose 5% 248
Compatible
injection Paclitaxel 1.2 mg/ml
injection Morphine sulfate 1 mg/ml
Glucose 5% 248
Compatible
injection Paclitaxel 1.2 mg/ml
injection Nalbuphine hydrochloride 10 mg/ml
Glucose 5% 248
Compatible
injection Paclitaxel 0.3 & 1.2 mg/ml
injection Ondansetron hydrochloride 0.03 & 0.3 mg/ml
Glucose 5% 47
Compatible
injection Paclitaxel 1.2 mg/ml
injection Ondansetron hydrochloride 0.5 mg/ml
Glucose 5% 248
Compatible
injection Paclitaxel 0,6 mg/ml
injection Oxaliplatin 0,5 mg/ml
Glucose 5% 1662
Compatible
injection Paclitaxel 1,2 mg/ml
injection Palonosetron hydrochloride 50 µg/ml
Glucose 5% 1940
Compatible
injection Paclitaxel 0.6 mg/ml
injection Pemetrexed disodium 20 mg/ml
Sodium chloride 0,9% 1953
Compatible
injection Paclitaxel 1.2 mg/ml
injection Pentostatin 0.4 mg/ml
Glucose 5% 248
Compatible
injection Paclitaxel 1.2 mg/ml
injection Pethidine hydrochloride 4 mg/ml
Glucose 5% 248
Compatible
injection Paclitaxel 1.2 mg/ml
injection Potassium chloride 100 mEq/l
Glucose 5% 248
Compatible
injection Paclitaxel 1.2 mg/ml
injection Prochlorperazine edysilate 0.5 mg/ml
Glucose 5% 85
Compatible
injection Paclitaxel 1.2 mg/ml
injection Propofol 10 mg/ml
None 300
Compatible
injection Paclitaxel 0.3 & 1.2 mg/ml
injection Ranitidine hydrochloride 0.5 & 2 mg/ml
Glucose 5% 47
Compatible
injection Paclitaxel 1.2 mg/ml
injection Ranitidine hydrochloride 2 mg/ml
Glucose 5% 85
Compatible
injection Paclitaxel 1.2 mg/ml
injection Sodium bicarbonate 84 mg/ml
Glucose 5% 248
Compatible
injection Paclitaxel 0.6 mg/ml
injection Thiotepa 1 mg/ml
Glucose 5% 249
Compatible
injection Paclitaxel 0.54 mg/ml
injection Topotecan 0.056 mg/ml
Sodium chloride 0,9% 1026
Compatible
injection Paclitaxel 0.54 mg/ml
injection Topotecan 0.056 mg/ml
Glucose 5% 1026
Compatible
injection Paclitaxel 1.2 mg/ml
injection Vancomycin hydrochloride 10 mg/ml
Glucose 5% 85
Compatible
injection Paclitaxel 1.2 mg/ml
injection Vinblastine sulfate 0.12 mg/ml
Glucose 5% 248
Compatible
injection Paclitaxel 1.2 mg/ml
injection Vincristine sulfate 0.05 mg/ml
Glucose 5% 248
Compatible
injection Paclitaxel 1.2 mg/ml
injection Zidovudine 4 mg/ml
Glucose 5% 248

  Mentions Légales