Última actualización :
27/04/2026
fármacos contra el cáncer   Paclitaxel  
Inyectables
Estabilidad en solucion Estabilidad en mezcla Factores que influyen sobre la estabilidad Compatibilidades método de inyección Bibliografía pdf
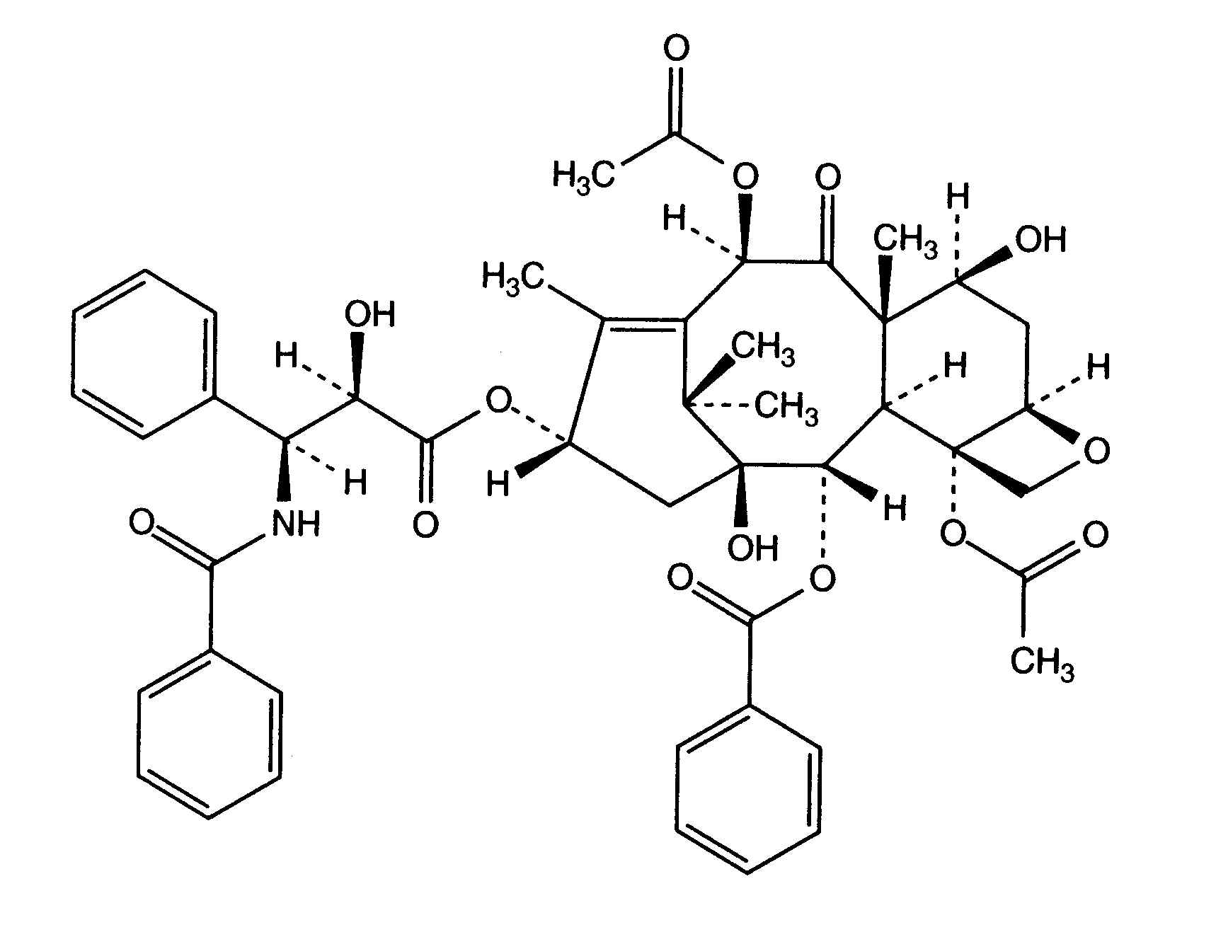
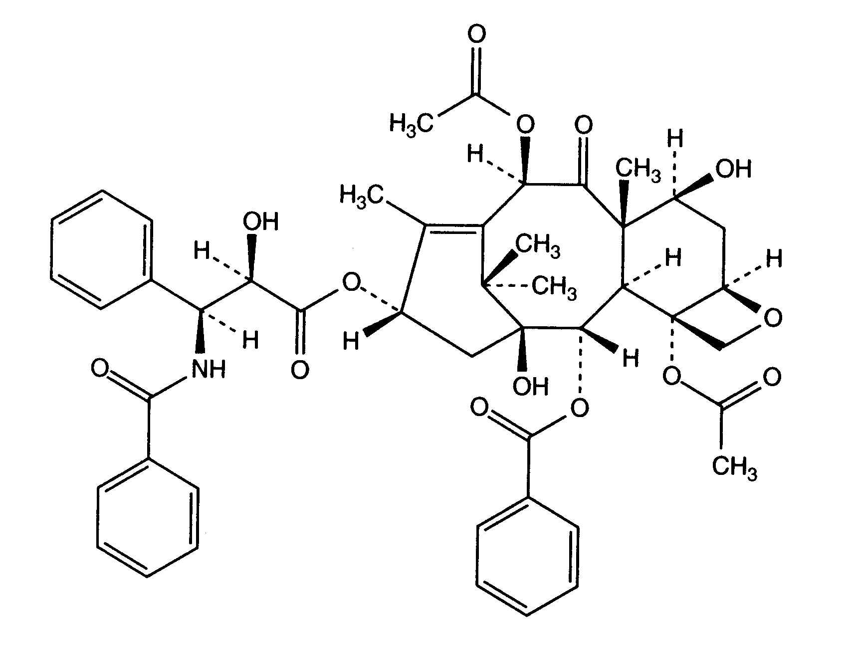
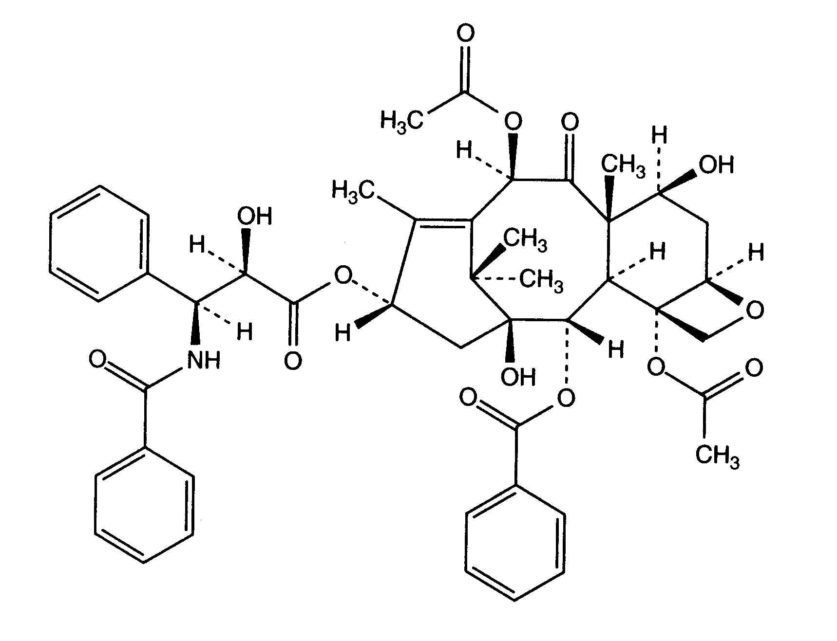
   Estructura química  

Nombre comercial   Nombre comercial     

Los nombres comerciales son orientativos y los excipientes de la formulación pueden ser distintos dependiendo del país y del laboratorio fabricante.

Aclipak Malasia
Acoexcel México
Acupaxil Marruecos
Anzatax Arabia Saudita, Egipto, Emiratos Árabes Unidos, Irán, Malasia, Marruecos, Marruecos, Nueva Zelanda, Túnez, Turquía
Aritaxel Alemania
Cantaxel India
Clitaxel Argentina, Venezuela
Dalys Argentina
Ebetaxel Arabia Saudita, Austria, Irán, Marruecos, Túnez, Turquía
Genexol Egipto, India, Irán
Onxol Estados Unidos de América
Paclinova Argentina
Paclitaxin Brasil, Eslovenia, Luxemburgo, Malasia
Parexel Brasil, Colombia, Ecuador, Venezuela
Paxene Dinamarca, España, Grecia, Irlanda, Países Bajos, Polonia
Poltaxel Polonia
Ribotax Alemania
Taxol Austria, Brasil, Colombia, Dinamarca, Egipto, Emiratos Árabes Unidos, Eslovenia, Grecia, Irán, Italia, Japón, Malasia, Marruecos, Marruecos, Nueva Zelanda, Países Bajos, Polonia, Portugal, Suecia, Suiza, Turquía, Venezuela
Taxomedac Alemania
Vitax Brasil, Marruecos, Turquía
Compatibilidades   Inyectables   Compatibilidades : Paclitaxel              
Esta pantalla muestra las compatibilidades o incompatibilidades, así como el tipo de incompatibilidad (precipitación, cambio de color, modificación de una emulsión, etc). Las compatibilidades que se recogen aquí son fundamentalmente físicas, mostrando raramente la estabilidad química de la molécula. La evaluación de estas mezclas se estudió con el fin de de comprobar la posibilidad de administración en Y al paciente. Estos datos no pueden utilizarse en el caso de la preparación de mezclas dentro de bolsas o jeringas. Este tipo de información está disponible en la pantalla “Estabilidad en mezcla”.
Molécula Solvente Bibliografía
Compatible
Inyectables Paclitaxel 1.2 mg/ml
Inyectables Aciclovir sodium 7 mg/ml
Glucosa 5% 248
Compatible
Inyectables Paclitaxel 1.2 mg/ml
Inyectables Amikacin sulfate 5 mg/ml
Glucosa 5% 248
Compatible
Inyectables Paclitaxel 1.2 mg/ml
Inyectables Aminophylline 2.5 mg/ml
Glucosa 5% 248
Turbidez inmediata Incompatible
Inyectables Paclitaxel 1.2 mg/ml
Inyectables Amphotericin B 0.6 mg/ml
Glucosa 5% 248
Pérdida de turbidez Incompatible
Inyectables Paclitaxel 0.6 mg/ml
Inyectables Amphotericin B cholesteryl sulfate complex 0.83 mg/ml
Glucosa 5% 921
Compatible
Inyectables Paclitaxel 1.2 mg/ml
Inyectables Ampicillin sodium - sulbactam sodium 20/10 mg/ml
Glucosa 5% 248
Compatible
Inyectables Paclitaxel 0.6 mg/ml
Inyectables Anidulafungin 0.5 mg/ml
Glucosa 5% 1982
Compatible
Inyectables Paclitaxel 1.2 mg/ml
Inyectables Bleomycin sulfate 1 mg/ml
Glucosa 5% 248
Compatible
Inyectables Paclitaxel 1.2 mg/ml
Inyectables Butorphanol tartrate 0.04 mg/ml
Glucosa 5% 248
Compatible
Inyectables Paclitaxel 1.2 mg/ml
Inyectables Calcium chloride 20 mg/ml
Glucosa 5% 248
Compatible
Inyectables Paclitaxel 1.2 mg/ml
Inyectables Carboplatin 5 mg/ml
Glucosa 5% 85
Compatible
Inyectables Paclitaxel 0,3 & 1,2 mg/ml
Inyectables Carboplatin 2 mg/ml
Cloruro de sodio 0,9% 872
Compatible
Inyectables Paclitaxel 0,3 & 1,2 mg/ml
Inyectables Carboplatin 2 mg/ml
Glucosa 5% 872
Compatible
Inyectables Paclitaxel 1.2 mg/ml
Inyectables Ceforanide 20 mg/ml
Glucosa 5% 248
Compatible
Inyectables Paclitaxel 1.2 mg/ml
Inyectables Ceftazidime 40 mg/ml
Glucosa 5% 248
Compatible
Inyectables Paclitaxel 1.2 mg/ml
Inyectables Ceftriaxone disodium 20 mg/ml
Glucosa 5% 248
Pérdida de turbidez Incompatible
Inyectables Paclitaxel 1.2 mg/ml
Inyectables Chlorpromazine hydrochloride 2 mg/ml
Glucosa 5% 248
Compatible
Inyectables Paclitaxel
Glucosa 5% 1956
Compatible
Inyectables Paclitaxel 0,3 & 1,2 mg/ml
Inyectables Cisplatin 0,2 mg/ml
Cloruro de sodio 0,9% 872
Compatible
Inyectables Paclitaxel 1.2 mg/ml
Nutrición parenteral (con lípidos) 1415
Compatible
Inyectables Paclitaxel 1.2 mg/ml
Nutrición parenteral (libre de lípidos) 301
Compatible
Inyectables Paclitaxel 1.2 mg/ml
Inyectables Cimetidine hydrochloride 12 mg/ml
Glucosa 5% 85
Compatible
Inyectables Paclitaxel 1.2 mg/ml
Inyectables Cisplatin 1 mg/ml
Glucosa 5% 85
Inestabilidad química Incompatible
Inyectables Paclitaxel
Inyectables Cisplatin
3578
Compatible
Inyectables Paclitaxel 0.6 mg/ml
Inyectables Cladribine 0.5 mg/ml
NaCl 0,9% + bacteriostático 1496
Compatible
Inyectables Paclitaxel 0.6 mg/ml
Inyectables Cladribine 0.015 mg/ml
Cloruro de sodio 0,9% 1496
Compatible
Inyectables Paclitaxel 1.2 mg/ml
Inyectables Cyclophosphamide 10 mg/ml
Glucosa 5% 85
Compatible
Inyectables Paclitaxel 1.2 mg/ml
Inyectables Cytarabine 50 mg/ml
Glucosa 5% 85
Compatible
Inyectables Paclitaxel 1.2 mg/ml
Inyectables Dacarbazine 4 mg/ml
Glucosa 5% 248
Compatible
Inyectables Paclitaxel 1.2 mg/ml
Inyectables Dexamethasone sodium phosphate 1 mg/ml
Glucosa 5% 85
Compatible
Inyectables Paclitaxel 1.2 mg/ml
Inyectables Diphenhydramine hydrochloride 2 mg/ml
Glucosa 5% 85
Compatible
Inyectables Paclitaxel 0,6 mg/ml
Inyectables Doripenem 5 mg/ml
Cloruro de sodio 0,9% 2262
Compatible
Inyectables Paclitaxel 0,6 mg/ml
Inyectables Doripenem 5 mg/ml
Glucosa 5% 2262
Compatible
Inyectables Paclitaxel 0,3 & 1,2 mg/ml
Inyectables Doxorubicin hydrochloride 0,2 mg/ml
Glucosa 5% 1286
Compatible
Inyectables Paclitaxel 1.2 mg/ml
Inyectables Doxorubicin hydrochloride 2 mg/ml
Glucosa 5% 85
Compatible
Inyectables Paclitaxel 0,3 & 1,2 mg/ml
Inyectables Doxorubicin hydrochloride 0,2 mg/ml
Cloruro de sodio 0,9% 1286
Pérdida de turbidez Incompatible
Inyectables Paclitaxel 0.6 mg/ml
Inyectables Doxorubicin hydrochloride liposome peg 0.4 mg/ml
Glucosa 5% 251
Compatible
Inyectables Paclitaxel
Cloruro de sodio 0,9% 1956
Compatible
Inyectables Paclitaxel 1.2 mg/ml
Inyectables Droperidol 0.4 mg/ml
Glucosa 5% 248
Compatible
Inyectables Paclitaxel 1.2 mg/ml
Inyectables Etoposide 0.4 mg/ml
Glucosa 5% 85
Compatible
Inyectables Paclitaxel 1.2 mg/ml
Inyectables Etoposide phosphate 5 mg/ml
Glucosa 5% 1410
Compatible
Inyectables Paclitaxel 1.2 mg/ml
Inyectables Famotidine 2 mg/ml
Glucosa 5% 248
Compatible
Inyectables Paclitaxel 1.2 mg/ml
Inyectables Floxuridine 3 mg/ml
Glucosa 5% 248
Compatible
Inyectables Paclitaxel 0,3 & 1,2 mg/ml
Inyectables Fluconazole 2 mg/ml
Glucosa 5% 151
Compatible
Inyectables Paclitaxel 1.2 mg/ml
Inyectables Fluconazole 2 mg/ml
Glucosa 5% 248
Compatible
Inyectables Paclitaxel 1.2 mg/ml
Inyectables Fluorouracil 16 mg/ml
Glucosa 5% 85
Compatible
Inyectables Paclitaxel 1.2 mg/ml
Inyectables Furosemide 3 mg/ml
Glucosa 5% 248
Compatible
Inyectables Paclitaxel 1.2 mg/ml
Inyectables Ganciclovir sodium 20 mg/ml
Glucosa 5% 248
Compatible
Inyectables Paclitaxel 1.2 mg/ml
Inyectables Gemcitabine hydrochloride 10 mg/ml
Cloruro de sodio 0,9% 1423
Compatible
Inyectables Paclitaxel 1.2 mg/ml
Inyectables Gentamicin sulfate 5 mg/ml
Glucosa 5% 248
Compatible
Inyectables Paclitaxel 1.2 mg/ml
Inyectables Granisetron hydrochloride 0.05 mg/ml
Glucosa 5% 182
Compatible
Inyectables Paclitaxel 0.29 mg/ml
Inyectables Granisetron hydrochloride 1 mg/ml
Cloruro de sodio 0,9% 57
Compatible
Inyectables Paclitaxel 1.2 mg/ml
Inyectables Haloperidol lactate 0.2 mg/ml
Glucosa 5% 85
Compatible
Inyectables Paclitaxel 1.2 mg/ml
Inyectables Heparin sodium 100 UI/ml
Glucosa 5% 248
Compatible
Inyectables Paclitaxel 1.2 mg/ml
Inyectables Hydrocortisone sodium succinate 1 mg/ml
Glucosa 5% 248
Compatible
Inyectables Paclitaxel 1.2 mg/ml
Inyectables Hydromorphone hydrochloride 0.5 mg/ml
Glucosa 5% 248
Pérdida de turbidez Incompatible
Inyectables Paclitaxel 1.2 mg/ml
Inyectables Hydroxyzine dihydrochloride 4 mg/ml
Glucosa 5% 248
Compatible
Inyectables Paclitaxel 1.2 mg/ml
Inyectables Ifosfamide 25 mg/ml
Glucosa 5% 248
Compatible
Inyectables Paclitaxel 0.6 mg/ml
Inyectables Lansoprazole 0.55 mg/ml
Cloruro de sodio 0,9% 1625
Compatible
Inyectables Paclitaxel 0.6 mg/ml
Inyectables Linezolid 2 mg/ml
Ninguno 1925
Compatible
Inyectables Paclitaxel 1.2 mg/ml
Inyectables Lorazepam 0.1 mg/ml
Glucosa 5% 85
Compatible
Inyectables Paclitaxel 1.2 mg/ml
Inyectables Magnesium sulfate 100 mg/ml
Glucosa 5% 248
Compatible
Inyectables Paclitaxel 1.2 mg/ml
Inyectables Mannitol 150 mg/ml
Glucosa 5% 248
Compatible
Inyectables Paclitaxel 1.2 mg/ml
Inyectables Mesna 10 mg/ml
Glucosa 5% 248
Compatible
Inyectables Paclitaxel 1.2 mg/ml
Inyectables Methotrexate sodium 15 mg/ml
Glucosa 5% 85
Pérdida de turbidez Incompatible
Inyectables Paclitaxel 1.2 mg/ml
Inyectables Methylprednisolone sodium succinate 5 mg/ml
Glucosa 5% 248
Compatible
Inyectables Paclitaxel 1.2 mg/ml
Inyectables Metoclopramide hydrochloride 5 mg/ml
Glucosa 5% 85
Pérdida de turbidez Incompatible
Inyectables Paclitaxel 1.2 mg/ml
Inyectables Mitoxantrone dihydrochloride 0.5 mg/ml
Glucosa 5% 248
Compatible
Inyectables Paclitaxel 1.2 mg/ml
Inyectables Morphine sulfate 1 mg/ml
Glucosa 5% 248
Compatible
Inyectables Paclitaxel 1.2 mg/ml
Inyectables Nalbuphine hydrochloride 10 mg/ml
Glucosa 5% 248
Compatible
Inyectables Paclitaxel 0.3 & 1.2 mg/ml
Inyectables Ondansetron hydrochloride 0.03 & 0.3 mg/ml
Glucosa 5% 47
Compatible
Inyectables Paclitaxel 1.2 mg/ml
Inyectables Ondansetron hydrochloride 0.5 mg/ml
Glucosa 5% 248
Compatible
Inyectables Paclitaxel 0,6 mg/ml
Inyectables Oxaliplatin 0,5 mg/ml
Glucosa 5% 1662
Compatible
Inyectables Paclitaxel 1,2 mg/ml
Inyectables Palonosetron hydrochloride 50 µg/ml
Glucosa 5% 1940
Compatible
Inyectables Paclitaxel 0.6 mg/ml
Inyectables Pemetrexed disodium 20 mg/ml
Cloruro de sodio 0,9% 1953
Compatible
Inyectables Paclitaxel 1.2 mg/ml
Inyectables Pentostatin 0.4 mg/ml
Glucosa 5% 248
Compatible
Inyectables Paclitaxel 1.2 mg/ml
Inyectables Pethidine hydrochloride 4 mg/ml
Glucosa 5% 248
Compatible
Inyectables Paclitaxel 1.2 mg/ml
Inyectables Potassium chloride 100 mEq/l
Glucosa 5% 248
Compatible
Inyectables Paclitaxel 1.2 mg/ml
Inyectables Prochlorperazine edysilate 0.5 mg/ml
Glucosa 5% 85
Compatible
Inyectables Paclitaxel 1.2 mg/ml
Inyectables Propofol 10 mg/ml
Ninguno 300
Compatible
Inyectables Paclitaxel 0.3 & 1.2 mg/ml
Inyectables Ranitidine hydrochloride 0.5 & 2 mg/ml
Glucosa 5% 47
Compatible
Inyectables Paclitaxel 1.2 mg/ml
Inyectables Ranitidine hydrochloride 2 mg/ml
Glucosa 5% 85
Compatible
Inyectables Paclitaxel 1.2 mg/ml
Inyectables Sodium bicarbonate 84 mg/ml
Glucosa 5% 248
Compatible
Inyectables Paclitaxel 0.6 mg/ml
Inyectables Thiotepa 1 mg/ml
Glucosa 5% 249
Compatible
Inyectables Paclitaxel 0.54 mg/ml
Inyectables Topotecan 0.056 mg/ml
Cloruro de sodio 0,9% 1026
Compatible
Inyectables Paclitaxel 0.54 mg/ml
Inyectables Topotecan 0.056 mg/ml
Glucosa 5% 1026
Compatible
Inyectables Paclitaxel 1.2 mg/ml
Inyectables Vancomycin hydrochloride 10 mg/ml
Glucosa 5% 85
Compatible
Inyectables Paclitaxel 1.2 mg/ml
Inyectables Vinblastine sulfate 0.12 mg/ml
Glucosa 5% 248
Compatible
Inyectables Paclitaxel 1.2 mg/ml
Inyectables Vincristine sulfate 0.05 mg/ml
Glucosa 5% 248
Compatible
Inyectables Paclitaxel 1.2 mg/ml
Inyectables Zidovudine 4 mg/ml
Glucosa 5% 248

  Mentions Légales